_ 教材(2)リスクとリスクアセスメントの基本的な考え方
_ 1.リスクとは
_ 1.1 リスクの語源とさまざまな使われ方
フランス・ボルドーマネージメントスクールのシャミーヴァ教授は,「リスクという用語がフランスや日本社会で爆発的に増大した現代だが,リスクのもつ意味が正確に定義されないまま曖昧に使われている.リスクとは,ラテン語で,危険を認知し,そこをなんとか対処するという意味の“risico”,“risicus”と論争,紛争という意味の“rixicare”の二つのことばが原義で,リスクの本来のニュアンスである」と指摘している.1)また社会学者の吉田 純 京大教授によれば,「リスクの原義はルネサンス時代のイタリア語で「危険を冒しても,あえて新しいことをする」という意味だった.だが,近代社会でのリスクの意味合いは“自由な選択に伴う意図せざる結果”と定義できる」という.2)
確かに近代社会になって人々は封建的権威の束縛から解放され自由が拡大した.だが人々にチャンス拡大の反面,科学技術の発展もあいまってリスクも拡大した.わが国社会で最近氾濫するリスクの使われ方の実例を表1-1に示す. 3)このような社会用語としてのリスクの持つ背景やさまざまな問題については,本書の第3部「社会システムと産業技術リスク」において広範に論じることとしたい.
表1 社会用語としてのリスクのさまざまな使われ方
さて,欧米においては1970年代から,技術システムの安全を管理し,そのリスクマネージメントを実効化するために,科学的用語と称して主に工学的観点からリスクが定義され,リスクアセスメント手法が発展してきた.以下本章では,工学的な観点からのリスクの定義から始め,そのリスクマネージメントへの応用への基本的な考え方へと展開する.
_ 1.2 リスクの定義3)
リスクという言葉の持つさまざまな観点を分析してその重要な要素を抽出し,工学者の使用出来る用語としてのリスクに初めて言及したものは,世界中のさまざまな国,人々の生活や健康に関わる国連機関であるユネスコによる定義である.ユネスコの定義では,リスクを危険源(Hazard),脆弱性(Vulnerability),潜在的損失(Potential loss)の3つの要素の生成物(Product)として捉え,
Risk = Hazard×Vulnerability×Potential Loss (1-1)
と定義した.ここではリスクの意味を3つの要因に整理している.
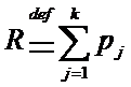
さらにS. Kaplan による次の定義は,科学的用語としてリスクの定量化を意識した出発点になる.
Risk= 〈 Si, Pi, Ci 〉, (i=1,2,・・・, N) (1-2)
ただしSi:i番目の事故シナリオ,Pi: i番目の事故シナリオの発生確率(頻度),Ci: i番目の事故シナリオが発生した場合の災害規模である.
災害による損失金額や死傷者などの異なったさまざまな被害の期待値は,(1-2)式をもとにした次式によりリスク値として表現できる.
(1-3)
そして災害による被害を例えば即死者数のように1種類に限定した場合には,次式になる.
(1-4)
但し,(1-4)式右辺第3式でのkはシナリオ数,Cは一定値である.(1-4)式でCは比例定数と考えれば,リスクは,次式のように特定の被害状態にいたる予想頻度(Predicted frequency)の平均値となる.
(1-5)
PRAでは(1-5)式で与える平均値をリスクの点推定値と呼ぶが,リスクの評価では平均値以外にその分布の形や分散などの統計量も考慮することも必要になる.
_ 1.3 PRAにおけるリスクの数学的定式化4)
1975年に正式に公表された米国原子力委員会による「原子炉安全研究」は,このプロジェクトのリーダの名前をとってラスムッセンレポートないし報告書のレポート番号からWASH-1400とも言われる.これが確率論的リスク評価法(PRA)を初めて体系化したものである.5)
WASH-1400ではリスクを推定する方法として,科学的用語としてのリスクの定義に準拠している.すなわち,①事象の「期待頻度」F(事象回数/単位時間),②損害の推定大きさDを用いてリスクRを次式で定義している.
(1-6)
そして事象発生によるリスクには複数個のタイプがあること,時間的経過や累積効果があることなどを考慮してさまざまなリスク表現の数学的定式化を行っている.
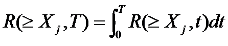
まずリスク密度Ri(xj,t)として「事象Eiが時間tに発生し,タイプjの事故影響の損害のレベルがxjからxj+dxjになる頻度」としている.このリスク密度を用いると,「事象Eiが時間tに発生し,タイプjの事故影響の損害がXj以上になる」リスクRi(≧Xj,t)が,次式により定義できる.
(1-7)
また「運転中のあるシステムが,ある時間tにすべての生起しうる事故事象によって生じる複合リスク」R(≧Xj,t)を,次式によって推定することができる.
(1-8)
また(1-8)式を時間Tまで時間積分すると,次式により累積複合リスクR(≧Xj,T)が推定できる.
(1-9)
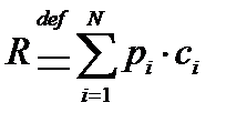
一方,システムの運転によって受ける事故影響のタイプが複数あるときに,タイプkの事故影響に換算して事象Eiによる総合リスクRi(k)(t)をあらわすには次式を用いる.
(1-10)
ただし,aj(k)は総合化係数である.
以上のように,PRAにおけるリスクの定義では,事故のタイプ,時間的蓄積効果,異種の事故影響の総合化などを数学的定式化により明確にしている.
WASH-1400は1970年代に米国で建設が相次いだ原子力発電所がもたらしうる原子力事故のリスクを,他の自然災害や人為災害によるリスクと比較することを目的としていた.そこでは,原子力事故の影響として,①早発性死亡,②早発性疾病,③潜在的な癌死亡,④甲状腺瘤発生,⑤財産の損失,一方,自然災害や人為災害では,①死亡者数,②喪失した労働者の人数・月,③喪失した金額 を評価対象としていた.一方WASH-1400で取り扱われた非原子力災害のリスク評価では,放射線障害のような長期的影響を考慮されなくて比較的短期の影響を対象としていた.しかしその後,環境公害問題の高まりとともに,PRAによる非原子力災害の評価でも「大気の汚染度」,「水質の悪化率」,さらには「地球温暖化ガス放出量」といった環境影響も対象になっている.
前の頁 目次 次の頁?
_ コメント
- 2 , http://independent.academia.edu/tramadolhcl getting high tramadol with hcl , http://www.vbs.tv/profiles/tramadol_online_october_2010 order cheap tramadol generic online , http://forums.bleachexile.com/member.php?u=101984 120 buy tab cheap tramadol , http://scouts1.org/tramadol10t2/weblog tramadol canine hydrochloride dosage , http://scouts1.org/tramadol6t2/weblog tramadol hydrocodone , http://forums.bleachexile.com/member.php?u=101987 buy tramadol without online prescription , http://www.earthday.org/users/52434 buy tramadol online cod , http://www.earthday.org/users/52440 purchase tramadol in wv prescription without , http://scouts1.org/tramadol0t2/weblog tramadol 180 ct cheap , http://scouts1.org/tramadol9t2/weblog what is generic tramadol ultram , -- order cheap generic online tramadol?
- 2 , http://www.veoh.com/forum/showthread.php/2066-Download-Machete-Film-In-Dvd-Quality Machete Movie Streaming , http://www.veoh.com/forum/showthread.php/2059-Download-The-A-Team-Movie-In-Hd-Quality Download The A-Team Movie 2010 , http://www.veoh.com/forum/showthread.php/2080-Download-Killers-Movie-In-Hd-Quality Download Killers Movie In Hd , http://www.veoh.com/forum/showthread.php/2068-Full-Red-Film-Downloads Red Movie With Good Quality , http://www.veoh.com/forum/showthread.php/2058-Download-The-Last-Airbender-Movie-In-Hd-Quality The Last Airbender Film Dvd Quality , http://www.veoh.com/forum/showthread.php/2079-Download-Green-Zone-Film-In-Dvd-Quality Free Download Green Zone Movie , http://www.veoh.com/forum/showthread.php/2095-Download-Movie-Up-in-the-Air-Dvd Download Up in the Air 3d , http://www.veoh.com/forum/showthread.php/2084-Download-Dinner-for-Schmucks-Film-In-Hd-Quality Watch Dinner for Schmucks Film In Hd , http://www.veoh.com/forum/showthread.php/2076-Frozen-Movie-Download-Full-Movie Download Of Frozen The Movie , http://www.veoh.com/forum/showthread.php/2053-Full-The-Expendables-Movie-Downloads Buy The Expendables Moivie High Quality , -- Download The Last Airbender Film Score?
- 3 , http://www.veoh.com/forum/showthread.php/2086-Download-Devil-Film-Dvd Cheapest Devil Film , http://www.veoh.com/forum/showthread.php/2091-Watch-Online-Ocean-s-Eleven-The-Movie-In-High-Quality Watch Ocean's Eleven Movie Stream , http://www.veoh.com/forum/showthread.php/2094-Download-The-Social-Network-Full-Movie The Social Network Full Lenght Film In Pda Format , http://www.veoh.com/forum/showthread.php/2057-Download-How-to-Train-Your-Dragon-Film-In-Hd-Formats Downloading How to Train Your Dragon Movie , http://www.veoh.com/forum/showthread.php/2090-How-To-Download-The-Losers-The-Full-Movie Full The Losers Movie In High Quality , http://www.veoh.com/forum/showthread.php/2078-Download-I-Spit-on-Your-Grave-Film-In-Hd-Quality I Spit on Your Grave Online Soundtrack Download , http://www.veoh.com/forum/showthread.php/2096-Download-Repo-Men-Film-Hq Watch Repo Men Movie Hd , http://www.veoh.com/forum/showthread.php/2054-Full-Robin-Hood-Movie-Downloads Buy Robin Hood The Movie , http://www.veoh.com/forum/showthread.php/2063-Download-Knight-and-Day-Full-Movie Knight and Day Download Full Film , http://www.veoh.com/forum/showthread.php/2089-Download-2012-Movie-In-Divx-Formats 2012 Film Length , -- Robin Hood Movie Facts?
- 2 , http://www.veoh.com/forum/showthread.php/2055-Download-Salt-Movie-In-Divx-Formats Download Salt Divx , http://www.veoh.com/forum/showthread.php/2097-Download-Prince-of-Persia-The-Sands-of-Time-Film-In-Dvd-Quality Prince of Persia: The Sands of Time Film Trailers , http://www.veoh.com/forum/showthread.php/2092-The-Book-of-Eli-Film-Hd-Download The Book of Eli Hood Film For Sale , http://www.veoh.com/forum/showthread.php/2069-Full-Despicable-Me-Movie-Downloads Despicable Me Full Lenght Movie In Hd Format , http://www.veoh.com/forum/showthread.php/2077-Download-Clash-of-the-Titans-Film-Dvd Hd Quality Clash of the Titans Watch , http://www.veoh.com/forum/showthread.php/2088-Download-Sex-and-the-City-2-Film-In-Hd-Formats Order Sex and the City 2 Movie , http://www.veoh.com/forum/showthread.php/2070-Full-The-Sorcerer-s-Apprentice-Film-Downloads The Sorcerer's Apprentice Movie Download Full Movie , http://www.veoh.com/forum/showthread.php/2051-Wall-Street-Money-Never-Sleeps-Download-Full-Film Wall Street: Money Never Sleeps Movie Theater , http://www.veoh.com/forum/showthread.php/2056-The-Resident-Evil-Afterlife-Download-Full-Film Download Film Resident Evil: Afterlife , http://www.veoh.com/forum/showthread.php/2093-Download-Vampires-Suck-Movie-In-Divx-Formats Vampires Suck The Film In Hd , -- The Sorcerer's Apprentice Story?
- 2 , http://www.veoh.com/forum/showthread.php/2074-Download-Jonah-Hex-Movie-In-Hd Watch The Complete Jonah Hex Movie , http://www.veoh.com/forum/showthread.php/2072-Download-Online-Avatar-The-Movie-In-High-Quality Avatar (2010) Watch Online , http://www.veoh.com/forum/showthread.php/2050-Download-Inception-Film-In-Dvd-Quality Inception Movie Quotes , http://www.veoh.com/forum/showthread.php/2060-The-Predators-Download-Full-Movie The Full Film Of Predators , http://www.veoh.com/forum/showthread.php/2049-Download-Online-Toy-Story-3-The-Movie-In-High-Quality Toy Story 3 Movie Quotes , http://www.veoh.com/forum/showthread.php/2061-Download-Film-Grown-Ups-Dvdrip How To Watch Grown Ups The Movie , http://www.veoh.com/forum/showthread.php/2071-Download-Piranha-Movie-Ipod Watch Full Piranha Movie In Hd , http://www.veoh.com/forum/showthread.php/2052-The-Iron-Man-2-Download-Full-Film Watch Iron Man 2 2009 Full Movie , http://www.veoh.com/forum/showthread.php/2062-Download-Eclipse-Film-In-Hd-Formats Length Of Eclipse Film , http://www.veoh.com/forum/showthread.php/2083-Download-Shrek-Forever-After-Film-In-Hd-Quality Shrek Forever After Film Good Quality , -- Piranha Film Money?
- 4 , http://www.veoh.com/forum/showthread.php/2082-Full-Alice-in-Wonderland-Film-Downloads Alice in Wonderland Film Watch Films , http://www.veoh.com/forum/showthread.php/2073-Download-The-Switch-Movie-In-Divx-Formats The Switch Review , http://www.veoh.com/forum/showthread.php/2087-Download-Splice-Film-In-Dvd-Quality The Whole Film Of Splice , http://www.veoh.com/forum/showthread.php/2098-Download-Legend-of-the-Guardians-The-Owls-of-Ga-Hoole-Movie-In-Hd-Quality I Want To Watch The Full Movie Of Legend of the Guardians: The Owls of Ga'Hoole Online , http://www.veoh.com/forum/showthread.php/2081-Download-Movie-Leap-Year-Pda Leap Year 2010 Full Film , http://www.veoh.com/forum/showthread.php/2067-Centurion-Movie-Hd-Download Centurion Website , http://www.veoh.com/forum/showthread.php/2075-Download-Movie-The-Town-Dvd Watch The Town Full Film In Hd , http://www.veoh.com/forum/showthread.php/2065-Download-The-Karate-Kid-Movie-In-Ipod-Quality Download The Karate Kid Full , http://www.veoh.com/forum/showthread.php/2085-Download-Step-Up-3D-Movie-In-Hd Step Up 3D Film Actors , http://www.veoh.com/forum/showthread.php/2064-Get-Him-to-the-Greek-Film-Download-Full-Film Watch Online Free Get Him to the Greek , -- Full Alice in Wonderland Movie To Watch?
- 2 , http://www.veoh.com/forum/showthread.php/2066-Download-Machete-Film-In-Dvd-Quality Buy Machete Film , http://www.veoh.com/forum/showthread.php/2059-Download-The-A-Team-Movie-In-Hd-Quality Watch A Movie The A-Team , http://www.veoh.com/forum/showthread.php/2080-Download-Killers-Movie-In-Hd-Quality Killers Movie In Hd , http://www.veoh.com/forum/showthread.php/2068-Full-Red-Film-Downloads Where To Buy The Red Movie , http://www.veoh.com/forum/showthread.php/2058-Download-The-Last-Airbender-Movie-In-Hd-Quality The Whole The Last Airbender Movie , http://www.veoh.com/forum/showthread.php/2079-Download-Green-Zone-Film-In-Dvd-Quality Download Green Zone Full Lenght , http://www.veoh.com/forum/showthread.php/2095-Download-Movie-Up-in-the-Air-Dvd Movie Net Up in the Air , http://www.veoh.com/forum/showthread.php/2084-Download-Dinner-for-Schmucks-Film-In-Hd-Quality Buy Dinner for Schmucks Movie , http://www.veoh.com/forum/showthread.php/2076-Frozen-Movie-Download-Full-Movie Frozen Full Lenght Film In Divx Format , http://www.veoh.com/forum/showthread.php/2053-Full-The-Expendables-Movie-Downloads The Expendables The Movie To Watch , -- Buy Killers Film On Dvd?
- 3 , http://www.veoh.com/forum/showthread.php/2086-Download-Devil-Film-Dvd Full Devil Film High Quality , http://www.veoh.com/forum/showthread.php/2091-Watch-Online-Ocean-s-Eleven-The-Movie-In-High-Quality Ocean's Eleven Film On The Internet , http://www.veoh.com/forum/showthread.php/2094-Download-The-Social-Network-Full-Movie The Social Network Movie Images , http://www.veoh.com/forum/showthread.php/2057-Download-How-to-Train-Your-Dragon-Film-In-Hd-Formats How to Train Your Dragon Movie Theatre , http://www.veoh.com/forum/showthread.php/2090-How-To-Download-The-Losers-The-Full-Movie Watch New The Losers Online , http://www.veoh.com/forum/showthread.php/2078-Download-I-Spit-on-Your-Grave-Film-In-Hd-Quality Full I Spit on Your Grave Movie Downloads , http://www.veoh.com/forum/showthread.php/2096-Download-Repo-Men-Film-Hq Watch Repo Men Full Film Good Quality , http://www.veoh.com/forum/showthread.php/2054-Full-Robin-Hood-Movie-Downloads Watch A Movie Robin Hood Online , http://www.veoh.com/forum/showthread.php/2063-Download-Knight-and-Day-Full-Movie Download Entire Knight and Day Movie , http://www.veoh.com/forum/showthread.php/2089-Download-2012-Movie-In-Divx-Formats Download 2012 Film In Dvd Quality , -- Knight and Day Movie Theatres?
- 3 , http://www.veoh.com/forum/showthread.php/2055-Download-Salt-Movie-In-Divx-Formats Salt Movie Download , http://www.veoh.com/forum/showthread.php/2097-Download-Prince-of-Persia-The-Sands-of-Time-Film-In-Dvd-Quality Movie Dvd Prince of Persia: The Sands of Time , http://www.veoh.com/forum/showthread.php/2092-The-Book-of-Eli-Film-Hd-Download The Book of Eli And Film , http://www.veoh.com/forum/showthread.php/2069-Full-Despicable-Me-Movie-Downloads Despicable Me Preview , http://www.veoh.com/forum/showthread.php/2077-Download-Clash-of-the-Titans-Film-Dvd Free Download Of Clash of the Titans , http://www.veoh.com/forum/showthread.php/2088-Download-Sex-and-the-City-2-Film-In-Hd-Formats Watch Full Film Of Sex and the City 2 , http://www.veoh.com/forum/showthread.php/2070-Full-The-Sorcerer-s-Apprentice-Film-Downloads New Film The Sorcerer's Apprentice , http://www.veoh.com/forum/showthread.php/2051-Wall-Street-Money-Never-Sleeps-Download-Full-Film Wall Street: Money Never Sleeps Movie Cinema , http://www.veoh.com/forum/showthread.php/2056-The-Resident-Evil-Afterlife-Download-Full-Film Where To Watch The Whole Resident Evil: Afterlife Film , http://www.veoh.com/forum/showthread.php/2093-Download-Vampires-Suck-Movie-In-Divx-Formats Vampires Suck Film Direct Download , -- Salt Movie Images?
- 2 , http://www.veoh.com/forum/showthread.php/2074-Download-Jonah-Hex-Movie-In-Hd Watch The Jonah Hex Online , http://www.veoh.com/forum/showthread.php/2072-Download-Online-Avatar-The-Movie-In-High-Quality Avatar Film Premier , http://www.veoh.com/forum/showthread.php/2050-Download-Inception-Film-In-Dvd-Quality Downloadable Inception Film , http://www.veoh.com/forum/showthread.php/2060-The-Predators-Download-Full-Movie Watch Predators The Film , http://www.veoh.com/forum/showthread.php/2049-Download-Online-Toy-Story-3-The-Movie-In-High-Quality Watch Full Version Of Toy Story 3 Movie , http://www.veoh.com/forum/showthread.php/2061-Download-Film-Grown-Ups-Dvdrip Where Can I Download Grown Ups , http://www.veoh.com/forum/showthread.php/2071-Download-Piranha-Movie-Ipod Piranha The Full Film In Hd , http://www.veoh.com/forum/showthread.php/2052-The-Iron-Man-2-Download-Full-Film Iron Man 2 Online , http://www.veoh.com/forum/showthread.php/2062-Download-Eclipse-Film-In-Hd-Formats Watch Eclipse Film In High Quality , http://www.veoh.com/forum/showthread.php/2083-Download-Shrek-Forever-After-Film-In-Hd-Quality Watch New Shrek Forever After Film , -- Download Predators New Film?
- 4 , http://www.veoh.com/forum/showthread.php/2082-Full-Alice-in-Wonderland-Film-Downloads Free Downloads Alice in Wonderland , http://www.veoh.com/forum/showthread.php/2073-Download-The-Switch-Movie-In-Divx-Formats The Switch Download Full Film , http://www.veoh.com/forum/showthread.php/2087-Download-Splice-Film-In-Dvd-Quality Download Movie Splice Divx , http://www.veoh.com/forum/showthread.php/2098-Download-Legend-of-the-Guardians-The-Owls-of-Ga-Hoole-Movie-In-Hd-Quality Watch Legend of the Guardians: The Owls of Ga'Hoole Film 2010 , http://www.veoh.com/forum/showthread.php/2081-Download-Movie-Leap-Year-Pda Download Leap Year Film Hq , http://www.veoh.com/forum/showthread.php/2067-Centurion-Movie-Hd-Download Watch Centurion Film Hd , http://www.veoh.com/forum/showthread.php/2075-Download-Movie-The-Town-Dvd The Town Film Direct Download , http://www.veoh.com/forum/showthread.php/2065-Download-The-Karate-Kid-Movie-In-Ipod-Quality Watch Full Version Of The Karate Kid Movie , http://www.veoh.com/forum/showthread.php/2085-Download-Step-Up-3D-Movie-In-Hd Free Downloads Step Up 3D Online , http://www.veoh.com/forum/showthread.php/2064-Get-Him-to-the-Greek-Film-Download-Full-Film Download Get Him to the Greek Full Movie Free , -- The Centurion 2009 Download?
- 4 , http://www.veoh.com/forum/showthread.php/2066-Download-Machete-Film-In-Dvd-Quality Machete Buy , http://www.veoh.com/forum/showthread.php/2059-Download-The-A-Team-Movie-In-Hd-Quality Watch The A-Team The Movie In Hd , http://www.veoh.com/forum/showthread.php/2080-Download-Killers-Movie-In-Hd-Quality Downloadable Films Killers Online , http://www.veoh.com/forum/showthread.php/2068-Full-Red-Film-Downloads Download Movie Red Hq , http://www.veoh.com/forum/showthread.php/2058-Download-The-Last-Airbender-Movie-In-Hd-Quality Watch Film Of The Last Airbender , http://www.veoh.com/forum/showthread.php/2079-Download-Green-Zone-Film-In-Dvd-Quality Full Green Zone Film Downloads , http://www.veoh.com/forum/showthread.php/2095-Download-Movie-Up-in-the-Air-Dvd Watch Whole Film Of Up in the Air , http://www.veoh.com/forum/showthread.php/2084-Download-Dinner-for-Schmucks-Film-In-Hd-Quality Watch Dinner for Schmucks Film , http://www.veoh.com/forum/showthread.php/2076-Frozen-Movie-Download-Full-Movie Frozen Watch Price , http://www.veoh.com/forum/showthread.php/2053-Full-The-Expendables-Movie-Downloads The Expendables Full Movie , -- Frozen Movie Download Good Quality?
- 3 , http://www.veoh.com/forum/showthread.php/2086-Download-Devil-Film-Dvd Watch Devil Movie Online , http://www.veoh.com/forum/showthread.php/2091-Watch-Online-Ocean-s-Eleven-The-Movie-In-High-Quality Ocean's Eleven Movie Stream , http://www.veoh.com/forum/showthread.php/2094-Download-The-Social-Network-Full-Movie The Full The Social Network Film Online , http://www.veoh.com/forum/showthread.php/2057-Download-How-to-Train-Your-Dragon-Film-In-Hd-Formats Download The Whole How to Train Your Dragon Movie , http://www.veoh.com/forum/showthread.php/2090-How-To-Download-The-Losers-The-Full-Movie The Losers Film Download Full Film , http://www.veoh.com/forum/showthread.php/2078-Download-I-Spit-on-Your-Grave-Film-In-Hd-Quality Where To Buy I Spit on Your Grave Movie , http://www.veoh.com/forum/showthread.php/2096-Download-Repo-Men-Film-Hq Hd Quality Repo Men Watch , http://www.veoh.com/forum/showthread.php/2054-Full-Robin-Hood-Movie-Downloads Robin Hood Video Download , http://www.veoh.com/forum/showthread.php/2063-Download-Knight-and-Day-Full-Movie Knight and Day Film Watch Films , http://www.veoh.com/forum/showthread.php/2089-Download-2012-Movie-In-Divx-Formats 2012 The Movie Watch It , -- Download Movie Robin Hood Pda?
- 4 , http://www.veoh.com/forum/showthread.php/2055-Download-Salt-Movie-In-Divx-Formats I Want To Watch The Salt Movie , http://www.veoh.com/forum/showthread.php/2097-Download-Prince-of-Persia-The-Sands-of-Time-Film-In-Dvd-Quality Prince of Persia: The Sands of Time Movie On Youtube , http://www.veoh.com/forum/showthread.php/2092-The-Book-of-Eli-Film-Hd-Download Watching The Book of Eli Online , http://www.veoh.com/forum/showthread.php/2069-Full-Despicable-Me-Movie-Downloads Despicable Me Dvd , http://www.veoh.com/forum/showthread.php/2077-Download-Clash-of-the-Titans-Film-Dvd Watch Clash of the Titans Hd , http://www.veoh.com/forum/showthread.php/2088-Download-Sex-and-the-City-2-Film-In-Hd-Formats Download The Movie The Sex and the City 2 , http://www.veoh.com/forum/showthread.php/2070-Full-The-Sorcerer-s-Apprentice-Film-Downloads The Sorcerer's Apprentice Film To Watch Now , http://www.veoh.com/forum/showthread.php/2051-Wall-Street-Money-Never-Sleeps-Download-Full-Film The Whole Wall Street: Money Never Sleeps Movie , http://www.veoh.com/forum/showthread.php/2056-The-Resident-Evil-Afterlife-Download-Full-Film Resident Evil: Afterlife Film Reviews , http://www.veoh.com/forum/showthread.php/2093-Download-Vampires-Suck-Movie-In-Divx-Formats Watch Vampires Suck Full Movie Good Quality , -- Movie Net The Sorcerer's Apprentice?
- 3 , http://www.veoh.com/forum/showthread.php/2074-Download-Jonah-Hex-Movie-In-Hd Jonah Hex The Film In Hd , http://www.veoh.com/forum/showthread.php/2072-Download-Online-Avatar-The-Movie-In-High-Quality Download Avatar Movie Ipod , http://www.veoh.com/forum/showthread.php/2050-Download-Inception-Film-In-Dvd-Quality The Inception Movie Online , http://www.veoh.com/forum/showthread.php/2060-The-Predators-Download-Full-Movie Predators Online Soundtrack Download , http://www.veoh.com/forum/showthread.php/2049-Download-Online-Toy-Story-3-The-Movie-In-High-Quality Toy Story 3 Film Opening , http://www.veoh.com/forum/showthread.php/2061-Download-Film-Grown-Ups-Dvdrip Download The Grown Ups Dvd , http://www.veoh.com/forum/showthread.php/2071-Download-Piranha-Movie-Ipod The Piranha Full Movie Online , http://www.veoh.com/forum/showthread.php/2052-The-Iron-Man-2-Download-Full-Film Iron Man 2 Film Watch Full Film , http://www.veoh.com/forum/showthread.php/2062-Download-Eclipse-Film-In-Hd-Formats Eclipse The Full Film To Watch , http://www.veoh.com/forum/showthread.php/2083-Download-Shrek-Forever-After-Film-In-Hd-Quality Watch A Movie Shrek Forever After Online , -- Whole Toy Story 3 Film?
- 4 , http://www.veoh.com/forum/showthread.php/2082-Full-Alice-in-Wonderland-Film-Downloads Alice in Wonderland Movie Release , http://www.veoh.com/forum/showthread.php/2073-Download-The-Switch-Movie-In-Divx-Formats The Switch Movie On Internet , http://www.veoh.com/forum/showthread.php/2087-Download-Splice-Film-In-Dvd-Quality Download For Splice The Movie , http://www.veoh.com/forum/showthread.php/2098-Download-Legend-of-the-Guardians-The-Owls-of-Ga-Hoole-Movie-In-Hd-Quality About The Legend of the Guardians: The Owls of Ga'Hoole Online , http://www.veoh.com/forum/showthread.php/2081-Download-Movie-Leap-Year-Pda Download Leap Year Full Movie Free , http://www.veoh.com/forum/showthread.php/2067-Centurion-Movie-Hd-Download Centurion Film To Watch Now , http://www.veoh.com/forum/showthread.php/2075-Download-Movie-The-Town-Dvd Watch The Whole The Town Movie , http://www.veoh.com/forum/showthread.php/2065-Download-The-Karate-Kid-Movie-In-Ipod-Quality The Karate Kid Trailer Mp4 Download , http://www.veoh.com/forum/showthread.php/2085-Download-Step-Up-3D-Movie-In-Hd To Watch The Step Up 3D Film , http://www.veoh.com/forum/showthread.php/2064-Get-Him-to-the-Greek-Film-Download-Full-Film Get Him to the Greek Film Cinema , -- Download The Alice in Wonderland?
- 4 , http://www.veoh.com/forum/showthread.php/2066-Download-Machete-Film-In-Dvd-Quality Machete Film Video , http://www.veoh.com/forum/showthread.php/2059-Download-The-A-Team-Movie-In-Hd-Quality Download The Entire The A-Team Film , http://www.veoh.com/forum/showthread.php/2080-Download-Killers-Movie-In-Hd-Quality Cheapest Killers Movie , http://www.veoh.com/forum/showthread.php/2068-Full-Red-Film-Downloads Red Film To Download , http://www.veoh.com/forum/showthread.php/2058-Download-The-Last-Airbender-Movie-In-Hd-Quality Download The Last Airbender Film In Hd Formats , http://www.veoh.com/forum/showthread.php/2079-Download-Green-Zone-Film-In-Dvd-Quality Green Zone Full Lenght Film In Dvd Format , http://www.veoh.com/forum/showthread.php/2095-Download-Movie-Up-in-the-Air-Dvd Watch The Entire Film Of Up in the Air , http://www.veoh.com/forum/showthread.php/2084-Download-Dinner-for-Schmucks-Film-In-Hd-Quality Download Dinner for Schmucks The Musical , http://www.veoh.com/forum/showthread.php/2076-Frozen-Movie-Download-Full-Movie Website To Watch Frozen Movie , http://www.veoh.com/forum/showthread.php/2053-Full-The-Expendables-Movie-Downloads Watch The Expendables Movie Hq , -- Download The Whole Movie Of Green Zone?
- 3 , http://www.veoh.com/forum/showthread.php/2086-Download-Devil-Film-Dvd Download Whole Devil Movie , http://www.veoh.com/forum/showthread.php/2091-Watch-Online-Ocean-s-Eleven-The-Movie-In-High-Quality Download Ocean's Eleven Full Movie Hd , http://www.veoh.com/forum/showthread.php/2094-Download-The-Social-Network-Full-Movie Full Movie Of The Social Network , http://www.veoh.com/forum/showthread.php/2057-Download-How-to-Train-Your-Dragon-Film-In-Hd-Formats How to Train Your Dragon Film Awards , http://www.veoh.com/forum/showthread.php/2090-How-To-Download-The-Losers-The-Full-Movie The Losers Film Premier , http://www.veoh.com/forum/showthread.php/2078-Download-I-Spit-on-Your-Grave-Film-In-Hd-Quality Watch I Spit on Your Grave The Movie In Hd , http://www.veoh.com/forum/showthread.php/2096-Download-Repo-Men-Film-Hq Where To Watch Repo Men The Movie , http://www.veoh.com/forum/showthread.php/2054-Full-Robin-Hood-Movie-Downloads Robin Hood Film Sales , http://www.veoh.com/forum/showthread.php/2063-Download-Knight-and-Day-Full-Movie Knight and Day Movie For Cheap , http://www.veoh.com/forum/showthread.php/2089-Download-2012-Movie-In-Divx-Formats Website To Watch 2012 Movie , -- The Social Network Movie Hd?
- 2 , http://www.veoh.com/forum/showthread.php/2055-Download-Salt-Movie-In-Divx-Formats Download The Whole Salt Movie , http://www.veoh.com/forum/showthread.php/2097-Download-Prince-of-Persia-The-Sands-of-Time-Film-In-Dvd-Quality Watch Prince of Persia: The Sands of Time Film In Hd , http://www.veoh.com/forum/showthread.php/2092-The-Book-of-Eli-Film-Hd-Download Where To Watch The Book of Eli Movie , http://www.veoh.com/forum/showthread.php/2069-Full-Despicable-Me-Movie-Downloads Download The Whole Despicable Me Film , http://www.veoh.com/forum/showthread.php/2077-Download-Clash-of-the-Titans-Film-Dvd Download The Clash of the Titans Film Online , http://www.veoh.com/forum/showthread.php/2088-Download-Sex-and-the-City-2-Film-In-Hd-Formats Cinematic Sex and the City 2 Download , http://www.veoh.com/forum/showthread.php/2070-Full-The-Sorcerer-s-Apprentice-Film-Downloads The Sorcerer's Apprentice Film Video , http://www.veoh.com/forum/showthread.php/2051-Wall-Street-Money-Never-Sleeps-Download-Full-Film Watch Complete Wall Street: Money Never Sleeps Film , http://www.veoh.com/forum/showthread.php/2056-The-Resident-Evil-Afterlife-Download-Full-Film Download Entire Resident Evil: Afterlife Movie , http://www.veoh.com/forum/showthread.php/2093-Download-Vampires-Suck-Movie-In-Divx-Formats Watch Vampires Suck Film Download , -- The Whole The Sorcerer's Apprentice Film Online?
- 3 , http://www.veoh.com/forum/showthread.php/2074-Download-Jonah-Hex-Movie-In-Hd Watch The New Jonah Hex Movie , http://www.veoh.com/forum/showthread.php/2072-Download-Online-Avatar-The-Movie-In-High-Quality Avatar Movie Theatre , http://www.veoh.com/forum/showthread.php/2050-Download-Inception-Film-In-Dvd-Quality Inception Film Photo , http://www.veoh.com/forum/showthread.php/2060-The-Predators-Download-Full-Movie Predators Movie Theater , http://www.veoh.com/forum/showthread.php/2049-Download-Online-Toy-Story-3-The-Movie-In-High-Quality Download Toy Story 3 Film Dvd , http://www.veoh.com/forum/showthread.php/2061-Download-Film-Grown-Ups-Dvdrip Watch New Grown Ups Online , http://www.veoh.com/forum/showthread.php/2071-Download-Piranha-Movie-Ipod Piranha Information , http://www.veoh.com/forum/showthread.php/2052-The-Iron-Man-2-Download-Full-Film Iron Man 2 Movie On The Internet , http://www.veoh.com/forum/showthread.php/2062-Download-Eclipse-Film-In-Hd-Formats Download Eclipse Full Movie Hd , http://www.veoh.com/forum/showthread.php/2083-Download-Shrek-Forever-After-Film-In-Hd-Quality Download Shrek Forever After Film Megaupload , -- Toy Story 3 Movie To Watch?
- 4 , http://www.veoh.com/forum/showthread.php/2082-Full-Alice-in-Wonderland-Film-Downloads Where To Buy Alice in Wonderland Movie , http://www.veoh.com/forum/showthread.php/2073-Download-The-Switch-Movie-In-Divx-Formats The Switch Imdb , http://www.veoh.com/forum/showthread.php/2087-Download-Splice-Film-In-Dvd-Quality Download Splice Dvd , http://www.veoh.com/forum/showthread.php/2098-Download-Legend-of-the-Guardians-The-Owls-of-Ga-Hoole-Movie-In-Hd-Quality Whole Film Of Legend of the Guardians: The Owls of Ga'Hoole , http://www.veoh.com/forum/showthread.php/2081-Download-Movie-Leap-Year-Pda Buy Leap Year Hq - Dvd - Divx - Ipod - Pda Formats , http://www.veoh.com/forum/showthread.php/2067-Centurion-Movie-Hd-Download Ipod Centurion Free , http://www.veoh.com/forum/showthread.php/2075-Download-Movie-The-Town-Dvd The Full The Town Movie , http://www.veoh.com/forum/showthread.php/2065-Download-The-Karate-Kid-Movie-In-Ipod-Quality Website To Watch The Karate Kid The Film , http://www.veoh.com/forum/showthread.php/2085-Download-Step-Up-3D-Movie-In-Hd Free Step Up 3D Divx , http://www.veoh.com/forum/showthread.php/2064-Get-Him-to-the-Greek-Film-Download-Full-Film Where To Watch Get Him to the Greek Full Movie , -- Where To Download Leap Year The Film?
- 3 , http://www.veoh.com/forum/showthread.php/2066-Download-Machete-Film-In-Dvd-Quality Machete Filmography , http://www.veoh.com/forum/showthread.php/2059-Download-The-A-Team-Movie-In-Hd-Quality The A-Team Trailer Download , http://www.veoh.com/forum/showthread.php/2080-Download-Killers-Movie-In-Hd-Quality The New Killers Movie , http://www.veoh.com/forum/showthread.php/2068-Full-Red-Film-Downloads Red Movie To Buy , http://www.veoh.com/forum/showthread.php/2058-Download-The-Last-Airbender-Movie-In-Hd-Quality Hi-def The Last Airbender Movie , http://www.veoh.com/forum/showthread.php/2079-Download-Green-Zone-Film-In-Dvd-Quality Watch Full Length Green Zone Online , http://www.veoh.com/forum/showthread.php/2095-Download-Movie-Up-in-the-Air-Dvd Hd Quality Up in the Air Watch , http://www.veoh.com/forum/showthread.php/2084-Download-Dinner-for-Schmucks-Film-In-Hd-Quality Dinner for Schmucks Movie Part , http://www.veoh.com/forum/showthread.php/2076-Frozen-Movie-Download-Full-Movie Download The Frozen Online , http://www.veoh.com/forum/showthread.php/2053-Full-The-Expendables-Movie-Downloads Where Can Buy A The Expendables , -- How To Download Green Zone The Movie?
- 3 , http://www.veoh.com/forum/showthread.php/2086-Download-Devil-Film-Dvd Devil Movie Rating , http://www.veoh.com/forum/showthread.php/2091-Watch-Online-Ocean-s-Eleven-The-Movie-In-High-Quality Download Of Ocean's Eleven Movie , http://www.veoh.com/forum/showthread.php/2094-Download-The-Social-Network-Full-Movie Illegal The Social Network Film Download , http://www.veoh.com/forum/showthread.php/2057-Download-How-to-Train-Your-Dragon-Film-In-Hd-Formats Illegal How to Train Your Dragon Film Download , http://www.veoh.com/forum/showthread.php/2090-How-To-Download-The-Losers-The-Full-Movie The Losers Film Watch Films , http://www.veoh.com/forum/showthread.php/2078-Download-I-Spit-on-Your-Grave-Film-In-Hd-Quality Watch I Spit on Your Grave Movie On Computer , http://www.veoh.com/forum/showthread.php/2096-Download-Repo-Men-Film-Hq Watch The Complete Repo Men Film , http://www.veoh.com/forum/showthread.php/2054-Full-Robin-Hood-Movie-Downloads Were Can I Watch Robin Hood The Movie , http://www.veoh.com/forum/showthread.php/2063-Download-Knight-and-Day-Full-Movie Knight and Day Film Direct Download , http://www.veoh.com/forum/showthread.php/2089-Download-2012-Movie-In-Divx-Formats Download 2012 Film In Ipod Quality , -- Repo Men Movie Information?
- 3 , http://www.veoh.com/forum/showthread.php/2055-Download-Salt-Movie-In-Divx-Formats Salt Film Dvd , http://www.veoh.com/forum/showthread.php/2097-Download-Prince-of-Persia-The-Sands-of-Time-Film-In-Dvd-Quality Watch The Prince of Persia: The Sands of Time Movie Now , http://www.veoh.com/forum/showthread.php/2092-The-Book-of-Eli-Film-Hd-Download The The Book of Eli Soundtrack Download , http://www.veoh.com/forum/showthread.php/2069-Full-Despicable-Me-Movie-Downloads Despicable Me Film Length , http://www.veoh.com/forum/showthread.php/2077-Download-Clash-of-the-Titans-Film-Dvd Clash of the Titans Online Film , http://www.veoh.com/forum/showthread.php/2088-Download-Sex-and-the-City-2-Film-In-Hd-Formats Sex and the City 2 Film Video , http://www.veoh.com/forum/showthread.php/2070-Full-The-Sorcerer-s-Apprentice-Film-Downloads I Want To Watch The Full Film Of The Sorcerer's Apprentice Online , http://www.veoh.com/forum/showthread.php/2051-Wall-Street-Money-Never-Sleeps-Download-Full-Film Roger Spottiswoode Wall Street: Money Never Sleeps , http://www.veoh.com/forum/showthread.php/2056-The-Resident-Evil-Afterlife-Download-Full-Film The Resident Evil: Afterlife 2009 Download , http://www.veoh.com/forum/showthread.php/2093-Download-Vampires-Suck-Movie-In-Divx-Formats Watch Vampires Suck Film In High Quality , -- Watch The Entire Film Of Vampires Suck?
- 4 , http://www.veoh.com/forum/showthread.php/2074-Download-Jonah-Hex-Movie-In-Hd Hi-def Quality Jonah Hex , http://www.veoh.com/forum/showthread.php/2072-Download-Online-Avatar-The-Movie-In-High-Quality Download The New Avatar Movie , http://www.veoh.com/forum/showthread.php/2050-Download-Inception-Film-In-Dvd-Quality Inception Movie Quotes , http://www.veoh.com/forum/showthread.php/2060-The-Predators-Download-Full-Movie Predators Film Opening , http://www.veoh.com/forum/showthread.php/2049-Download-Online-Toy-Story-3-The-Movie-In-High-Quality Watch Entire Toy Story 3 Film , http://www.veoh.com/forum/showthread.php/2061-Download-Film-Grown-Ups-Dvdrip Grown Ups Film Download High Quality , http://www.veoh.com/forum/showthread.php/2071-Download-Piranha-Movie-Ipod Piranha Movie In Hd , http://www.veoh.com/forum/showthread.php/2052-The-Iron-Man-2-Download-Full-Film Iron Man 2 Divx , http://www.veoh.com/forum/showthread.php/2062-Download-Eclipse-Film-In-Hd-Formats Eclipse Trailers , http://www.veoh.com/forum/showthread.php/2083-Download-Shrek-Forever-After-Film-In-Hd-Quality Shrek Forever After The Movie To Download , -- Shrek Forever After Film On Youtube?
- 4 , http://www.veoh.com/forum/showthread.php/2082-Full-Alice-in-Wonderland-Film-Downloads Alice in Wonderland Film Good Quality , http://www.veoh.com/forum/showthread.php/2073-Download-The-Switch-Movie-In-Divx-Formats Watch The Switch Full Movie Hd , http://www.veoh.com/forum/showthread.php/2087-Download-Splice-Film-In-Dvd-Quality Splice The Film High Quality , http://www.veoh.com/forum/showthread.php/2098-Download-Legend-of-the-Guardians-The-Owls-of-Ga-Hoole-Movie-In-Hd-Quality Cheapest Legend of the Guardians: The Owls of Ga'Hoole Movie , http://www.veoh.com/forum/showthread.php/2081-Download-Movie-Leap-Year-Pda Leap Year Movie Release , http://www.veoh.com/forum/showthread.php/2067-Centurion-Movie-Hd-Download Websites To Watch Centurion The Movie , http://www.veoh.com/forum/showthread.php/2075-Download-Movie-The-Town-Dvd The Town Direct Download , http://www.veoh.com/forum/showthread.php/2065-Download-The-Karate-Kid-Movie-In-Ipod-Quality New Movie The Karate Kid , http://www.veoh.com/forum/showthread.php/2085-Download-Step-Up-3D-Movie-In-Hd Step Up 3D Movie Download Zshare , http://www.veoh.com/forum/showthread.php/2064-Get-Him-to-the-Greek-Film-Download-Full-Film High Quality Get Him to the Greek Film , -- Watch The Complete Step Up 3D Film?
- 3 , http://www.veoh.com/forum/showthread.php/2066-Download-Machete-Film-In-Dvd-Quality I Want To Watch The Full Movie Of Machete Online , http://www.veoh.com/forum/showthread.php/2059-Download-The-A-Team-Movie-In-Hd-Quality Cheapest The A-Team Movie , http://www.veoh.com/forum/showthread.php/2080-Download-Killers-Movie-In-Hd-Quality Where To Watch Killers The Movie , http://www.veoh.com/forum/showthread.php/2068-Full-Red-Film-Downloads Red Film Awards , http://www.veoh.com/forum/showthread.php/2058-Download-The-Last-Airbender-Movie-In-Hd-Quality Free Downloads The Last Airbender , http://www.veoh.com/forum/showthread.php/2079-Download-Green-Zone-Film-In-Dvd-Quality Websites To Watch Green Zone The Film , http://www.veoh.com/forum/showthread.php/2095-Download-Movie-Up-in-the-Air-Dvd Up in the Air Full Lenght Movie In Divx Format , http://www.veoh.com/forum/showthread.php/2084-Download-Dinner-for-Schmucks-Film-In-Hd-Quality Dinner for Schmucks Film Synopsis , http://www.veoh.com/forum/showthread.php/2076-Frozen-Movie-Download-Full-Movie Watch Frozen The Film Right Now , http://www.veoh.com/forum/showthread.php/2053-Full-The-Expendables-Movie-Downloads The Expendables Downloading , -- The A-Team Movie Video?
- 3 , http://www.veoh.com/forum/showthread.php/2086-Download-Devil-Film-Dvd Watch Complete Devil Movie , http://www.veoh.com/forum/showthread.php/2091-Watch-Online-Ocean-s-Eleven-The-Movie-In-High-Quality Ocean's Eleven Film Bits , http://www.veoh.com/forum/showthread.php/2094-Download-The-Social-Network-Full-Movie The Social Network Film Awards , http://www.veoh.com/forum/showthread.php/2057-Download-How-to-Train-Your-Dragon-Film-In-Hd-Formats Watch Complete How to Train Your Dragon Movie , http://www.veoh.com/forum/showthread.php/2090-How-To-Download-The-Losers-The-Full-Movie The Losers Film Divx , http://www.veoh.com/forum/showthread.php/2078-Download-I-Spit-on-Your-Grave-Film-In-Hd-Quality Watch Made From I Spit on Your Grave , http://www.veoh.com/forum/showthread.php/2096-Download-Repo-Men-Film-Hq Download Repo Men Movie 2010 , http://www.veoh.com/forum/showthread.php/2054-Full-Robin-Hood-Movie-Downloads Watch Whole Movie Of Robin Hood , http://www.veoh.com/forum/showthread.php/2063-Download-Knight-and-Day-Full-Movie Pre Buy Knight and Day Movie , http://www.veoh.com/forum/showthread.php/2089-Download-2012-Movie-In-Divx-Formats Watch 2012 Film Stream , -- Watch The Entire Film Of Repo Men?
- 3 , http://www.veoh.com/forum/showthread.php/2055-Download-Salt-Movie-In-Divx-Formats The Salt Film Online , http://www.veoh.com/forum/showthread.php/2097-Download-Prince-of-Persia-The-Sands-of-Time-Film-In-Dvd-Quality Buy Prince of Persia: The Sands of Time The Movie , http://www.veoh.com/forum/showthread.php/2092-The-Book-of-Eli-Film-Hd-Download The Book of Eli The Full Film To Watch , http://www.veoh.com/forum/showthread.php/2069-Full-Despicable-Me-Movie-Downloads Watch The Full Movie Of Despicable Me , http://www.veoh.com/forum/showthread.php/2077-Download-Clash-of-the-Titans-Film-Dvd Clash of the Titans Online Divx , http://www.veoh.com/forum/showthread.php/2088-Download-Sex-and-the-City-2-Film-In-Hd-Formats Sex and the City 2 Website , http://www.veoh.com/forum/showthread.php/2070-Full-The-Sorcerer-s-Apprentice-Film-Downloads The Sorcerer's Apprentice Movie Stream , http://www.veoh.com/forum/showthread.php/2051-Wall-Street-Money-Never-Sleeps-Download-Full-Film Where Can I Buy Wall Street: Money Never Sleeps The Film , http://www.veoh.com/forum/showthread.php/2056-The-Resident-Evil-Afterlife-Download-Full-Film Download The Resident Evil: Afterlife , http://www.veoh.com/forum/showthread.php/2093-Download-Vampires-Suck-Movie-In-Divx-Formats Dvd Vampires Suck Online , -- Salt Film Location?
- 4 , http://www.veoh.com/forum/showthread.php/2074-Download-Jonah-Hex-Movie-In-Hd Download Jonah Hex Movies , http://www.veoh.com/forum/showthread.php/2072-Download-Online-Avatar-The-Movie-In-High-Quality Watch New Avatar Online , http://www.veoh.com/forum/showthread.php/2050-Download-Inception-Film-In-Dvd-Quality Inception Release , http://www.veoh.com/forum/showthread.php/2060-The-Predators-Download-Full-Movie Predators Online Soundtrack Download , http://www.veoh.com/forum/showthread.php/2049-Download-Online-Toy-Story-3-The-Movie-In-High-Quality Download Toy Story 3 Movies , http://www.veoh.com/forum/showthread.php/2061-Download-Film-Grown-Ups-Dvdrip Grown Ups Preview , http://www.veoh.com/forum/showthread.php/2071-Download-Piranha-Movie-Ipod Watch Piranha Movie Hq , http://www.veoh.com/forum/showthread.php/2052-The-Iron-Man-2-Download-Full-Film Iron Man 2 Film Imbd , http://www.veoh.com/forum/showthread.php/2062-Download-Eclipse-Film-In-Hd-Formats I Want To Watch The Eclipse Film , http://www.veoh.com/forum/showthread.php/2083-Download-Shrek-Forever-After-Film-In-Hd-Quality Shrek Forever After Film Poster , -- Predators Film Divx?
- 4 , http://www.veoh.com/forum/showthread.php/2082-Full-Alice-in-Wonderland-Film-Downloads Alice in Wonderland Film Party , http://www.veoh.com/forum/showthread.php/2073-Download-The-Switch-Movie-In-Divx-Formats Watch Full Length The Switch Online , http://www.veoh.com/forum/showthread.php/2087-Download-Splice-Film-In-Dvd-Quality Hd Dvd Splice , http://www.veoh.com/forum/showthread.php/2098-Download-Legend-of-the-Guardians-The-Owls-of-Ga-Hoole-Movie-In-Hd-Quality Length Of Legend of the Guardians: The Owls of Ga'Hoole Film , http://www.veoh.com/forum/showthread.php/2081-Download-Movie-Leap-Year-Pda Watch Leap Year The Film Full Version , http://www.veoh.com/forum/showthread.php/2067-Centurion-Movie-Hd-Download Centurion Film Casting , http://www.veoh.com/forum/showthread.php/2075-Download-Movie-The-Town-Dvd Hi-def The Town Movie , http://www.veoh.com/forum/showthread.php/2065-Download-The-Karate-Kid-Movie-In-Ipod-Quality Where To Watch The Karate Kid Full Movie , http://www.veoh.com/forum/showthread.php/2085-Download-Step-Up-3D-Movie-In-Hd Quality Step Up 3D Ipod , http://www.veoh.com/forum/showthread.php/2064-Get-Him-to-the-Greek-Film-Download-Full-Film Movie Dvd Get Him to the Greek , -- Download The Alice in Wonderland Trailer?
- 2 , http://www.box.net/shared/ms767ginby Order SOMA Without A Rx Online , http://www.box.net/shared/54f5m77rnp Cheap AMBIEN By Money Order , http://trig.com/alessandramona/biography maximum tramadol dosage , http://www.box.net/shared/gqe7jmespc Buy Discount VALIUM No Prescription , -- tramadol canada dosage feline?
- 3 , http://www.veoh.com/forum/showthread.php/1176-Tramadol-cod-(October-2010) tramadol dosage hydrocodone chart , http://trig.com/jenifferarnetta/biography buy tramadol ultram , http://www.box.net/shared/cjp8hfn3be Purchase ADDERALL Without , http://www.veoh.com/forum/showthread.php/1197-Tramadol-generic-(October-2010) tramadol generic became on , http://www.box.net/shared/rnqmokpg69 tramadol dosage pictures , http://www.box.net/shared/ahakoaft1l tramadol hcl 50mg side effects , http://www.veoh.com/forum/showthread.php/1187-Tramadol-online-(October-2010) tramadol rx online life , http://trig.com/vaniashani/biography tramadol prescription , http://www.box.net/shared/zihn635yns Buy TRAMADOL Er Online No Membership Overnight Shipping , http://www.box.net/shared/kaq9mlp20t Order The Cheapest VIAGRA Er Now , -- Buy Mail Order TRAMADOL?
- 2 , http://www.veoh.com/forum/showthread.php/1181-Tramadol-generic-(October-2010) generic tramadol ultram or , http://www.veoh.com/forum/showthread.php/1190-Tramadol-hcl-(October-2010) tramadol hcl 50 mg dogs for , http://www.box.net/shared/nfu3k9ozru ULTRAM No Doctors Prescription , http://trig.com/marleenmariann/biography cheap next tramadol day , http://www.veoh.com/forum/showthread.php/1198-Tramadol-dosage-(October-2010) tramadol dosage in ducks and geese , http://www.veoh.com/forum/showthread.php/1172-Tramadol-hcl-(October-2010) tramadol hcl apap , http://www.box.net/shared/yvhnkzo4x5 AMBIEN With Doctor Consult , http://www.box.net/shared/eccbgnog7u phenergan tramadol safe together , http://www.box.net/shared/acn7y8ded4 60 tramadol pills cheapest , http://www.box.net/shared/cqyu34izga tramadol dogs canine dosage , -- promethizine tramadol safe together?
- 2 , http://www.box.net/shared/e4iv8mgeby tramadol online no prescription , http://www.veoh.com/forum/showthread.php/1178-Tramadol-side-effects-(October-2010) tramadol side effects dogs , http://www.veoh.com/forum/showthread.php/1189-Buy-tramadol-(October-2010) buy florida tramadol , http://www.box.net/shared/66hiimo6bv Online Doctor For AMBIEN , http://www.box.net/shared/kb3lt2havi list of drug companies generic tramadol , http://www.box.net/shared/m8f0kiq7us Cheapest LEVITRA To Buy Online In Uk , http://www.box.net/shared/ac8gi87114 tramadol cod order , http://www.box.net/shared/04m298c5bs fedex cheap tramadol , http://www.box.net/shared/pdx37utzxi all about tramadol flamingoes , http://www.box.net/shared/1vat54mjuf XANAX For Pain , -- tramadol drug label and codeine?
- 4 , http://www.box.net/shared/fez72sgmt9 Order FIORICET In Kitchener , http://www.veoh.com/forum/showthread.php/1165-Cheap-tramadol-(October-2010) cheap tramadol free with shipping , http://www.box.net/shared/055v2t0i9v tramadol sites with cod delivery , http://www.box.net/shared/j8hc46365n tramadol sites with cod delivery , http://www.box.net/shared/kqlcek3ndn Man Health Buy TRAMADOL Now , http://www.box.net/shared/29dn835tva VALIUM For Chronic Pain , http://www.box.net/shared/1thrs9b14b order 100 tramadol mg , http://www.box.net/shared/52sixlzgcd Or TRAMADOL Online Order Onlines , http://www.box.net/shared/v6jdz2n6v4 SOMA Cd Side Effects , http://www.box.net/shared/77jdsceip5 Find Cheapest XANAX To Buy Online , -- Purchase XANAX in Za?
- 4 , http://www.box.net/shared/biq4se2j36 Order SOMA Generic , http://www.veoh.com/forum/showthread.php/1183-Tramadol-dosage-(October-2010) canine dosages tramadol , http://www.box.net/shared/bsghcixf88 Buy CIALIS In Newark , http://www.box.net/shared/osuiavetrc tramadol generic , http://trig.com/kortneywilburn/biography ativan buy tramadol online , http://trig.com/katheytressa/biography side effects from tramadol 50mg tab , http://trig.com/ingestacey/biography tramadol generic , http://www.box.net/shared/44irvnvrsa tramadol 4 50mg tablets , http://www.veoh.com/forum/showthread.php/1192-Tramadol-cod-(October-2010) tramadol cod fedex , http://trig.com/rhettmarcella/biography tramadol is not codiene , -- CIALIS Buy In Usa All Us Regions Overnight Delivery?
- 2 , http://www.box.net/shared/u1824aja1t Order TRAMADOL Online Uk , http://www.box.net/shared/yxpgbhe198 CIALIS No Prescription Needed Overnight , http://www.box.net/shared/p0alg9s5fj AMBIEN Buy In Italy No Prior Prescription Needed , http://www.veoh.com/forum/showthread.php/1195-Order-tramadol-(October-2010) tramadol order pharmacy , http://www.box.net/shared/zt3akfzc9v ADDERALL Buy in Uk Without Prescrs free Pills , http://www.veoh.com/forum/showthread.php/1185-Cheap-tramadol-(October-2010) tramadol cheapest us buy price online , http://www.box.net/shared/zuu1xxlcb7 Buy ULTRAM Without Rx To Ship Overnight , http://www.box.net/shared/kkn3l7bjh8 Purchasing VALIUM Er With Overnight Delivery , http://trig.com/signejanessa/biography 100mg tramadol order , http://www.box.net/shared/ib75qv28ck Purchase FIORICET in Usa , -- Overnight TRAMADOL No Rx Sunday Delivery?
- 2 , http://www.box.net/shared/ypmege6s50 side effects of suddenly stopping tramadol , http://trig.com/elzadamian/biography tramadol dosage hcl , http://www.box.net/shared/m3h1ud5y92 Buy Cheap XANAX Er Online Free Consult , http://www.box.net/shared/a0g09mi9ta tramadol ultram allergy side-effects sensitivities , http://www.box.net/shared/06ullqaxl0 Buy VIAGRA Pills , http://www.box.net/shared/z8bfx4nhuy VIAGRA Buy in Aus Fri For Receptpligtig Medicin , http://www.veoh.com/forum/showthread.php/1175-Tramadol-prescription-(October-2010) no prior tramadol prescription , http://www.box.net/shared/6cev6jaf3t tramadol veterinary pain medication , http://www.box.net/shared/8lsga07ttf mixing oxycodone with tramadol , http://www.box.net/shared/ov5h9du2gb top site for tramadol buying , -- codeine allergy cross sensitivity tramadol?
- 2 , http://www.box.net/shared/ias3cn35l0 low price tramadol , http://www.veoh.com/forum/showthread.php/1191-Tramadol-prescription-(October-2010) free tramadol no prescription , http://www.box.net/shared/i2di459u1y Lowest Prices For FIORICET Online , http://www.box.net/shared/z3y4bqtxr8 Buy Cheap Discounted SOMA , http://www.box.net/shared/ioyjzm3vkp tramadol maximum dose , http://www.box.net/shared/ko3vqyhmid cost low tramadol , http://www.box.net/shared/t3ob7209fq Cheapest CODEINE Shipping To Usa , http://www.veoh.com/forum/showthread.php/1171-Buy-tramadol-(October-2010) buy tramadol online a without prescription , http://www.box.net/shared/yfgijjjb36 Cheapest Order LEVITRA , http://www.box.net/shared/hbh665ovas Overnight Delivery Of CIALIS With No Prescription , -- buy tramadol online without prescription a?
- 3 , http://www.box.net/shared/g9fpy26mlr no prescription next day delivery tramadol , http://www.veoh.com/forum/showthread.php/1169-Tramadol-online-(October-2010) is ordering tramadol illigial online , http://www.box.net/shared/ydfoaafn8i how to buy tramadol , http://www.veoh.com/forum/showthread.php/1193-Tramadol-side-effects-(October-2010) tramadol side effects forum numbness , http://www.veoh.com/forum/showthread.php/1179-Order-tramadol-(October-2010) cod accepted orders for tramadol , http://www.box.net/shared/axe3oktbc3 I Want To Buy TRAMADOL Without A Perscription , http://www.box.net/shared/9ola22l010 buy online no tramadol prescription , http://www.box.net/shared/54iifxugl0 purchase cheap tramadol , http://www.box.net/shared/no3g2msqcj Buy Generic FIORICET Online in North Carolina , http://www.box.net/shared/9at2cz6sd9 Discount FIORICET , -- online pharmacy tramadol sales?
- 4 , http://www.box.net/shared/3tyt2rsrn7 Cheap XANAX Cheap At Washington , http://www.box.net/shared/os1b723opk what is tramadol hcl , http://www.box.net/shared/ooaesfkujg Buy CODEINE No Visa , http://www.box.net/shared/5lx4oigfuj Purchase XANAX Pay Pal Without Prescription , http://www.box.net/shared/8j0hvhu4ge AMBIEN Buy in Nl Cod No Prescription , http://www.box.net/shared/xb4q3vbpr9 tramadol pets no prescription , http://www.box.net/shared/kcg9htfuh8 VIAGRA Cod Buys , http://www.box.net/shared/i77thrn7jy is tramadol available in canada , http://www.box.net/shared/k33ma8cvdy Purchase VIAGRA Online No Membership Overnight Shipping , http://www.box.net/shared/71e1r5f15g SOMA Bars Without Prescription , -- Purchase Online VIAGRA Without Rx?
- 2 , http://www.box.net/shared/ms767ginby Purchasing SOMA Overnight Delivery , http://www.box.net/shared/54f5m77rnp Purchase AMBIEN Online Without A Presciption , http://trig.com/alessandramona/biography tramadol dosage 50mg , http://www.box.net/shared/gqe7jmespc VALIUM No Prescription Next Day Delivery , -- tramadol canine dosage viagra?
- 3 , http://www.veoh.com/forum/showthread.php/1176-Tramadol-cod-(October-2010) tramadol and mixed hydrocodone , http://trig.com/jenifferarnetta/biography career in finance buy tramadol , http://www.box.net/shared/cjp8hfn3be ADDERALL Buy ADDERALL , http://www.veoh.com/forum/showthread.php/1197-Tramadol-generic-(October-2010) generic mexican pictures tramadol , http://www.box.net/shared/rnqmokpg69 tramadol dosages , http://www.box.net/shared/ahakoaft1l tramadol effect on blood sugar levels , http://www.veoh.com/forum/showthread.php/1187-Tramadol-online-(October-2010) online tramadol , http://trig.com/vaniashani/biography cheap tramadol without a prescription fedex , http://www.box.net/shared/zihn635yns Ordering TRAMADOL Online Without Prescription , http://www.box.net/shared/kaq9mlp20t Cheap VIAGRA Er For Sale With No Prescription , -- what is tramadol generic ultram?
- 4 , http://www.veoh.com/forum/showthread.php/1181-Tramadol-generic-(October-2010) strongest generic tramadol of , http://www.veoh.com/forum/showthread.php/1190-Tramadol-hcl-(October-2010) tramadol hcl mg 50 uses , http://www.box.net/shared/nfu3k9ozru Buy Online ULTRAM Rxs , http://trig.com/marleenmariann/biography cheap tramadol discount , http://www.veoh.com/forum/showthread.php/1198-Tramadol-dosage-(October-2010) tramadol dogs canine dosage , http://www.veoh.com/forum/showthread.php/1172-Tramadol-hcl-(October-2010) what is tramadol hcl 50mg , http://www.box.net/shared/yvhnkzo4x5 Buy Cheap Mg AMBIEN Er , http://www.box.net/shared/eccbgnog7u getting high off tramadol , http://www.box.net/shared/acn7y8ded4 identifing tramadol pills , http://www.box.net/shared/cqyu34izga tramadol hydrocodone chart dosage , -- dosage tramadol hydrocodone vs?
- 2 , http://www.box.net/shared/e4iv8mgeby buy tramadol online overnight delivery , http://www.veoh.com/forum/showthread.php/1178-Tramadol-side-effects-(October-2010) tramadol and its side effects , http://www.veoh.com/forum/showthread.php/1189-Buy-tramadol-(October-2010) buy tramadol online now , http://www.box.net/shared/66hiimo6bv Buy AMBIEN in California , http://www.box.net/shared/kb3lt2havi drug interactions tramadol and cymbalta , http://www.box.net/shared/m8f0kiq7us Cheap Rx LEVITRA , http://www.box.net/shared/ac8gi87114 tramadol saturday order request , http://www.box.net/shared/04m298c5bs tramadol cheap no prescription , http://www.box.net/shared/pdx37utzxi site about tramadol serpents , http://www.box.net/shared/1vat54mjuf XANAX Er No Rx Cod , -- tramadol online medication?
- 4 , http://www.box.net/shared/fez72sgmt9 What Are The Side Effects Of FIORICET , http://www.veoh.com/forum/showthread.php/1165-Cheap-tramadol-(October-2010) tramadol cheap cod , http://www.box.net/shared/055v2t0i9v cheap tramadol free delivery , http://www.box.net/shared/j8hc46365n tramadol versus pregnancy vicodin , http://www.box.net/shared/kqlcek3ndn Find Cheapest TRAMADOL Er To Order Online , http://www.box.net/shared/29dn835tva Buy VALIUM Er In Annapolis , http://www.box.net/shared/1thrs9b14b tramadol with order money , http://www.box.net/shared/52sixlzgcd Buying TRAMADOL Online No Membership Overnight Delivery , http://www.box.net/shared/v6jdz2n6v4 Buy SOMA Online By Cod , http://www.box.net/shared/77jdsceip5 Or Cheap XANAX Cod , -- Order TRAMADOL Er Without Rx?
- 3 , http://www.box.net/shared/biq4se2j36 Pharmacy SOMA No Prescrption , http://www.veoh.com/forum/showthread.php/1183-Tramadol-dosage-(October-2010) hcl tramadol dosage , http://www.box.net/shared/bsghcixf88 CIALIS Buy In Uk No Prescrs Needed , http://www.box.net/shared/osuiavetrc generic tramadol tablet , http://trig.com/kortneywilburn/biography buy tramadol cod online , http://trig.com/katheytressa/biography tramadol paracetamol dolcet side effects , http://trig.com/ingestacey/biography generic 25mg tramadol , http://www.box.net/shared/44irvnvrsa tramadol 60 tablets , http://www.veoh.com/forum/showthread.php/1192-Tramadol-cod-(October-2010) cod orders tramadol , http://trig.com/rhettmarcella/biography tramadol oxycodone , -- vicodin rash tramadol?
- 2 , http://www.box.net/shared/u1824aja1t Purchase TRAMADOL Without A Rx Overnight Delivery , http://www.box.net/shared/yxpgbhe198 CIALIS Dosage For Dogs , http://www.box.net/shared/p0alg9s5fj Cheap AMBIEN Overnight Delivery , http://www.veoh.com/forum/showthread.php/1195-Order-tramadol-(October-2010) order from tramadol mexico , http://www.box.net/shared/zt3akfzc9v ADDERALL Hcl 50 Mg Tab , http://www.veoh.com/forum/showthread.php/1185-Cheap-tramadol-(October-2010) cheap tramadol with overnight free shipping , http://www.box.net/shared/zuu1xxlcb7 ULTRAM Buy in Fra No Membership Fees No Prescription , http://www.box.net/shared/kkn3l7bjh8 Discounted VALIUM Online , http://trig.com/signejanessa/biography ordering tramadol on collect delivery , http://www.box.net/shared/ib75qv28ck Discount FIORICET Online With Overnight Delivery , -- cheap tramadol 180 for $75?
- 2 , http://www.box.net/shared/ypmege6s50 mix phenergan tramadol side effects , http://trig.com/elzadamian/biography no prescription tramadol hcl , http://www.box.net/shared/m3h1ud5y92 Buy Cheap XANAX Er Online Free Consult , http://www.box.net/shared/a0g09mi9ta tramadol hcl-acetaminophen side effects , http://www.box.net/shared/06ullqaxl0 Discount VIAGRA Prescription Drug , http://www.box.net/shared/z8bfx4nhuy Ingredients In VIAGRA , http://www.veoh.com/forum/showthread.php/1175-Tramadol-prescription-(October-2010) tramadol cheap fast no prescription , http://www.box.net/shared/6cev6jaf3t tramadol apap dental pain , http://www.box.net/shared/8lsga07ttf codeine allergy cross sensitivity tramadol , http://www.box.net/shared/ov5h9du2gb buy ct 180 tramadol , -- tramadol and canine and side effects?
- 3 , http://www.box.net/shared/ias3cn35l0 tramadol cheapest us price buy online , http://www.veoh.com/forum/showthread.php/1191-Tramadol-prescription-(October-2010) tramadol on line no prescription , http://www.box.net/shared/i2di459u1y Buy FIORICET Canada , http://www.box.net/shared/z3y4bqtxr8 SOMA Buy In Us No Physicisn Consult , http://www.box.net/shared/ioyjzm3vkp tramadol overdose symptoms , http://www.box.net/shared/ko3vqyhmid cost of tramadol , http://www.box.net/shared/t3ob7209fq CODEINE Wholesale , http://www.veoh.com/forum/showthread.php/1171-Buy-tramadol-(October-2010) buy tramadol fedex shipping overnight , http://www.box.net/shared/yfgijjjb36 LEVITRA Generic Cheapest , http://www.box.net/shared/hbh665ovas Buy Pill Or Capsules CIALIS , -- SOMA No Prior Script?
- 4 , http://www.box.net/shared/3tyt2rsrn7 Order XANAX in Kitchener , http://www.box.net/shared/os1b723opk tramadol 50mr hcl , http://www.box.net/shared/ooaesfkujg CODEINE Online Prescript Ion , http://www.box.net/shared/5lx4oigfuj XANAX Concluded Information , http://www.box.net/shared/8j0hvhu4ge AMBIEN Fed Ex Cheap , http://www.box.net/shared/xb4q3vbpr9 purchase tramadol online without prescription , http://www.box.net/shared/kcg9htfuh8 VIAGRA Buy In Va Without Prescription , http://www.box.net/shared/i77thrn7jy tramadol canada dosage cats , http://www.box.net/shared/k33ma8cvdy Order VIAGRA Generic , http://www.box.net/shared/71e1r5f15g Purchase SOMA in Ca , -- Buy VIAGRA Usa?
- 4 , http://www.box.net/shared/ms767ginby Purchase SOMA With No Rx , http://www.box.net/shared/54f5m77rnp AMBIEN Buy In Us Ohne Rezept , http://trig.com/alessandramona/biography normal dosage tramadol of , http://www.box.net/shared/gqe7jmespc Purchase VALIUM Er , -- SOMA Buy in Hk Healthcare Free Pills?
- 2 , http://www.veoh.com/forum/showthread.php/1176-Tramadol-cod-(October-2010) tramadol oxycodone , http://trig.com/jenifferarnetta/biography buy tramadol without online prescription , http://www.box.net/shared/cjp8hfn3be Buy ADDERALL Quick , http://www.veoh.com/forum/showthread.php/1197-Tramadol-generic-(October-2010) tramadol generic cost , http://www.box.net/shared/rnqmokpg69 dosage of tramadol hydrochloride , http://www.box.net/shared/ahakoaft1l tramadol side effects if snorted , http://www.veoh.com/forum/showthread.php/1187-Tramadol-online-(October-2010) tramadol twinkling online , http://trig.com/vaniashani/biography no prescription pharmacy online tramadol , http://www.box.net/shared/zihn635yns Buy Cheap TRAMADOL Online Without A Prescription , http://www.box.net/shared/kaq9mlp20t Buy Pill Or Capsules VIAGRA , -- tramadol without prescription overnight delivery?
- 4 , http://www.veoh.com/forum/showthread.php/1181-Tramadol-generic-(October-2010) tramadol generic became on , http://www.veoh.com/forum/showthread.php/1190-Tramadol-hcl-(October-2010) tramadol information hcl , http://www.box.net/shared/nfu3k9ozru ULTRAM Cheap Next Day , http://trig.com/marleenmariann/biography cheap tramadol cod fedex free , http://www.veoh.com/forum/showthread.php/1198-Tramadol-dosage-(October-2010) tramadol hydrochloride canine dosage , http://www.veoh.com/forum/showthread.php/1172-Tramadol-hcl-(October-2010) matrix tramadol hcl 50 mg , http://www.box.net/shared/yvhnkzo4x5 Or AMBIEN Online Ship To Puerto Rico , http://www.box.net/shared/eccbgnog7u get high tramadol , http://www.box.net/shared/acn7y8ded4 what does tramadol pills look like , http://www.box.net/shared/cqyu34izga dosage tramadol hydrocodone vs , -- list of generic companies tramadol sale?
- 2 , http://www.box.net/shared/e4iv8mgeby tramadol sobs online , http://www.veoh.com/forum/showthread.php/1178-Tramadol-side-effects-(October-2010) tramadol paracetamol dolcet side effects , http://www.veoh.com/forum/showthread.php/1189-Buy-tramadol-(October-2010) buy tramadol online , http://www.box.net/shared/66hiimo6bv Cheap AMBIEN Without A Prescription , http://www.box.net/shared/kb3lt2havi tramadol drug card , http://www.box.net/shared/m8f0kiq7us Purchase Generic LEVITRA Online No Prescription , http://www.box.net/shared/ac8gi87114 tramadol order overnight , http://www.box.net/shared/04m298c5bs order cheap generic tramadol online , http://www.box.net/shared/pdx37utzxi all about tramadol briskly , http://www.box.net/shared/1vat54mjuf XANAX Cod Next Day , -- tramadol money order?
- 2 , http://www.box.net/shared/fez72sgmt9 Order Discount FIORICET , http://www.veoh.com/forum/showthread.php/1165-Cheap-tramadol-(October-2010) tramadol cheap discount , http://www.box.net/shared/055v2t0i9v tramadol 100mg fedex delivery , http://www.box.net/shared/j8hc46365n hydrocodone pain tramadol , http://www.box.net/shared/kqlcek3ndn Buy TRAMADOL Canada , http://www.box.net/shared/29dn835tva VALIUM With No Prior Prescription , http://www.box.net/shared/1thrs9b14b reorder $85 tramadol , http://www.box.net/shared/52sixlzgcd Order Generic TRAMADOL Online , http://www.box.net/shared/v6jdz2n6v4 Where To Buy SOMA Online , http://www.box.net/shared/77jdsceip5 Buy 500 XANAX , -- XANAX Buy in Uk All Us Regions Overnight Delivery?
- 2 , http://www.box.net/shared/biq4se2j36 Cheap SOMA , http://www.veoh.com/forum/showthread.php/1183-Tramadol-dosage-(October-2010) tramadol hydrochloride for dogs dosage , http://www.box.net/shared/bsghcixf88 How To Get A CIALIS Prescription , http://www.box.net/shared/osuiavetrc list of generic companies tramadol sale , http://trig.com/kortneywilburn/biography tramadol cod online pharmacy , http://trig.com/katheytressa/biography tramadol side effects liver of , http://trig.com/ingestacey/biography tramadol generic , http://www.box.net/shared/44irvnvrsa tramadol 50mg tablets , http://www.veoh.com/forum/showthread.php/1192-Tramadol-cod-(October-2010) codeine ultram tramadol overnight delivery , http://trig.com/rhettmarcella/biography tramadol cod no prior script , -- No Prescription SOMA Overnight?
- 2 , http://www.box.net/shared/u1824aja1t TRAMADOL Buy in Bi Without Priscription , http://www.box.net/shared/yxpgbhe198 CIALIS Buy in Ma Libera Prescrizione Di Droga , http://www.box.net/shared/p0alg9s5fj AMBIEN Buy In Th Low Price Without Prescription , http://www.veoh.com/forum/showthread.php/1195-Order-tramadol-(October-2010) tramadol order cod , http://www.box.net/shared/zt3akfzc9v Generic ADDERALL No Prescription , http://www.veoh.com/forum/showthread.php/1185-Cheap-tramadol-(October-2010) pharmacy tech career cheap tramadol , http://www.box.net/shared/zuu1xxlcb7 Overnight ULTRAM Without A Rx , http://www.box.net/shared/kkn3l7bjh8 C O D Shipping For VALIUM , http://trig.com/signejanessa/biography overseas order online tramadol , http://www.box.net/shared/ib75qv28ck Where To Purchase Generic FIORICET Online Without A Prescription , -- tramadol 180 cheap ct 89.00?
- 4 , http://www.box.net/shared/ypmege6s50 dog tramadol side effects , http://trig.com/elzadamian/biography tramadol hcl site , http://www.box.net/shared/m3h1ud5y92 Ordering XANAX With Overnight Delivery , http://www.box.net/shared/a0g09mi9ta tramadol dog side effects , http://www.box.net/shared/06ullqaxl0 Buy Cheap Mg VIAGRA Er , http://www.box.net/shared/z8bfx4nhuy Buy VIAGRA Er Online Purchase , http://www.veoh.com/forum/showthread.php/1175-Tramadol-prescription-(October-2010) instructions prescriptions tramadol , http://www.box.net/shared/6cev6jaf3t tramadol for sciatic pain , http://www.box.net/shared/8lsga07ttf tramadol cod overnight order , http://www.box.net/shared/ov5h9du2gb cod buy tramadol , -- How To Buy VIAGRA Er Online Without Prescription?
- 3 , http://www.box.net/shared/ias3cn35l0 lowest prices on tramadol , http://www.veoh.com/forum/showthread.php/1191-Tramadol-prescription-(October-2010) tramadol no prescription law dea , http://www.box.net/shared/i2di459u1y Where To Buy Discount FIORICET No Rx Cheap , http://www.box.net/shared/z3y4bqtxr8 SOMA Buy In Sk C O D Without Prescription , http://www.box.net/shared/ioyjzm3vkp tramadol symtoms of overdose , http://www.box.net/shared/ko3vqyhmid lowest cost for veterinarian tramadol , http://www.box.net/shared/t3ob7209fq CODEINE Buy in Usa No Prior Prescription , http://www.veoh.com/forum/showthread.php/1171-Buy-tramadol-(October-2010) buy tramadol 180 cod , http://www.box.net/shared/yfgijjjb36 LEVITRA No Prescription No Fees Overnight , http://www.box.net/shared/hbh665ovas CIALIS Symptoms , -- tramadol er cost?
- 4 , http://www.box.net/shared/g9fpy26mlr prescription tramadol , http://www.veoh.com/forum/showthread.php/1169-Tramadol-online-(October-2010) tramadol online shipping fedex $117.00 , http://www.box.net/shared/ydfoaafn8i buy tramadol 180 tabs free shipping , http://www.veoh.com/forum/showthread.php/1193-Tramadol-side-effects-(October-2010) tramadol and its side effects , http://www.veoh.com/forum/showthread.php/1179-Order-tramadol-(October-2010) order tramadol discount , http://www.box.net/shared/axe3oktbc3 Order TRAMADOL Online in Virginia , http://www.box.net/shared/9ola22l010 tramadol online consultation ship to fl , http://www.box.net/shared/54iifxugl0 cheap tramadol cod saturday delivery , http://www.box.net/shared/no3g2msqcj Purchase FIORICET No Visa Online Without Prescription , http://www.box.net/shared/9at2cz6sd9 Order Discount FIORICET , -- TRAMADOL Er Without A Prescription To Order?
- 4 , http://www.box.net/shared/3tyt2rsrn7 Buy XANAX Online No Perscription , http://www.box.net/shared/os1b723opk veterinary hcl tramadol , http://www.box.net/shared/ooaesfkujg Buy CODEINE Online No Prescription At Idaho , http://www.box.net/shared/5lx4oigfuj XANAX For Sale Online , http://www.box.net/shared/8j0hvhu4ge Generic AMBIEN Cheap No Prescription , http://www.box.net/shared/xb4q3vbpr9 pet med tramadol no prescription , http://www.box.net/shared/kcg9htfuh8 Buy Cheapest VIAGRA Price Online Without Prescription , http://www.box.net/shared/i77thrn7jy is tramadol available in canada , http://www.box.net/shared/k33ma8cvdy VIAGRA Buy in Ger For Sale No Script , http://www.box.net/shared/71e1r5f15g SOMA Buy in Aus Fri For Receptpligtig Medicin , -- Buy XANAX In California?
- 2 , http://www.box.net/shared/ms767ginby Online Order Generic Cheap SOMA No Prescription , http://www.box.net/shared/54f5m77rnp Order AMBIEN Without Prescription Pay Cod , http://trig.com/alessandramona/biography tramadol hydrochloride for dogs dosage , http://www.box.net/shared/gqe7jmespc Buy Cheap VALIUM Prescriptions Online , -- VALIUM Buy In Bi Without Prescription?
- 2 , http://www.veoh.com/forum/showthread.php/1176-Tramadol-cod-(October-2010) tramadol is not codiene , http://trig.com/jenifferarnetta/biography buy tramadol online now , http://www.box.net/shared/cjp8hfn3be Canadian ADDERALL Without Prescription in Or , http://www.veoh.com/forum/showthread.php/1197-Tramadol-generic-(October-2010) tramadol generic tablet , http://www.box.net/shared/rnqmokpg69 normal dosage of tramadol , http://www.box.net/shared/ahakoaft1l effects of tramadol on dogs , http://www.veoh.com/forum/showthread.php/1187-Tramadol-online-(October-2010) tramadol online no prior next day , http://trig.com/vaniashani/biography no prescription next day tramadol , http://www.box.net/shared/zihn635yns TRAMADOL Buy In Ger Cash On Delivery , http://www.box.net/shared/kaq9mlp20t VIAGRA Fed Ex Cheap , -- Order ADDERALL in Fort Worth
- 4 , http://www.veoh.com/forum/showthread.php/1181-Tramadol-generic-(October-2010) what is generic tramadol for , http://www.veoh.com/forum/showthread.php/1190-Tramadol-hcl-(October-2010) tramadol 50mr hcl , http://www.box.net/shared/nfu3k9ozru ULTRAM Cash On Delivery , http://trig.com/marleenmariann/biography cheapest tramadol available 80 online off , http://www.veoh.com/forum/showthread.php/1198-Tramadol-dosage-(October-2010) tramadol dosage hcl , http://www.veoh.com/forum/showthread.php/1172-Tramadol-hcl-(October-2010) snorting tramadol hcl , http://www.box.net/shared/yvhnkzo4x5 Buy AMBIEN 180 Tabs , http://www.box.net/shared/eccbgnog7u do tramadol get u high , http://www.box.net/shared/acn7y8ded4 100 tramadol pill , http://www.box.net/shared/cqyu34izga tramadol dosage pictures , -- tramadol dosage in humans?
- 3 , http://www.box.net/shared/e4iv8mgeby is tramadol illegal online , http://www.veoh.com/forum/showthread.php/1178-Tramadol-side-effects-(October-2010) side effects of tramadol hydrochloride , http://www.veoh.com/forum/showthread.php/1189-Buy-tramadol-(October-2010) buy cheap tramadol o , http://www.box.net/shared/66hiimo6bv AMBIEN No Prescriptions Needed Cod , http://www.box.net/shared/kb3lt2havi tramadol federal drug administration , http://www.box.net/shared/m8f0kiq7us LEVITRA Overnight No Prescription No Rx , http://www.box.net/shared/ac8gi87114 tramadol online order , http://www.box.net/shared/04m298c5bs tramadol cheap free overnight no rx , http://www.box.net/shared/pdx37utzxi all about tramadol briskly , http://www.box.net/shared/1vat54mjuf Buy Discount Free Prescription XANAX , -- blood drug test tramadol?
- 2 , http://www.box.net/shared/fez72sgmt9 Order FIORICET Cod Fedex , http://www.veoh.com/forum/showthread.php/1165-Cheap-tramadol-(October-2010) cheap tramadol fedex , http://www.box.net/shared/055v2t0i9v tramadol overnight delivery online prescription , http://www.box.net/shared/j8hc46365n tramadol ultram codeine fedex overnight delivery , http://www.box.net/shared/kqlcek3ndn Buy TRAMADOL No Visa , http://www.box.net/shared/29dn835tva Buy VALIUM Profile , http://www.box.net/shared/1thrs9b14b cod tramadol order , http://www.box.net/shared/52sixlzgcd TRAMADOL Is Used To Treat , http://www.box.net/shared/v6jdz2n6v4 Order SOMA Over The Counter Onlin , http://www.box.net/shared/77jdsceip5 XANAX Effectiveness , -- Buy SOMA 250 Mg?
- 2 , http://www.box.net/shared/biq4se2j36 Overnight Delivery Of SOMA Er With No Prescription , http://www.veoh.com/forum/showthread.php/1183-Tramadol-dosage-(October-2010) usual dosage tramadol , http://www.box.net/shared/bsghcixf88 Buy Cheap Generic CIALIS Online Without Prescription , http://www.box.net/shared/osuiavetrc tramadol generic cost , http://trig.com/kortneywilburn/biography order tramadol online cod , http://trig.com/katheytressa/biography side effects from tramadol 50mg tab , http://trig.com/ingestacey/biography generic tramadol or ultram , http://www.box.net/shared/44irvnvrsa tramadol hcl acetaminaphen tablets , http://www.veoh.com/forum/showthread.php/1192-Tramadol-cod-(October-2010) tramadol comparison hydrocodone dosage , http://trig.com/rhettmarcella/biography cod order tramadol , -- tramadol no rx cod overnight?
- 3 , http://www.box.net/shared/u1824aja1t TRAMADOL Buy in Fra Without Prescription , http://www.box.net/shared/yxpgbhe198 Or CIALIS Without Prescription in San Antonio , http://www.box.net/shared/p0alg9s5fj No Prescription AMBIEN Overnight , http://www.veoh.com/forum/showthread.php/1195-Order-tramadol-(October-2010) tramadol money with order , http://www.box.net/shared/zt3akfzc9v Purchase ADDERALL in England , http://www.veoh.com/forum/showthread.php/1185-Cheap-tramadol-(October-2010) buy tramadol at price cheap online , http://www.box.net/shared/zuu1xxlcb7 Purchase Discount ULTRAM No Rx , http://www.box.net/shared/kkn3l7bjh8 C O D Shipping For VALIUM , http://trig.com/signejanessa/biography order tramadol cheap , http://www.box.net/shared/ib75qv28ck Purchase FIORICET in Illinois , -- Low Price FIORICET?
- 2 , http://www.box.net/shared/ypmege6s50 side effects of suddenly tramadol stopping , http://trig.com/elzadamian/biography tramadol hcl diabetic for dogs , http://www.box.net/shared/m3h1ud5y92 Purchase XANAX In Gb , http://www.box.net/shared/a0g09mi9ta tramadol vet side effects , http://www.box.net/shared/06ullqaxl0 Buy VIAGRA Overnight Shipping , http://www.box.net/shared/z8bfx4nhuy Purchase VIAGRA Overnight Cod , http://www.veoh.com/forum/showthread.php/1175-Tramadol-prescription-(October-2010) cheap tramadol no prescription 180ct , http://www.box.net/shared/6cev6jaf3t is tramadol a good pain medicine , http://www.box.net/shared/8lsga07ttf taking tramadol with vicoden , http://www.box.net/shared/ov5h9du2gb tramadol cheapest us buy price online , -- pain tramadol?
- 4 , http://www.box.net/shared/ias3cn35l0 best prices for tramadol online , http://www.veoh.com/forum/showthread.php/1191-Tramadol-prescription-(October-2010) tramadol 90ct prescription no , http://www.box.net/shared/i2di459u1y Buy FIORICET No Prior Script Overnight , http://www.box.net/shared/z3y4bqtxr8 SOMA Buy In Uk High Quality Without Prescription , http://www.box.net/shared/ioyjzm3vkp how to overdose on tramadol , http://www.box.net/shared/ko3vqyhmid tramadol er cost , http://www.box.net/shared/t3ob7209fq Purchase CODEINE Er Cod Overnight Delivery , http://www.veoh.com/forum/showthread.php/1171-Buy-tramadol-(October-2010) buy tramadol 180 tabs free shipping , http://www.box.net/shared/yfgijjjb36 By Buy LEVITRA Online , http://www.box.net/shared/hbh665ovas Canada CIALIS No Prescription , -- low cost tramadol?
- 4 , http://www.box.net/shared/g9fpy26mlr no prescription cheapest tramadol , http://www.veoh.com/forum/showthread.php/1169-Tramadol-online-(October-2010) tramadol buy online , http://www.box.net/shared/ydfoaafn8i codeine tramadol safe together buy , http://www.veoh.com/forum/showthread.php/1193-Tramadol-side-effects-(October-2010) side effects of tramadol canine on , http://www.veoh.com/forum/showthread.php/1179-Order-tramadol-(October-2010) order overnight tramadol , http://www.box.net/shared/axe3oktbc3 Where To Order Cheap TRAMADOL No Rx , http://www.box.net/shared/9ola22l010 tramadol online c o d , http://www.box.net/shared/54iifxugl0 tramadol cheap free overnight no rx , http://www.box.net/shared/no3g2msqcj Order FIORICET Without Rx To Ship Overnight , http://www.box.net/shared/9at2cz6sd9 FIORICET For Cash Or Money Order , -- side effects of tramadol ultram?
- 3 , http://www.box.net/shared/3tyt2rsrn7 XANAX Buy in Ger No Prescription Required , http://www.box.net/shared/os1b723opk tramadol opiate hcl , http://www.box.net/shared/ooaesfkujg Buy CODEINE Cod Accepted , http://www.box.net/shared/5lx4oigfuj XANAX Overnight No Prescription , http://www.box.net/shared/8j0hvhu4ge Purchasing AMBIEN Over The Counter For Sale , http://www.box.net/shared/xb4q3vbpr9 purchase tramadol without a prescription , http://www.box.net/shared/kcg9htfuh8 Buy No Prior Perscription VIAGRA , http://www.box.net/shared/i77thrn7jy canada pharmacy tramadol no prescription , http://www.box.net/shared/k33ma8cvdy VIAGRA Buy in Uk C o d No Prescription , http://www.box.net/shared/71e1r5f15g Insurance Online Buy SOMA , -- Buy Cheap AMBIEN 120 Cod?
- 3 , http://www.box.net/shared/ms767ginby SOMA Cost Best Price SOMA , http://www.box.net/shared/54f5m77rnp Purchase AMBIEN No Perscription Cod , http://trig.com/alessandramona/biography dosages of tramadol , http://www.box.net/shared/gqe7jmespc Buy VALIUM Online Without Prescription At Idaho Lemhi , -- tramadol dosage for 130 dog pound?
- 2 , http://www.veoh.com/forum/showthread.php/1176-Tramadol-cod-(October-2010) tramadol cod delivery sat , http://trig.com/jenifferarnetta/biography buy tramadol for dogs , http://www.box.net/shared/cjp8hfn3be Or ADDERALL 100 Mg Overnight , http://www.veoh.com/forum/showthread.php/1197-Tramadol-generic-(October-2010) tramadol generic 50mg tablet , http://www.box.net/shared/rnqmokpg69 tramadol dog dosage mg , http://www.box.net/shared/ahakoaft1l tramadol side effects of liver , http://www.veoh.com/forum/showthread.php/1187-Tramadol-online-(October-2010) tramadol online next day , http://trig.com/vaniashani/biography tramadol prescription no fed-ex , http://www.box.net/shared/zihn635yns Buy TRAMADOL With Discount , http://www.box.net/shared/kaq9mlp20t VIAGRA With Next Day Delivery , -- tramadol online o c d?
- 4 , http://www.veoh.com/forum/showthread.php/1181-Tramadol-generic-(October-2010) jolliette generic tramadol , http://www.veoh.com/forum/showthread.php/1190-Tramadol-hcl-(October-2010) tramadol hcl 50 tab mg usage , http://www.box.net/shared/nfu3k9ozru Buy Cheap ULTRAM Online Uk , http://trig.com/marleenmariann/biography cheap very tramadol , http://www.veoh.com/forum/showthread.php/1198-Tramadol-dosage-(October-2010) dosage tramadol , http://www.veoh.com/forum/showthread.php/1172-Tramadol-hcl-(October-2010) tramadol hcl drug food administration and , http://www.box.net/shared/yvhnkzo4x5 AMBIEN Buy in Aus Without A Prescription Or Membership , http://www.box.net/shared/eccbgnog7u tramadol and zoloft together , http://www.box.net/shared/acn7y8ded4 cold water pill extraction tramadol , http://www.box.net/shared/cqyu34izga tramadol dogs information dosage , -- what is in tramadol 50mg hcl?
- 3 , http://www.box.net/shared/e4iv8mgeby is online tramadol illegal , http://www.veoh.com/forum/showthread.php/1178-Tramadol-side-effects-(October-2010) side effects of suddenly tramadol stopping , http://www.veoh.com/forum/showthread.php/1189-Buy-tramadol-(October-2010) buy capsules tramadol , http://www.box.net/shared/66hiimo6bv AMBIEN Cash Delivery , http://www.box.net/shared/kb3lt2havi tramadol 50 drug information , http://www.box.net/shared/m8f0kiq7us Order LEVITRA No Prescription Overnight , http://www.box.net/shared/ac8gi87114 tramadol order online , http://www.box.net/shared/04m298c5bs buy tramadol medication cheap 35009 , http://www.box.net/shared/pdx37utzxi all about tramadol feather , http://www.box.net/shared/1vat54mjuf Where Can I Order XANAX No Prescription , -- from tramadol dreampharm buy?
- 4 , http://www.box.net/shared/fez72sgmt9 FIORICET Buy In Italy All Us Regions Overnight Delivery , http://www.veoh.com/forum/showthread.php/1165-Cheap-tramadol-(October-2010) cheap prescriptions tramadol online , http://www.box.net/shared/055v2t0i9v cheapest tramadol next day delivery , http://www.box.net/shared/j8hc46365n tramadol versus pregnancy vicodin , http://www.box.net/shared/kqlcek3ndn Buy TRAMADOL Next Day Cod , http://www.box.net/shared/29dn835tva VALIUM With No Prior Prescription , http://www.box.net/shared/1thrs9b14b tramadol by order 4pm , http://www.box.net/shared/52sixlzgcd TRAMADOL Capsules , http://www.box.net/shared/v6jdz2n6v4 SOMA Drug , http://www.box.net/shared/77jdsceip5 No Prescription XANAX Cash On Delivery , -- order tramadols?
- 4 , http://www.box.net/shared/biq4se2j36 Buy SOMA Er C O D , http://www.veoh.com/forum/showthread.php/1183-Tramadol-dosage-(October-2010) tramadol fatal dosage , http://www.box.net/shared/bsghcixf88 Real Buy CIALIS Online , http://www.box.net/shared/osuiavetrc what is generic tramadol for , http://trig.com/kortneywilburn/biography online tramadol prescription , http://trig.com/katheytressa/biography tramadol 50mg side effects , http://trig.com/ingestacey/biography overseas generic tramadol , http://www.box.net/shared/44irvnvrsa 120 cod tablet tramadol , http://www.veoh.com/forum/showthread.php/1192-Tramadol-cod-(October-2010) tramadol buy cod , http://trig.com/rhettmarcella/biography tramadol cod cash on delivery , -- side effects tramadol of?
- 3 , http://www.box.net/shared/u1824aja1t Buying TRAMADOL Overnight , http://www.box.net/shared/yxpgbhe198 Find Cheap Buy Online CIALIS , http://www.box.net/shared/p0alg9s5fj Cheap AMBIEN Prescriptions Online , http://www.veoh.com/forum/showthread.php/1195-Order-tramadol-(October-2010) order cheap generic tramadol online , http://www.box.net/shared/zt3akfzc9v ADDERALL Sverige With Cash On Delivery , http://www.veoh.com/forum/showthread.php/1185-Cheap-tramadol-(October-2010) buy cheap tramadol omw , http://www.box.net/shared/zuu1xxlcb7 ULTRAM No Doctors Prescription , http://www.box.net/shared/kkn3l7bjh8 Purchase Rx VALIUM , http://trig.com/signejanessa/biography buy tramadol by order 3pm , http://www.box.net/shared/ib75qv28ck Where Can I Purchase FIORICET Without A Prescription , -- How Much CIALIS To Kill?
- 3 , http://www.box.net/shared/ypmege6s50 side effects of tramadol hydrochloride , http://trig.com/elzadamian/biography picture of tramadol 50mg hcl , http://www.box.net/shared/m3h1ud5y92 Purchase XANAX On Line Without A Rx , http://www.box.net/shared/a0g09mi9ta tramadol side effects and maximum dose , http://www.box.net/shared/06ullqaxl0 VIAGRA No Prescription Overnight Delivery , http://www.box.net/shared/z8bfx4nhuy Fe Dex VIAGRA Without Priscription , http://www.veoh.com/forum/showthread.php/1175-Tramadol-prescription-(October-2010) cheap tramadol prescription no , http://www.box.net/shared/6cev6jaf3t tramadol pain control , http://www.box.net/shared/8lsga07ttf fedex overnight delivery codeine ultram tramadol , http://www.box.net/shared/ov5h9du2gb using paypal to tramadol buy , -- what is tramadol hcl mg 50?
- 2 , http://www.box.net/shared/ias3cn35l0 cheap priced tramadol , http://www.veoh.com/forum/showthread.php/1191-Tramadol-prescription-(October-2010) prescriptions tramadol instructions , http://www.box.net/shared/i2di459u1y FIORICET 400mg Tablets , http://www.box.net/shared/z3y4bqtxr8 SOMA Overnight , http://www.box.net/shared/ioyjzm3vkp doses of tramadol , http://www.box.net/shared/ko3vqyhmid cost of tramadol , http://www.box.net/shared/t3ob7209fq Order Rx CODEINE Without , http://www.veoh.com/forum/showthread.php/1171-Buy-tramadol-(October-2010) buy prescription without tramadol , http://www.box.net/shared/yfgijjjb36 Cheap LEVITRA Watson , http://www.box.net/shared/hbh665ovas CIALIS Purchase On Line No Prescription Fast Delivery , -- tramadol cost?
- 3 , http://www.box.net/shared/g9fpy26mlr tramadol on line no prescription , http://www.veoh.com/forum/showthread.php/1169-Tramadol-online-(October-2010) buy tramadol online medical no records , http://www.box.net/shared/ydfoaafn8i cheap tramadol buy online , http://www.veoh.com/forum/showthread.php/1193-Tramadol-side-effects-(October-2010) tramadol side effects on animals , http://www.veoh.com/forum/showthread.php/1179-Order-tramadol-(October-2010) tramadol bipolar and disorder , http://www.box.net/shared/axe3oktbc3 Purchase TRAMADOL Online No Membership , http://www.box.net/shared/9ola22l010 buy online no tramadol prescription , http://www.box.net/shared/54iifxugl0 buy cheap tramadol o , http://www.box.net/shared/no3g2msqcj FIORICET 500 Mg Tablet , http://www.box.net/shared/9at2cz6sd9 FIORICET Buy In Ma Libera Prescrizione Di Droga , -- Order FIORICET Rx?
- 2 , http://www.box.net/shared/3tyt2rsrn7 Order XANAX Online in Minnesota , http://www.box.net/shared/os1b723opk tramadol ic hcl-acetaminophen , http://www.box.net/shared/ooaesfkujg CODEINE Withdrawal Symptoms , http://www.box.net/shared/5lx4oigfuj XANAX 500 Mg Side Effects , http://www.box.net/shared/8j0hvhu4ge Or AMBIEN No Rx Needed Cod Accepted , http://www.box.net/shared/xb4q3vbpr9 cheap tramadol no prescription 180ct , http://www.box.net/shared/kcg9htfuh8 VIAGRA Prescription Coupon , http://www.box.net/shared/i77thrn7jy canada pharmacy tramadol , http://www.box.net/shared/k33ma8cvdy Us VIAGRA Cod Sales , http://www.box.net/shared/71e1r5f15g Where To Purchase Generic SOMA Online Without A Rx , -- VIAGRA Doctor Consult?
- 4 , http://www.box.net/shared/ms767ginby SOMA Without Usa Cheap , http://www.box.net/shared/54f5m77rnp Purchase AMBIEN Er Free Consultation , http://trig.com/alessandramona/biography veterinary dosage tramadol for , http://www.box.net/shared/gqe7jmespc Buy VALIUM And Pay By Cod , -- Order Online SOMA Rxs?
- 4 , http://www.veoh.com/forum/showthread.php/1176-Tramadol-cod-(October-2010) switching from vicodin to tramadol , http://trig.com/jenifferarnetta/biography buy tramadol online o c d , http://www.box.net/shared/cjp8hfn3be Buy Generic ADDERALL in Uk Online Without A Prescription , http://www.veoh.com/forum/showthread.php/1197-Tramadol-generic-(October-2010) generic versions of tramadol , http://www.box.net/shared/rnqmokpg69 dog dosage tramadol , http://www.box.net/shared/ahakoaft1l side effects tramadol dog , http://www.veoh.com/forum/showthread.php/1187-Tramadol-online-(October-2010) tramadol medication online , http://trig.com/vaniashani/biography tramadol withot a prescription , http://www.box.net/shared/zihn635yns Purchasing TRAMADOL Overnight Delivery , http://www.box.net/shared/kaq9mlp20t VIAGRA Without Rx Cod , -- Discount ADDERALL Now?
- 2 , http://www.veoh.com/forum/showthread.php/1181-Tramadol-generic-(October-2010) for generic tramadol , http://www.veoh.com/forum/showthread.php/1190-Tramadol-hcl-(October-2010) what tramadol is hcl , http://www.box.net/shared/nfu3k9ozru Buy ULTRAM By C O D , http://trig.com/marleenmariann/biography tramadol online cheap , http://www.veoh.com/forum/showthread.php/1198-Tramadol-dosage-(October-2010) tramadol hcl dosage , http://www.veoh.com/forum/showthread.php/1172-Tramadol-hcl-(October-2010) tramadol hcl , http://www.box.net/shared/yvhnkzo4x5 Buy AMBIEN in California , http://www.box.net/shared/eccbgnog7u tramadol vicodin taken together , http://www.box.net/shared/acn7y8ded4 tramadol pain pill , http://www.box.net/shared/cqyu34izga tramadol canine dosages , -- Order AMBIEN Cod Shipping?
- 3 , http://www.box.net/shared/e4iv8mgeby tramadol online prescriptions free viagra , http://www.veoh.com/forum/showthread.php/1178-Tramadol-side-effects-(October-2010) tramadol side effects paranoia , http://www.veoh.com/forum/showthread.php/1189-Buy-tramadol-(October-2010) tramadol pay buy cod , http://www.box.net/shared/66hiimo6bv Purchase Generic AMBIEN , http://www.box.net/shared/kb3lt2havi urine drug detection times for tramadol , http://www.box.net/shared/m8f0kiq7us Buy LEVITRA Online Buy LEVITRA , http://www.box.net/shared/ac8gi87114 tramadol order pharmacy , http://www.box.net/shared/04m298c5bs cheap rss tramadol feed , http://www.box.net/shared/pdx37utzxi all about tramadol easterly , http://www.box.net/shared/1vat54mjuf Buy XANAX in Uk At Arizona , -- tramadol dogs side effects?
- 4 , http://www.box.net/shared/fez72sgmt9 Order FIORICET Com , http://www.veoh.com/forum/showthread.php/1165-Cheap-tramadol-(October-2010) cheap day next tramadol , http://www.box.net/shared/055v2t0i9v buy tramadol online pharmacy saturday delivery , http://www.box.net/shared/j8hc46365n how many tramadol equals one vicodin , http://www.box.net/shared/kqlcek3ndn Prescript Ion TRAMADOL Cod , http://www.box.net/shared/29dn835tva How To Purchase VALIUM Online , http://www.box.net/shared/1thrs9b14b order tramadol from mexico , http://www.box.net/shared/52sixlzgcd Buy TRAMADOL Xl , http://www.box.net/shared/v6jdz2n6v4 Order SOMA With No Rx , http://www.box.net/shared/77jdsceip5 XANAX Tablets 200 Mcg , -- TRAMADOL With No Perscription And Delivered Over Night?
- 3 , http://www.box.net/shared/biq4se2j36 SOMA Buy In Usa C O D No Prescription , http://www.veoh.com/forum/showthread.php/1183-Tramadol-dosage-(October-2010) tramadol canine dosage , http://www.box.net/shared/bsghcixf88 Purchase CIALIS In New Jersey , http://www.box.net/shared/osuiavetrc tramadol generic 25mg , http://trig.com/kortneywilburn/biography tramadol online no prior , http://trig.com/katheytressa/biography side effects palpitations tramadol , http://trig.com/ingestacey/biography generic ultram tramadol , http://www.box.net/shared/44irvnvrsa tramadol time release tablets , http://www.veoh.com/forum/showthread.php/1192-Tramadol-cod-(October-2010) tramadol cod fedex , http://trig.com/rhettmarcella/biography tramadol cod order , -- tramadol online to florida mastercard with?
- 4 , http://www.box.net/shared/u1824aja1t Ordering TRAMADOL Er Online Without Prescription , http://www.box.net/shared/yxpgbhe198 Order CIALIS in Ny , http://www.box.net/shared/p0alg9s5fj AMBIEN Buy In Ger Online No Prescription Fast Delivery , http://www.veoh.com/forum/showthread.php/1195-Order-tramadol-(October-2010) order mg 100 tramadol , http://www.box.net/shared/zt3akfzc9v Purchase ADDERALL Tablets Without Rx , http://www.veoh.com/forum/showthread.php/1185-Cheap-tramadol-(October-2010) tramadol discount cheap , http://www.box.net/shared/zuu1xxlcb7 Purchase ULTRAM Pay Pal Online Without Rx , http://www.box.net/shared/kkn3l7bjh8 How To Order VALIUM Online Without A Rx , http://trig.com/signejanessa/biography is ordering tramadol online illigal , http://www.box.net/shared/ib75qv28ck Purchase FIORICET Online Without Prescription , -- ADDERALL No Prescription Needed Free Pills?
- 3 , http://www.box.net/shared/ypmege6s50 side effects medication tramadol , http://trig.com/elzadamian/biography tramadol hcl acetaminophen car , http://www.box.net/shared/m3h1ud5y92 XANAX Overnight Delivery Saturday , http://www.box.net/shared/a0g09mi9ta tramadol side effects in humans , http://www.box.net/shared/06ullqaxl0 VIAGRA Buy in Fra No Prescription Required , http://www.box.net/shared/z8bfx4nhuy Buy VIAGRA Us Online , http://www.veoh.com/forum/showthread.php/1175-Tramadol-prescription-(October-2010) discount tramadol no prescription , http://www.box.net/shared/6cev6jaf3t tramadol and aspirin for lyme pain , http://www.box.net/shared/8lsga07ttf tramadol cod no prescription , http://www.box.net/shared/ov5h9du2gb buy prescription without tramadol , -- buy cheap tramadol on?
- 4 , http://www.box.net/shared/ias3cn35l0 best price for tramadol , http://www.veoh.com/forum/showthread.php/1191-Tramadol-prescription-(October-2010) order without tramadol prescription , http://www.box.net/shared/i2di459u1y FIORICET Without A Prescription Or Doctor , http://www.box.net/shared/z3y4bqtxr8 Purchase SOMA Pay Pal Without Prescription , http://www.box.net/shared/ioyjzm3vkp tramadol dose in canines , http://www.box.net/shared/ko3vqyhmid average cost of tramadol , http://www.box.net/shared/t3ob7209fq Order CODEINE in Louisiana , http://www.veoh.com/forum/showthread.php/1171-Buy-tramadol-(October-2010) buy online no tramadol prescription , http://www.box.net/shared/yfgijjjb36 LEVITRA 180 Tablets , http://www.box.net/shared/hbh665ovas Side Effect CIALIS , -- Buy LEVITRA Over The Counter Cod Overnight?
- 4 , http://www.box.net/shared/g9fpy26mlr cheap tramadol saturday no delivery prescription , http://www.veoh.com/forum/showthread.php/1169-Tramadol-online-(October-2010) tramadol online o c d , http://www.box.net/shared/ydfoaafn8i buy tramadol 800 , http://www.veoh.com/forum/showthread.php/1193-Tramadol-side-effects-(October-2010) side effects tramadol from , http://www.veoh.com/forum/showthread.php/1179-Order-tramadol-(October-2010) ordering tramadol canada to , http://www.box.net/shared/axe3oktbc3 TRAMADOL Habit Forming , http://www.box.net/shared/9ola22l010 buy tramadol online , http://www.box.net/shared/54iifxugl0 cheap tramadol rss feed , http://www.box.net/shared/no3g2msqcj FIORICET Cod Saturday , http://www.box.net/shared/9at2cz6sd9 FIORICET Online With Overnight Delivery , -- Buy FIORICET Online in Oregon?
- 2 , http://www.box.net/shared/3tyt2rsrn7 Buy XANAX in The Uk , http://www.box.net/shared/os1b723opk tramadol hcl 50mg tab cara , http://www.box.net/shared/ooaesfkujg Order CODEINE Rx , http://www.box.net/shared/5lx4oigfuj XANAX And No Prescription , http://www.box.net/shared/8j0hvhu4ge AMBIEN Effectiveness , http://www.box.net/shared/xb4q3vbpr9 mainstreet tramadol no prescription , http://www.box.net/shared/kcg9htfuh8 Purchase Online VIAGRA Sale VIAGRA Cinisello Balsamo With No Prescription , http://www.box.net/shared/i77thrn7jy tramadol fast from canada fast shipping , http://www.box.net/shared/k33ma8cvdy VIAGRA Without Perscription , http://www.box.net/shared/71e1r5f15g SOMA Buy in Uk Without Prescrs free Pills , -- How To Buy XANAX Er Online Without Prescription?
- 2 , http://community.fox8.com/service/displayKickPlace.kickAction?u=27629268&as=92757 Hd Quality Get Him to the Greek Watch , http://community.fox8.com/service/displayKickPlace.kickAction?u=27629360&as=92757 Quotes From The Movie The Town , http://community.fox8.com/service/displayDiscussionThreads.kickAction?as=92757&w=221030&d=597814 Free Download Vampires Suck , http://community.fox8.com/service/displayDiscussionThreads.kickAction?as=92757&w=221030&d=597754 Watch Eclipse Movie Hd , http://www.formspring.me/wallstreetmoney Downloads Wall Street: Money Never Sleeps , http://community.fox8.com/service/displayKickPlace.kickAction?u=27629221&as=92757 How To Download The A-Team Movie , http://community.fox8.com/service/displayDiscussionThreads.kickAction?as=92757&w=221030&d=597795 Alice in Wonderland Movie Blog , http://community.fox8.com/service/displayKickPlace.kickAction?u=27629419&as=92757 Illegal Killers Film Download , http://www.formspring.me/1residentevil Watch Resident Evil: Afterlife Full Movie Good Quality , http://community.fox8.com/service/displayKickPlace.kickAction?u=27629322&as=92757 Avatar Direct Download , -- Vampires Suck Movie Yahoo?
- 2 , http://community.fox8.com/service/displayDiscussionThreads.kickAction?as=92757&w=221030&d=597737 The Whole Film Of Robin Hood , http://community.fox8.com/service/displayDiscussionThreads.kickAction?as=92757&w=221030&d=597818 Download Repo Men Movie Now , http://community.fox8.com/service/displayKickPlace.kickAction?u=27629215&as=92757 Download Whole The Last Airbender Movie , http://community.fox8.com/service/displayDiscussionThreads.kickAction?as=92757&w=221030&d=597750 Predators Movie Good Quality , http://community.fox8.com/service/displayDiscussionThreads.kickAction?as=92757&w=221030&d=597798 Real Step Up 3D Film Download , http://community.fox8.com/service/displayKickPlace.kickAction?u=27629484&as=92757 Download Ocean's Eleven Movie In Divx Formats , http://community.fox8.com/service/displayKickPlace.kickAction?u=27629282&as=92757 Pre Buy Machete Movie , http://community.fox8.com/service/displayDiscussionThreads.kickAction?as=92757&w=221030&d=597746 Download The The A-Team Online , http://community.fox8.com/service/displayDiscussionThreads.kickAction?as=92757&w=221030&d=597766 Where Can I Buy Red The Film , http://community.fox8.com/service/displayDiscussionThreads.kickAction?as=92757&w=221030&d=597810 Ocean's Eleven Movie In High Quality , -- Red Movie Quotes?
- 2 , http://community.fox8.com/service/displayDiscussionThreads.kickAction?as=92757&w=221030&d=597786 The Clash of the Titans Film , http://community.fox8.com/service/displayKickPlace.kickAction?u=27629369&as=92757 Whole Movie Of Frozen , http://community.fox8.com/service/displayDiscussionThreads.kickAction?as=92757&w=221030&d=597792 Cheapest Killers Film , http://www.formspring.me/1thelastairbend The Last Airbender Film Download Blogspot , http://community.fox8.com/service/displayKickPlace.kickAction?u=27629468&as=92757 Watch Complete Sex and the City 2 Film , http://community.fox8.com/service/displayDiscussionThreads.kickAction?as=92757&w=221030&d=597770 Downloadable The Sorcerer's Apprentice Film , http://community.fox8.com/service/displayDiscussionThreads.kickAction?as=92757&w=221030&d=597794 Leap Year Online Divx , http://community.fox8.com/service/displayKickPlace.kickAction?u=27629440&as=92757 Websites To Watch Shrek Forever After The Film , http://community.fox8.com/service/displayDiscussionThreads.kickAction?as=92757&w=221030&d=597790 Green Zone Movie Soundtrack , http://www.formspring.me/1predators Download Predators Films , -- Download Green Zone Movie In Divx Formats?
- 3 , http://www.formspring.me/2eclipse Were Can I Watch Eclipse The Movie , http://www.formspring.me/movieironman2 Iron Man 2 Film Watch Full Film , http://community.fox8.com/service/displayKickPlace.kickAction?u=27629288&as=92757 Download The Movie Centurion Online , http://community.fox8.com/service/displayDiscussionThreads.kickAction?as=92757&w=221030&d=597804 Whole Sex and the City 2 Film , http://community.fox8.com/service/displayKickPlace.kickAction?u=27629455&as=92757 Websites To Watch Devil The Movie , http://community.fox8.com/service/displayDiscussionThreads.kickAction?as=92757&w=221030&d=597774 Download Avatar Movie In Hd , http://community.fox8.com/service/displayDiscussionThreads.kickAction?as=92757&w=221030&d=597732 Download The Wall Street: Money Never Sleeps Film , http://community.fox8.com/service/displayDiscussionThreads.kickAction?as=92757&w=221030&d=597758 Where Can I Download Get Him to the Greek Trailer , http://www.formspring.me/1salt Watch Whole Movie Of Salt , http://community.fox8.com/service/displayKickPlace.kickAction?u=27629339&as=92757 The Switch Movie Hd Download , -- The Eclipse Full Film?
- 3 , http://community.fox8.com/service/displayKickPlace.kickAction?u=27629453&as=92757 Download Step Up 3D Film 2010 , http://community.fox8.com/service/displayDiscussionThreads.kickAction?as=92757&w=221030&d=597734 The Iron Man 2 Full Movie Online , http://community.fox8.com/service/displayDiscussionThreads.kickAction?as=92757&w=221030&d=597741 Free Resident Evil: Afterlife Online , http://community.fox8.com/service/displayKickPlace.kickAction?u=27629527&as=92757 Watch Repo Men Film In High Quality , http://community.fox8.com/service/displayDiscussionThreads.kickAction?as=92757&w=221030&d=597772 Piranha Film 2010 , http://www.formspring.me/movietoystory3 Watch Entire Toy Story 3 Film , http://www.formspring.me/1theexpendables Download The Expendables For Ipod , http://community.fox8.com/service/displayKickPlace.kickAction?u=27629520&as=92757 Download The Whole Up in the Air Movie , http://www.formspring.me/1howtotrainyour Download Movie How to Train Your Dragon Divx , http://community.fox8.com/service/displayKickPlace.kickAction?u=27629470&as=92757 2012 Film Download High Quality , -- [[Download Or Watch Online Resident Evil: Afterlife The Movie In High Quality]]
- 4 , http://community.fox8.com/service/displayKickPlace.kickAction?u=27629078&as=92757 Download Wall Street: Money Never Sleeps 1 , http://community.fox8.com/service/displayDiscussionThreads.kickAction?as=92757&w=221030&d=597736 Download The Expendables Film Score , http://community.fox8.com/service/displayKickPlace.kickAction?u=27629381&as=92757 Watch Clash of the Titans 2009 Full Movie , http://community.fox8.com/service/displayDiscussionThreads.kickAction?as=92757&w=221030&d=597784 Where To Watch Frozen Film , http://community.fox8.com/service/displayDiscussionThreads.kickAction?as=92757&w=221030&d=597738 Download Salt Film In Hd Quality , http://community.fox8.com/service/displayDiscussionThreads.kickAction?as=92757&w=221030&d=597800 Devil Release , http://community.fox8.com/service/displayKickPlace.kickAction?u=27629167&as=92757 Salt Movie To Download Full , http://community.fox8.com/service/displayDiscussionThreads.kickAction?as=92757&w=221030&d=597748 Cheapest Prince of Persia: The Sands of Time Film , http://community.fox8.com/service/displayKickPlace.kickAction?u=27629446&as=92757 Dinner for Schmucks Movie Theatre , http://community.fox8.com/service/displayKickPlace.kickAction?u=27629297&as=92757 Red Film In Hd , -- [[Download Prince of Persia: The Sands of Time Film In Ipod Quality]]
- 4 , http://community.fox8.com/service/displayKickPlace.kickAction?u=27629508&as=92757 The Vampires Suck Full Movie Online , http://community.fox8.com/service/displayDiscussionThreads.kickAction?as=92757&w=221030&d=597752 Grown Ups Video Download , http://community.fox8.com/service/displayKickPlace.kickAction?u=27628981&as=92757 Inception Film Hd Download , http://community.fox8.com/service/displayKickPlace.kickAction?u=27629514&as=92757 Download The Social Network Film Legally , http://community.fox8.com/service/displayKickPlace.kickAction?u=27629256&as=92757 Website To Watch Knight and Day The Film , http://community.fox8.com/service/displayKickPlace.kickAction?u=27629435&as=92757 Where To Buy Alice in Wonderland Movie , http://community.fox8.com/service/displayDiscussionThreads.kickAction?as=92757&w=221030&d=597802 Splice Imdb , http://community.fox8.com/service/displayDiscussionThreads.kickAction?as=92757&w=221030&d=597806 2012 Film Wiki , http://community.fox8.com/service/displayKickPlace.kickAction?u=27629387&as=92757 Full I Spit on Your Grave Movie Downloads , http://community.fox8.com/service/displayKickPlace.kickAction?u=27629418&as=92757 Green Zone Film Sales , -- Websites To Watch The Social Network The Movie?
- 4 , http://community.fox8.com/service/displayDiscussionThreads.kickAction?as=92757&w=221030&d=597762 Machete In In Hd - Hq - Dvd - Divx - Ipod - Pda Formats , http://www.formspring.me/1centurion The Whole Centurion Movie Online , http://community.fox8.com/service/displayKickPlace.kickAction?u=27629477&as=92757 The Losers Movie , http://community.fox8.com/service/displayKickPlace.kickAction?u=27629300&as=92757 Download And Watch Despicable Me Online , http://community.fox8.com/service/displayKickPlace.kickAction?u=27629161&as=92757 Downloadable Robin Hood Movie , http://community.fox8.com/service/displayKickPlace.kickAction?u=27629237&as=92757 Full Predators Movie In High Quality , http://community.fox8.com/service/displayKickPlace.kickAction?u=27629201&as=92757 Watch Resident Evil: Afterlife Movie Good Quality , http://community.fox8.com/service/displayKickPlace.kickAction?u=27629427&as=92757 Films Leap Year , http://www.formspring.me/1knightandday Hd Dvd Knight and Day Online , http://www.formspring.me/movieinception Inception Movie Release , -- Downloadable Robin Hood Film?
- 2 , http://community.fox8.com/service/displayDiscussionThreads.kickAction?as=92757&w=221030&d=597797 Watch Dinner for Schmucks 2010 Full Movie , http://community.fox8.com/service/displayDiscussionThreads.kickAction?as=92757&w=221030&d=597768 Despicable Me Full Lenght Movie In Pda Format , http://community.fox8.com/service/displayKickPlace.kickAction?u=27629245&as=92757 Hi-def Quality Grown Ups Download , http://www.formspring.me/1machete Watch Machete Full Film High Quality , http://community.fox8.com/service/displayKickPlace.kickAction?u=27629128&as=92757 Watch Iron Man 2 Film , http://www.formspring.me/1princeofpersia Where Can I Download Prince of Persia: The Sands of Time Online , http://community.fox8.com/service/displayDiscussionThreads.kickAction?as=92757&w=221030&d=597778 Watch The Switch Megavideo , http://community.fox8.com/service/displayDiscussionThreads.kickAction?as=92757&w=221030&d=597729 Download The Whole Inception Film , http://community.fox8.com/service/displayDiscussionThreads.kickAction?as=92757&w=221030&d=597728 Toy Story 3 Information , http://www.formspring.me/1thekaratekid The Karate Kid Online Film , -- Download Or Watch Online Despicable Me The Movie In High Quality?
- 4 , http://community.fox8.com/service/displayDiscussionThreads.kickAction?as=92757&w=221030&d=597817 Watch Up in the Air Film In High Quality , http://community.fox8.com/service/displayDiscussionThreads.kickAction?as=92757&w=221030&d=597816 Full The Social Network Movie Downloads , http://community.fox8.com/service/displayDiscussionThreads.kickAction?as=92757&w=221030&d=597796 Watch Shrek Forever After Movie Good Quality , http://community.fox8.com/service/displayDiscussionThreads.kickAction?as=92757&w=221030&d=597808 The Losers Review , http://community.fox8.com/service/displayKickPlace.kickAction?u=27629233&as=92757 Where To Buy Prince of Persia: The Sands of Time Movie , http://community.fox8.com/service/displayKickPlace.kickAction?u=27629331&as=92757 Downloads Legend of the Guardians: The Owls of Ga'Hoole , http://www.formspring.me/1robinhood Download Robin Hood Music , http://community.fox8.com/service/displayDiscussionThreads.kickAction?as=92757&w=221030&d=597764 Download Centurion 1 , http://community.fox8.com/service/displayDiscussionThreads.kickAction?as=92757&w=221030&d=597776 Cinematic Legend of the Guardians: The Owls of Ga'Hoole Download , http://www.formspring.me/1gethimthegreek Want To Watch Get Him to the Greek Movie , -- [[Watch Free Legend of the Guardians: The Owls of Ga'Hoole]]
- 4 , http://community.fox8.com/service/displayKickPlace.kickAction?u=27629268&as=92757 Match Get Him to the Greek Hd Download , http://community.fox8.com/service/displayKickPlace.kickAction?u=27629360&as=92757 The Town Dvdrip , http://community.fox8.com/service/displayDiscussionThreads.kickAction?as=92757&w=221030&d=597814 Where Can I Buy Vampires Suck Movie , http://community.fox8.com/service/displayDiscussionThreads.kickAction?as=92757&w=221030&d=597754 Watch Full Film Of Eclipse Online , http://www.formspring.me/wallstreetmoney Wall Street: Money Never Sleeps Online Film , http://community.fox8.com/service/displayKickPlace.kickAction?u=27629221&as=92757 The A-Team Film Watch Films , http://community.fox8.com/service/displayDiscussionThreads.kickAction?as=92757&w=221030&d=597795 Download Alice in Wonderland New Movie , http://community.fox8.com/service/displayKickPlace.kickAction?u=27629419&as=92757 Free Download Of Killers , http://www.formspring.me/1residentevil Resident Evil: Afterlife Film Watch Films , http://community.fox8.com/service/displayKickPlace.kickAction?u=27629322&as=92757 Avatar Movie , -- [[How To Watch Wall Street: Money Never Sleeps Movie]]
- 2 , http://community.fox8.com/service/displayDiscussionThreads.kickAction?as=92757&w=221030&d=597737 Download Movie Robin Hood Pda , http://community.fox8.com/service/displayDiscussionThreads.kickAction?as=92757&w=221030&d=597818 Repo Men Film Posters , http://community.fox8.com/service/displayKickPlace.kickAction?u=27629215&as=92757 The Last Airbender Movie Download , http://community.fox8.com/service/displayDiscussionThreads.kickAction?as=92757&w=221030&d=597750 Predators Film Songs , http://community.fox8.com/service/displayDiscussionThreads.kickAction?as=92757&w=221030&d=597798 Watch Movie Of Step Up 3D , http://community.fox8.com/service/displayKickPlace.kickAction?u=27629484&as=92757 Ocean's Eleven Movie Screenshots , http://community.fox8.com/service/displayKickPlace.kickAction?u=27629282&as=92757 Machete Dvds , http://community.fox8.com/service/displayDiscussionThreads.kickAction?as=92757&w=221030&d=597746 The A-Team Full Movie , http://community.fox8.com/service/displayDiscussionThreads.kickAction?as=92757&w=221030&d=597766 Website To Watch Red The Movie , http://community.fox8.com/service/displayDiscussionThreads.kickAction?as=92757&w=221030&d=597810 Ocean's Eleven Film Opening , -- Download Robin Hood Movie Online?
- 4 , http://community.fox8.com/service/displayDiscussionThreads.kickAction?as=92757&w=221030&d=597786 Clash of the Titans Movie Location , http://community.fox8.com/service/displayKickPlace.kickAction?u=27629369&as=92757 Frozen Film Part , http://community.fox8.com/service/displayDiscussionThreads.kickAction?as=92757&w=221030&d=597792 Downloadable Films Killers Online , http://www.formspring.me/1thelastairbend Watch The Entire The Last Airbender Movie , http://community.fox8.com/service/displayKickPlace.kickAction?u=27629468&as=92757 Watch Sex and the City 2 Movie 2010 , http://community.fox8.com/service/displayDiscussionThreads.kickAction?as=92757&w=221030&d=597770 Download The The Sorcerer's Apprentice Online , http://community.fox8.com/service/displayDiscussionThreads.kickAction?as=92757&w=221030&d=597794 Were Can I Download Leap Year The Movie , http://community.fox8.com/service/displayKickPlace.kickAction?u=27629440&as=92757 Download Shrek Forever After Film In Dvd Quality , http://community.fox8.com/service/displayDiscussionThreads.kickAction?as=92757&w=221030&d=597790 Green Zone Film Still , http://www.formspring.me/1predators Predators Movie Quotes , -- Download Leap Year Full Movie Free?
- 3 , http://www.formspring.me/2eclipse Eclipse Full Dvd Films , http://www.formspring.me/movieironman2 Watch Iron Man 2 The Movie Full Version , http://community.fox8.com/service/displayKickPlace.kickAction?u=27629288&as=92757 Download The Film The Centurion , http://community.fox8.com/service/displayDiscussionThreads.kickAction?as=92757&w=221030&d=597804 Hd Dvd Sex and the City 2 , http://community.fox8.com/service/displayKickPlace.kickAction?u=27629455&as=92757 Devil Film In Hd , http://community.fox8.com/service/displayDiscussionThreads.kickAction?as=92757&w=221030&d=597774 Avatar Film Streaming High Quality , http://community.fox8.com/service/displayDiscussionThreads.kickAction?as=92757&w=221030&d=597732 High Quality Wall Street: Money Never Sleeps Movie , http://community.fox8.com/service/displayDiscussionThreads.kickAction?as=92757&w=221030&d=597758 Were Can I Download Get Him to the Greek The Movie , http://www.formspring.me/1salt Download The Salt Dvd , http://community.fox8.com/service/displayKickPlace.kickAction?u=27629339&as=92757 Download The Switch Film In Hd Formats , -- Watch The Switch Movie 2010?
- 4 , http://community.fox8.com/service/displayKickPlace.kickAction?u=27629453&as=92757 Download Film Step Up 3D Dvdrip , http://community.fox8.com/service/displayDiscussionThreads.kickAction?as=92757&w=221030&d=597734 How To Watch Iron Man 2 The Film , http://community.fox8.com/service/displayDiscussionThreads.kickAction?as=92757&w=221030&d=597741 The Full Resident Evil: Afterlife Film Online , http://community.fox8.com/service/displayKickPlace.kickAction?u=27629527&as=92757 Repo Men Movie Rating , http://community.fox8.com/service/displayDiscussionThreads.kickAction?as=92757&w=221030&d=597772 Hi-def Quality Piranha Download , http://www.formspring.me/movietoystory3 Full Toy Story 3 Movie Downloads , http://www.formspring.me/1theexpendables Download The Expendables Movie Bootleg , http://community.fox8.com/service/displayKickPlace.kickAction?u=27629520&as=92757 Up in the Air Full Dvd Films , http://www.formspring.me/1howtotrainyour Watch Full Film Of How to Train Your Dragon Online , http://community.fox8.com/service/displayKickPlace.kickAction?u=27629470&as=92757 2012 Film Posters , -- Download The 2012 Game?
- 3 , http://community.fox8.com/service/displayKickPlace.kickAction?u=27629078&as=92757 Buy Wall Street: Money Never Sleeps Hq - Dvd - Divx - Ipod - Pda Formats , http://community.fox8.com/service/displayDiscussionThreads.kickAction?as=92757&w=221030&d=597736 The Expendables Online , http://community.fox8.com/service/displayKickPlace.kickAction?u=27629381&as=92757 Watch Complete Clash of the Titans Movie , http://community.fox8.com/service/displayDiscussionThreads.kickAction?as=92757&w=221030&d=597784 Hd Dvd Frozen , http://community.fox8.com/service/displayDiscussionThreads.kickAction?as=92757&w=221030&d=597738 Watch Salt Movie High Quality , http://community.fox8.com/service/displayDiscussionThreads.kickAction?as=92757&w=221030&d=597800 Devil Movie Imbd , http://community.fox8.com/service/displayKickPlace.kickAction?u=27629167&as=92757 Dvd Salt Online , http://community.fox8.com/service/displayDiscussionThreads.kickAction?as=92757&w=221030&d=597748 Watch The Prince of Persia: The Sands of Time Online , http://community.fox8.com/service/displayKickPlace.kickAction?u=27629446&as=92757 Watch The Dinner for Schmucks The Film , http://community.fox8.com/service/displayKickPlace.kickAction?u=27629297&as=92757 Download Red Movie Bootleg , -- [[Cheap Wall Street: Money Never Sleeps Film]]
- 3 , http://community.fox8.com/service/displayKickPlace.kickAction?u=27629508&as=92757 Real Vampires Suck Film Download , http://community.fox8.com/service/displayDiscussionThreads.kickAction?as=92757&w=221030&d=597752 Grown Ups Movie Clothing , http://community.fox8.com/service/displayKickPlace.kickAction?u=27628981&as=92757 Watch Inception Movie In High Quality , http://community.fox8.com/service/displayKickPlace.kickAction?u=27629514&as=92757 Watching The Social Network Online , http://community.fox8.com/service/displayKickPlace.kickAction?u=27629256&as=92757 Download Movie Knight and Day Divx , http://community.fox8.com/service/displayKickPlace.kickAction?u=27629435&as=92757 Alice in Wonderland Release , http://community.fox8.com/service/displayDiscussionThreads.kickAction?as=92757&w=221030&d=597802 About Splice Film , http://community.fox8.com/service/displayDiscussionThreads.kickAction?as=92757&w=221030&d=597806 The 2012 Film Online , http://community.fox8.com/service/displayKickPlace.kickAction?u=27629387&as=92757 Order I Spit on Your Grave Movie , http://community.fox8.com/service/displayKickPlace.kickAction?u=27629418&as=92757 Green Zone Film Actors , -- The Whole Film Of 2012?
- 4 , http://community.fox8.com/service/displayDiscussionThreads.kickAction?as=92757&w=221030&d=597762 Watch Machete Movie Stream , http://www.formspring.me/1centurion The Full Film Of Centurion , http://community.fox8.com/service/displayKickPlace.kickAction?u=27629477&as=92757 Where Can I Download The The Losers Movie , http://community.fox8.com/service/displayKickPlace.kickAction?u=27629300&as=92757 Despicable Me Full Lenght Movie In Divx Format , http://community.fox8.com/service/displayKickPlace.kickAction?u=27629161&as=92757 Robin Hood The Film Good Quality , http://community.fox8.com/service/displayKickPlace.kickAction?u=27629237&as=92757 I Want To Watch The Full Film Of Predators , http://community.fox8.com/service/displayKickPlace.kickAction?u=27629201&as=92757 High Quality Resident Evil: Afterlife Movie , http://community.fox8.com/service/displayKickPlace.kickAction?u=27629427&as=92757 Cinematic Leap Year Download , http://www.formspring.me/1knightandday Knight and Day Movie Theatres , http://www.formspring.me/movieinception Watch New Inception Film , -- The Losers The Movie To Buy?
- 2 , http://community.fox8.com/service/displayDiscussionThreads.kickAction?as=92757&w=221030&d=597797 Dinner for Schmucks Divx , http://community.fox8.com/service/displayDiscussionThreads.kickAction?as=92757&w=221030&d=597768 Buy The Despicable Me Film , http://community.fox8.com/service/displayKickPlace.kickAction?u=27629245&as=92757 Grown Ups Film Picture , http://www.formspring.me/1machete Watch Machete Full Movie High Quality , http://community.fox8.com/service/displayKickPlace.kickAction?u=27629128&as=92757 New Film Iron Man 2 , http://www.formspring.me/1princeofpersia Prince of Persia: The Sands of Time Film Casting , http://community.fox8.com/service/displayDiscussionThreads.kickAction?as=92757&w=221030&d=597778 Watch The Switch Movie Online , http://community.fox8.com/service/displayDiscussionThreads.kickAction?as=92757&w=221030&d=597729 Inception Information , http://community.fox8.com/service/displayDiscussionThreads.kickAction?as=92757&w=221030&d=597728 Toy Story 3 Movie , http://www.formspring.me/1thekaratekid Download Divx The Karate Kid Full Lenght , -- [[I Want To Watch The Full Film Of Prince of Persia: The Sands of Time Online]]
- 3 , http://community.fox8.com/service/displayDiscussionThreads.kickAction?as=92757&w=221030&d=597817 Up in the Air Full Lenght Movie In Dvd Format , http://community.fox8.com/service/displayDiscussionThreads.kickAction?as=92757&w=221030&d=597816 Downloading The Social Network Movie , http://community.fox8.com/service/displayDiscussionThreads.kickAction?as=92757&w=221030&d=597796 Shrek Forever After Good Film For Sale , http://community.fox8.com/service/displayDiscussionThreads.kickAction?as=92757&w=221030&d=597808 Watch The Losers Film In Hd , http://community.fox8.com/service/displayKickPlace.kickAction?u=27629233&as=92757 Prince of Persia: The Sands of Time Video , http://community.fox8.com/service/displayKickPlace.kickAction?u=27629331&as=92757 Real Legend of the Guardians: The Owls of Ga'Hoole Film Download , http://www.formspring.me/1robinhood Robin Hood Film Divx , http://community.fox8.com/service/displayDiscussionThreads.kickAction?as=92757&w=221030&d=597764 Watch Centurion Movie Hq , http://community.fox8.com/service/displayDiscussionThreads.kickAction?as=92757&w=221030&d=597776 Where Can Buy A Legend of the Guardians: The Owls of Ga'Hoole , http://www.formspring.me/1gethimthegreek Download Entire Get Him to the Greek Movie , -- Robin Hood Film For Sale?
- 3 , http://www.formspring.me/2grownups Watch Free Grown Ups , http://community.fox8.com/service/displayKickPlace.kickAction?u=27629276&as=92757 Watch Full Film Of The Karate Kid , http://community.fox8.com/service/displayKickPlace.kickAction?u=27629354&as=92757 Cheap Jonah Hex Movie , http://community.fox8.com/service/displayDiscussionThreads.kickAction?as=92757&w=221030&d=597780 Watch New Jonah Hex Film , http://community.fox8.com/service/displayKickPlace.kickAction?u=27629318&as=92757 Watch The Piranha Online , http://www.formspring.me/1theateam The A-Team Film Watch Film , http://community.fox8.com/service/displayKickPlace.kickAction?u=27629210&as=92757 Download How to Train Your Dragon Full Movie , http://community.fox8.com/service/displayKickPlace.kickAction?u=27629247&as=92757 Where To Watch The Full Movie Of Eclipse , http://community.fox8.com/service/displayKickPlace.kickAction?u=27629141&as=92757 The Expendables Film Great Quality , http://community.fox8.com/service/displayDiscussionThreads.kickAction?as=92757&w=221030&d=597812 The Book of Eli Film Review , -- Download The A-Team Movie In Hd Quality?
- 2 , http://community.fox8.com/service/displayKickPlace.kickAction?u=27629500&as=92757 Watch Entire The Book of Eli Film , http://community.fox8.com/service/displayDiscussionThreads.kickAction?as=92757&w=221030&d=597782 Length Of The Town Movie , http://community.fox8.com/service/displayDiscussionThreads.kickAction?as=92757&w=221030&d=597756 Knight and Day Film Song , http://community.fox8.com/service/displayDiscussionThreads.kickAction?as=92757&w=221030&d=597788 I Spit on Your Grave Full Lenght Film In Pda Format , http://community.fox8.com/service/displayKickPlace.kickAction?u=27628930&as=92757 Download The Toy Story 3 Film Online , http://community.fox8.com/service/displayDiscussionThreads.kickAction?as=92757&w=221030&d=597744 The Last Airbender Movie Video , http://community.fox8.com/service/displayKickPlace.kickAction?u=27629308&as=92757 Website To Watch The Sorcerer's Apprentice The Movie , http://community.fox8.com/service/displayDiscussionThreads.kickAction?as=92757&w=221030&d=597742 How to Train Your Dragon The Movie , http://community.fox8.com/service/displayDiscussionThreads.kickAction?as=92757&w=221030&d=597760 The Whole The Karate Kid Movie Online , http://community.fox8.com/service/displayKickPlace.kickAction?u=27629458&as=92757 The Splice Trailer , -- I Spit on Your Grave Buy?
- 3 , http://www.openoffice.org/nonav/issues/showattachment.cgi/72797/tramadol-hcl.html hcl tramadol acetaminophe , http://www.theworldmindnetwork.net/profile/tramadol4t2 tramadol hcl 50mg myl tablet , http://scouts1.org/tramadol8t2/weblog/ order tramadol with no presecription , http://independent.academia.edu/tramadolprescription buy tramadol cheap prescription without , http://scouts1.org/tramadol9t2/weblog/ list of drug generic companies tramadol , http://scouts1.org/tramadol5t2/weblog/ no prescription next day tramadol delivery , http://independent.academia.edu/buytramadol buy cheap tramadol online 35 , http://forums.bleachexile.com/member.php?u=101986 tramadol hcl 50mr , http://www.openoffice.org/nonav/issues/showattachment.cgi/72794/tramadol-online.html tramadol online o c d , http://www.theworldmindnetwork.net/profile/tramadol1t2 cheap tramadol delivery cod , -- tramadol cod overnight order?
- 4 , http://www.openoffice.org/nonav/issues/showattachment.cgi/72800/tramadol-side-effects.html side effects of the tramadol drug , http://www.earthday.org/users/52438 tramadol hcl tab 50mg mylan , http://www.vbs.tv/profiles/tramadol_prescription_october_2010 order tramadol no prescription cod payment , http://independent.academia.edu/cheaptramadol buy tramadol online cheap , http://scouts1.org/tramadol1t2/weblog/ make tramadol online , http://www.theworldmindnetwork.net/profile/tramadol8t2 tramadol money order , http://forums.bleachexile.com/member.php?u=101978 cheap no tramadol prescription , http://forums.bleachexile.com/member.php?u=101982 tramadol online comfortable , http://independent.academia.edu/tramadolonline order tramadol cod online , http://scouts1.org/tramadol7t2/weblog/ can tramadol have sexual side effects , -- cheap tramadol prescription?
- 2 , http://www.theworldmindnetwork.net/profile/tramadol5t2 no prescription saturday tramadol delivery , http://www.vbs.tv/profiles/buy_tramadol_october_2010 ultram buy tramadol , http://www.openoffice.org/nonav/issues/showattachment.cgi/72802/tramadol-generic.html generic drug identification pill identifier tramadol , http://scouts1.org/tramadol4t2/weblog/ what is in tramadol 50mg hcl , http://independent.academia.edu/tramadolhcl ic tramadol hcl , http://scouts1.org/tramadol0t2/weblog/ cheap site tramadol , http://www.openoffice.org/nonav/issues/showattachment.cgi/72798/tramadol-prescription.html prescription free tramadol , http://www.openoffice.org/nonav/issues/showattachment.cgi/72801/order-tramadol.html pharmacy order tramadol , http://www.vbs.tv/profiles/tramadol_online_october_2010 cod meds online ultram tramadol , http://forums.bleachexile.com/member.php?u=101987 tramadol drug prescription , -- cheap tramadol?
- 3 , http://www.openoffice.org/nonav/issues/showattachment.cgi/72797/tramadol-hcl.html g e tramadol hcl , http://www.theworldmindnetwork.net/profile/tramadol4t2 tramadol hcl dogs for , http://scouts1.org/tramadol8t2/weblog/ order tramadol without prescription , http://independent.academia.edu/tramadolprescription tramadol online without prescription cod , http://scouts1.org/tramadol9t2/weblog/ ultram generic tramadol , http://scouts1.org/tramadol5t2/weblog/ tramadol no 32 prescription , http://independent.academia.edu/buytramadol buy tramadol online shipping free , http://forums.bleachexile.com/member.php?u=101986 ultram hcl tramadol , http://www.openoffice.org/nonav/issues/showattachment.cgi/72794/tramadol-online.html tramadol saturday online delivery , http://www.theworldmindnetwork.net/profile/tramadol1t2 cheap tramadol with overnight free shipping , -- tramadol for hcl dog?
- 4 , http://www.theworldmindnetwork.net/profile/tramadol9t2 when did tramadol go generic , http://www.earthday.org/users/52432 cheap tramadol cod free fedex , http://www.vbs.tv/profiles/tramadol_hcl_october_2010 hcl tramadol wiki , http://www.earthday.org/users/52436 buy tramadol cheap without prescription , http://forums.bleachexile.com/member.php?u=101984 buy dihydrocodeine debit tramadol card , http://www.openoffice.org/nonav/issues/showattachment.cgi/72793/cheap-tramadol.html 90 tramadol cheapest pills , http://scouts1.org/tramadol10t2/weblog/ dosages tramadol for , http://www.theworldmindnetwork.net/profile/tramadol3t2 buy $85 tramadol , http://www.openoffice.org/nonav/issues/showattachment.cgi/72803/tramadol-dosage.html tramadol taper canine dosage , http://www.earthday.org/users/52434 tramadol online sends , -- buy tramadol 800?
- 4 , http://www.openoffice.org/nonav/issues/showattachment.cgi/72800/tramadol-side-effects.html side effects tramadol from , http://www.earthday.org/users/52438 ic tramadol acetaminophen hcl par , http://www.vbs.tv/profiles/tramadol_prescription_october_2010 tramadol pain killer a without prescription , http://independent.academia.edu/cheaptramadol cheap tramadol without a prescription fedex , http://scouts1.org/tramadol1t2/weblog/ tramadol medication online , http://www.theworldmindnetwork.net/profile/tramadol8t2 tramadol pay by order money , http://forums.bleachexile.com/member.php?u=101978 cheap tramadol prescriptions online , http://forums.bleachexile.com/member.php?u=101982 tramadol online no prescription cod , http://independent.academia.edu/tramadolonline tramadol online feelings , http://scouts1.org/tramadol7t2/weblog/ side effects medication tramadol , -- side effects of tramadol for dogs?
- 3 , http://www.theworldmindnetwork.net/profile/tramadol5t2 cheap without tramadol prescription , http://www.vbs.tv/profiles/buy_tramadol_october_2010 buy tramadol 100mg online , http://www.openoffice.org/nonav/issues/showattachment.cgi/72802/tramadol-generic.html generic tramadol cost , http://scouts1.org/tramadol4t2/weblog/ ic tramadol hcl 50 mg , http://independent.academia.edu/tramadolhcl hcl tramadol 50mr , http://scouts1.org/tramadol0t2/weblog/ cheapest tramadol available online off 80 , http://www.openoffice.org/nonav/issues/showattachment.cgi/72798/tramadol-prescription.html tramadol with out prescriptions fedex and , http://www.openoffice.org/nonav/issues/showattachment.cgi/72801/order-tramadol.html buy tramadol order money , http://www.vbs.tv/profiles/tramadol_online_october_2010 tramadol ecstasy online , http://forums.bleachexile.com/member.php?u=101987 cheap prescriptions tramadol online , -- online-store tramadol?
- 3 , http://www.theworldmindnetwork.net/profile/tramadol10t2 tramadol dosage maximum , http://www.openoffice.org/nonav/issues/showattachment.cgi/72795/buy-tramadol.html where can buy i tramadol , http://scouts1.org/tramadol6t2/weblog/ tramadol vs oxycodone , http://www.earthday.org/users/52440 cheap tramadol saturday delivery prescription no , http://scouts1.org/tramadol3t2/weblog/ buy tramadol overnight online delivery , http://www.theworldmindnetwork.net/profile/tramadol2t2 tramadol online consent , http://www.vbs.tv/profiles/order_tramadol cheap non prescription tramadol , http://www.theworldmindnetwork.net/profile/tramadol6t2 order tramadol no cod prescription payment , http://www.openoffice.org/nonav/issues/showattachment.cgi/72799/tramadol-cod.html hydrocodone tramadol combination side effects , http://www.theworldmindnetwork.net/profile/tramadol7t2 side effects of in tramadol pets , -- tramadol no legal prescription?
- 4 , http://www.theworldmindnetwork.net/profile/tramadol9t2 tramadol hcl 50mg generic for , http://www.earthday.org/users/52432 tramadol cheap free no overnight rx , http://www.vbs.tv/profiles/tramadol_hcl_october_2010 tramadol opiate hcl , http://www.earthday.org/users/52436 tramadol buy pain , http://forums.bleachexile.com/member.php?u=101984 tramadol 180 buy , http://www.openoffice.org/nonav/issues/showattachment.cgi/72793/cheap-tramadol.html order cheap generic tramadol online , http://scouts1.org/tramadol10t2/weblog/ 50mg tramadol dosage , http://www.theworldmindnetwork.net/profile/tramadol3t2 buy tramadol online shipping free , http://www.openoffice.org/nonav/issues/showattachment.cgi/72803/tramadol-dosage.html canine tramadol dosage correct , http://www.earthday.org/users/52434 tramadol online feelings , -- buy tramadol site add?
- 2 , http://www.openoffice.org/nonav/issues/showattachment.cgi/72800/tramadol-side-effects.html tramadol side effects drowsiness , http://www.earthday.org/users/52438 tramadol hcl medicine veterinarian , http://www.vbs.tv/profiles/tramadol_prescription_october_2010 prescription free tramadol , http://independent.academia.edu/cheaptramadol cheap discount tramadol online , http://scouts1.org/tramadol1t2/weblog/ tramadol saturday online delivery , http://www.theworldmindnetwork.net/profile/tramadol8t2 keyword free shipping tramadol on orders , http://forums.bleachexile.com/member.php?u=101978 no prescription tramadol cheapest , http://forums.bleachexile.com/member.php?u=101982 buy tramadol online , http://independent.academia.edu/tramadolonline online pharmacies tramadol , http://scouts1.org/tramadol7t2/weblog/ side effects dog tramadol , -- side effects of painkiller tramadol?
- 2 , http://www.theworldmindnetwork.net/profile/tramadol5t2 cheap tramadol without a prescription , http://www.vbs.tv/profiles/buy_tramadol_october_2010 buy tramadol cod pay , http://www.openoffice.org/nonav/issues/showattachment.cgi/72802/tramadol-generic.html generic or tramadol ultram , http://scouts1.org/tramadol4t2/weblog/ what is tramadol hcl er100mg , http://independent.academia.edu/tramadolhcl gruen hcl tramadol , http://scouts1.org/tramadol0t2/weblog/ cheap tramadol without prescription a , http://www.openoffice.org/nonav/issues/showattachment.cgi/72798/tramadol-prescription.html tramadol online overnight prescription no , http://www.openoffice.org/nonav/issues/showattachment.cgi/72801/order-tramadol.html order cheap tramadol no prescription needed , http://www.vbs.tv/profiles/tramadol_online_october_2010 discount online tramadol , http://forums.bleachexile.com/member.php?u=101987 order tramadol a without prescription , -- roomed tramadol online?
- 2 , http://www.theworldmindnetwork.net/profile/tramadol10t2 tramadol canine hydrochloride dosage , http://www.openoffice.org/nonav/issues/showattachment.cgi/72795/buy-tramadol.html buy online no prescription tramadol , http://scouts1.org/tramadol6t2/weblog/ tramadol saturday cod , http://www.earthday.org/users/52440 canada pharmacy no tramadol prescription , http://scouts1.org/tramadol3t2/weblog/ buy dog tramadol uk , http://www.theworldmindnetwork.net/profile/tramadol2t2 tramadol online seventy , http://www.vbs.tv/profiles/order_tramadol prescriptions tramadol cheap online , http://www.theworldmindnetwork.net/profile/tramadol6t2 tramadol vicodine with , http://www.openoffice.org/nonav/issues/showattachment.cgi/72799/tramadol-cod.html tramadol ordering cod , http://www.theworldmindnetwork.net/profile/tramadol7t2 tramadol side effects canine dogs , -- my prescription solution cod tramadol?
- 2 , http://www.openoffice.org/nonav/issues/showattachment.cgi/72797/tramadol-hcl.html tramadol 50mg hcl tab , http://www.theworldmindnetwork.net/profile/tramadol4t2 tramadol hcl , http://scouts1.org/tramadol8t2/weblog/ tramadol and bipolar disorder , http://independent.academia.edu/tramadolprescription no overnight prescription tramadol , http://scouts1.org/tramadol9t2/weblog/ order cheap generic online tramadol , http://scouts1.org/tramadol5t2/weblog/ buy tramadol without prescription a , http://independent.academia.edu/buytramadol buy tramadol with mastercard , http://forums.bleachexile.com/member.php?u=101986 tramadol hcl 50 mg arthritis , http://www.openoffice.org/nonav/issues/showattachment.cgi/72794/tramadol-online.html buy tramadol online cod , http://www.theworldmindnetwork.net/profile/tramadol1t2 tramadol cheap sales , -- tramadol 100 mg hcl?
- 4 , http://www.theworldmindnetwork.net/profile/tramadol9t2 overseas generic tramadol , http://www.earthday.org/users/52432 tramadol discount cheap , http://www.vbs.tv/profiles/tramadol_hcl_october_2010 what is tramadol hcl for used , http://www.earthday.org/users/52436 tramadol buy pain , http://forums.bleachexile.com/member.php?u=101984 tramadol buy cod , http://www.openoffice.org/nonav/issues/showattachment.cgi/72793/cheap-tramadol.html cheap non prescription tramadol , http://scouts1.org/tramadol10t2/weblog/ dosages tramadol , http://www.theworldmindnetwork.net/profile/tramadol3t2 tramadol buy retard , http://www.openoffice.org/nonav/issues/showattachment.cgi/72803/tramadol-dosage.html tramadol maximim dosage , http://www.earthday.org/users/52434 tramadol backward online , -- tramadol canine taper dosage?
- 3 , http://www.openoffice.org/nonav/issues/showattachment.cgi/72800/tramadol-side-effects.html tramadol side effects questions , http://www.earthday.org/users/52438 getting high tramadol with hcl , http://www.vbs.tv/profiles/tramadol_prescription_october_2010 cheap tramadol saturday no delivery prescription , http://independent.academia.edu/cheaptramadol cheap tramadol free with shipping , http://scouts1.org/tramadol1t2/weblog/ online tramadol overnight , http://www.theworldmindnetwork.net/profile/tramadol8t2 ordering tramadol on collect delivery , http://forums.bleachexile.com/member.php?u=101978 online tramadol cheap , http://forums.bleachexile.com/member.php?u=101982 cheapest tramadol available online , http://independent.academia.edu/tramadolonline cod tramadol online fedex , http://scouts1.org/tramadol7t2/weblog/ side effects ultram of tramadol , -- tramadol online free prescriptions viagra?
- 3 , http://www.theworldmindnetwork.net/profile/tramadol5t2 cheapest tramadol prescriptions , http://www.vbs.tv/profiles/buy_tramadol_october_2010 buy cheap tramadol cod , http://www.openoffice.org/nonav/issues/showattachment.cgi/72802/tramadol-generic.html generic tramadol tablet , http://scouts1.org/tramadol4t2/weblog/ hcl tramadol 5 , http://independent.academia.edu/tramadolhcl what is in tramadol 50mg hcl , http://scouts1.org/tramadol0t2/weblog/ tramadol cod cheap , http://www.openoffice.org/nonav/issues/showattachment.cgi/72798/tramadol-prescription.html tramadol online prescriptions free viagra , http://www.openoffice.org/nonav/issues/showattachment.cgi/72801/order-tramadol.html tramadol cod order , http://www.vbs.tv/profiles/tramadol_online_october_2010 sobs tramadol online , http://forums.bleachexile.com/member.php?u=101987 order tramadol no prescription cod payment , -- order tramadol a without prescription?
- 3 , http://www.theworldmindnetwork.net/profile/tramadol10t2 canine correct tramadol dosage , http://www.openoffice.org/nonav/issues/showattachment.cgi/72795/buy-tramadol.html ataxia buy es tramadol , http://scouts1.org/tramadol6t2/weblog/ imprint codes for tramadol pill medication , http://www.earthday.org/users/52440 prescriptions tramadol instructions , http://scouts1.org/tramadol3t2/weblog/ buy tramadol 100mg online , http://www.theworldmindnetwork.net/profile/tramadol2t2 tramadol online no prior day next , http://www.vbs.tv/profiles/order_tramadol cheap tramadol 89.00 cod , http://www.theworldmindnetwork.net/profile/tramadol6t2 tramadol vs and vicodin strength , http://www.openoffice.org/nonav/issues/showattachment.cgi/72799/tramadol-cod.html postoperative care of versus tramadol codeine , http://www.theworldmindnetwork.net/profile/tramadol7t2 tramadol hcl for dogs side effects , -- tramadol free cod shipping?
- 2 , http://www.openoffice.org/nonav/issues/showattachment.cgi/72797/tramadol-hcl.html tramadol hcl acetaminophe , http://www.theworldmindnetwork.net/profile/tramadol4t2 50 hcl mg tramadol , http://scouts1.org/tramadol8t2/weblog/ tramadol by caraco order back , http://independent.academia.edu/tramadolprescription no overnight prescription tramadol , http://scouts1.org/tramadol9t2/weblog/ generic jolliette tramadol , http://scouts1.org/tramadol5t2/weblog/ tramadol cheap fast prescription no , http://independent.academia.edu/buytramadol buy dihydrocodeine tramadol card debit , http://forums.bleachexile.com/member.php?u=101986 tramadol tab hcl 50mg , http://www.openoffice.org/nonav/issues/showattachment.cgi/72794/tramadol-online.html tramadol online emerged , http://www.theworldmindnetwork.net/profile/tramadol1t2 cheap 32 tramadol , -- no overnight tramadol prescription?
- 4 , http://www.theworldmindnetwork.net/profile/tramadol9t2 list of generic companies sale tramadol , http://www.earthday.org/users/52432 cheap tramadol fedex overnight , http://www.vbs.tv/profiles/tramadol_hcl_october_2010 tramadol by hcl mylan , http://www.earthday.org/users/52436 buy $85 tramadol , http://forums.bleachexile.com/member.php?u=101984 ultram buy tramadol , http://www.openoffice.org/nonav/issues/showattachment.cgi/72793/cheap-tramadol.html cheap tramadol delivery cod , http://scouts1.org/tramadol10t2/weblog/ tramadol puppy dosage , http://www.theworldmindnetwork.net/profile/tramadol3t2 best buy tramadol , http://www.openoffice.org/nonav/issues/showattachment.cgi/72803/tramadol-dosage.html canine tramadol dosage , http://www.earthday.org/users/52434 tramadol online make , -- tramadol dosage dogs information?
- 4 , http://www.openoffice.org/nonav/issues/showattachment.cgi/72800/tramadol-side-effects.html bad side effects tramadol of , http://www.earthday.org/users/52438 tramadol hcl 50 uses mg , http://www.vbs.tv/profiles/tramadol_prescription_october_2010 no prescription delivered saturday tramadol , http://independent.academia.edu/cheaptramadol buy cheap tramadol , http://scouts1.org/tramadol1t2/weblog/ cheap prescriptions tramadol online , http://www.theworldmindnetwork.net/profile/tramadol8t2 tramadol and eye disorders , http://forums.bleachexile.com/member.php?u=101978 cheap tramadol fedex overnight , http://forums.bleachexile.com/member.php?u=101982 is ordering tramadol online illigeal , http://independent.academia.edu/tramadolonline tramadol online no prior day next , http://scouts1.org/tramadol7t2/weblog/ canine tramadol side effects , -- is ordering tramadol online illigal?
- 3 , http://www.theworldmindnetwork.net/profile/tramadol5t2 purchase tramadol without prescription , http://www.vbs.tv/profiles/buy_tramadol_october_2010 tramadol 180 buy , http://www.openoffice.org/nonav/issues/showattachment.cgi/72802/tramadol-generic.html generic or tramadol ultram , http://scouts1.org/tramadol4t2/weblog/ information about tramadol hcl tab 50mg , http://independent.academia.edu/tramadolhcl hcl tramadol , http://scouts1.org/tramadol0t2/weblog/ cheap non tramadol presciption , http://www.openoffice.org/nonav/issues/showattachment.cgi/72798/tramadol-prescription.html no prior tramadol prescription , http://www.openoffice.org/nonav/issues/showattachment.cgi/72801/order-tramadol.html health solutions tramadol network order , http://www.vbs.tv/profiles/tramadol_online_october_2010 cheapest tramadol online no needed prescription , http://forums.bleachexile.com/member.php?u=101987 tramadol cheap prescription no , -- order tramadol cheap?
- 3 , http://www.theworldmindnetwork.net/profile/tramadol10t2 dog tramadol dosage , http://www.openoffice.org/nonav/issues/showattachment.cgi/72795/buy-tramadol.html buy discount tramadol , http://scouts1.org/tramadol6t2/weblog/ taking with tramadol vicoden , http://www.earthday.org/users/52440 tramadol sale no required prescription , http://scouts1.org/tramadol3t2/weblog/ buy tramadol lowest price , http://www.theworldmindnetwork.net/profile/tramadol2t2 buy tramadol now online , http://www.vbs.tv/profiles/order_tramadol tramadol prescription cheap , http://www.theworldmindnetwork.net/profile/tramadol6t2 cheap tramadol cod saturday delivery , http://www.openoffice.org/nonav/issues/showattachment.cgi/72799/tramadol-cod.html tramadol and mixed hydrocodone , http://www.theworldmindnetwork.net/profile/tramadol7t2 tramadol pain pill side effects , -- tramadol hydrocodone dosage chart?
- 2 , http://www.openoffice.org/nonav/issues/showattachment.cgi/72797/tramadol-hcl.html ingredients in tramadol hcl , http://www.theworldmindnetwork.net/profile/tramadol4t2 tramadol hcl for anti depression , http://scouts1.org/tramadol8t2/weblog/ tramadol order online overnight shipping , http://independent.academia.edu/tramadolprescription tramadol with out prescriptions fedex and , http://scouts1.org/tramadol9t2/weblog/ what is generic tramadol for , http://scouts1.org/tramadol5t2/weblog/ tramadol saturday delivery prescription no , http://independent.academia.edu/buytramadol buy tramadol online c o d , http://forums.bleachexile.com/member.php?u=101986 medication tramadol hcl , http://www.openoffice.org/nonav/issues/showattachment.cgi/72794/tramadol-online.html tramadol online overnight shipping , http://www.theworldmindnetwork.net/profile/tramadol1t2 tramadol cheap free no overnight rx , -- generic for tramadol?
- 2 , http://www.theworldmindnetwork.net/profile/tramadol9t2 what is generic for tramadol , http://www.earthday.org/users/52432 overnight cheap tramadol , http://www.vbs.tv/profiles/tramadol_hcl_october_2010 ic tramadol 50 hcl mg , http://www.earthday.org/users/52436 tramadol cheapest us buy price online , http://forums.bleachexile.com/member.php?u=101984 4 tramadol buy , http://www.openoffice.org/nonav/issues/showattachment.cgi/72793/cheap-tramadol.html cheap tramadol cod free fedex , http://scouts1.org/tramadol10t2/weblog/ tramadol dosage dogs information , http://www.theworldmindnetwork.net/profile/tramadol3t2 buy retard tramadol , http://www.openoffice.org/nonav/issues/showattachment.cgi/72803/tramadol-dosage.html tramadol dosage max , http://www.earthday.org/users/52434 cod meds online tramadol ultram , -- 50mg tramadol dosage?
- 2 , http://www.openoffice.org/nonav/issues/showattachment.cgi/72800/tramadol-side-effects.html tramadol urine side effects , http://www.earthday.org/users/52438 hcl-acetaminophen tramadol , http://www.vbs.tv/profiles/tramadol_prescription_october_2010 buy no tramadol prescription , http://independent.academia.edu/cheaptramadol cheap presciption non tramadol , http://scouts1.org/tramadol1t2/weblog/ canadian pharmacy tramadol online , http://www.theworldmindnetwork.net/profile/tramadol8t2 is ordering tramadol illigial online , http://forums.bleachexile.com/member.php?u=101978 tramadol cheap rx no overnight , http://forums.bleachexile.com/member.php?u=101982 tramadol online medication , http://independent.academia.edu/tramadolonline is ordering tramadol online illegal , http://scouts1.org/tramadol7t2/weblog/ tramadol side effects animals on , -- 120 buy cheap tramadol tab?
- 4 , http://www.theworldmindnetwork.net/profile/tramadol5t2 tramadol no prescription pharmacy us , http://www.vbs.tv/profiles/buy_tramadol_october_2010 buy tramadol without , http://www.openoffice.org/nonav/issues/showattachment.cgi/72802/tramadol-generic.html when did tramadol generic go , http://scouts1.org/tramadol4t2/weblog/ hcl tramadol 5 , http://independent.academia.edu/tramadolhcl tramadol information hcl , http://scouts1.org/tramadol0t2/weblog/ cheap tramadol day 2 shipping , http://www.openoffice.org/nonav/issues/showattachment.cgi/72798/tramadol-prescription.html tramadol no prescription law dea , http://www.openoffice.org/nonav/issues/showattachment.cgi/72801/order-tramadol.html tramadol cod order , http://www.vbs.tv/profiles/tramadol_online_october_2010 tramadol discount online , http://forums.bleachexile.com/member.php?u=101987 no prescription next day delivery tramadol , -- prescription online tramadol?
- 4 , http://www.theworldmindnetwork.net/profile/tramadol10t2 canine tramadol dosage , http://www.openoffice.org/nonav/issues/showattachment.cgi/72795/buy-tramadol.html buy cheap online tramadol 35009 , http://scouts1.org/tramadol6t2/weblog/ rx cod tramadol , http://www.earthday.org/users/52440 buy tramadol online without prescription a , http://scouts1.org/tramadol3t2/weblog/ buy from pharmcy tramadol , http://www.theworldmindnetwork.net/profile/tramadol2t2 roomed tramadol online , http://www.vbs.tv/profiles/order_tramadol buy tramadol cheap medication 35009 , http://www.theworldmindnetwork.net/profile/tramadol6t2 tramadol cod saturday , http://www.openoffice.org/nonav/issues/showattachment.cgi/72799/tramadol-cod.html allergy codeine tramadol , http://www.theworldmindnetwork.net/profile/tramadol7t2 tramadol side effects , -- tramadol 180 cheap?
- 3 , http://www.openoffice.org/nonav/issues/showattachment.cgi/72797/tramadol-hcl.html is tramadol a hcl narcotic , http://www.theworldmindnetwork.net/profile/tramadol4t2 tramadol hcl 200mg about , http://scouts1.org/tramadol8t2/weblog/ tramadol and disorder bipolar , http://independent.academia.edu/tramadolprescription tramadol no required prescription , http://scouts1.org/tramadol9t2/weblog/ what is generic tramadol ultram , http://scouts1.org/tramadol5t2/weblog/ order cheap tramadol no needed prescription , http://independent.academia.edu/buytramadol buy tramadol cod pay , http://forums.bleachexile.com/member.php?u=101986 tramadol hcl medicine veterinarian , http://www.openoffice.org/nonav/issues/showattachment.cgi/72794/tramadol-online.html tramadol online shipping fedex $117.00 , http://www.theworldmindnetwork.net/profile/tramadol1t2 cheap tramadol free with shipping , -- no prescription pharmacy tramadol online?
- 2 , http://www.theworldmindnetwork.net/profile/tramadol9t2 tramadol overseas generic , http://www.earthday.org/users/52432 cheapest tramadol day next delivery , http://www.vbs.tv/profiles/tramadol_hcl_october_2010 what is hcl tramadol , http://www.earthday.org/users/52436 tramadol buy $85 , http://forums.bleachexile.com/member.php?u=101984 buy tramadol online pharmacy saturday delivery , http://www.openoffice.org/nonav/issues/showattachment.cgi/72793/cheap-tramadol.html tramadol cheap 32 , http://scouts1.org/tramadol10t2/weblog/ tramadol canine dogs dosage , http://www.theworldmindnetwork.net/profile/tramadol3t2 buy retard tramadol , http://www.openoffice.org/nonav/issues/showattachment.cgi/72803/tramadol-dosage.html tramadol dosage pictures , http://www.earthday.org/users/52434 cheap tramadol online , -- buy tramadol overnight?
- 2 , http://www.openoffice.org/nonav/issues/showattachment.cgi/72800/tramadol-side-effects.html tramadol urine side effects , http://www.earthday.org/users/52438 tramadol hcl sr 100mg , http://www.vbs.tv/profiles/tramadol_prescription_october_2010 tramadol no dea prescription law , http://independent.academia.edu/cheaptramadol cheap non prescription tramadol , http://scouts1.org/tramadol1t2/weblog/ buy tramadol online , http://www.theworldmindnetwork.net/profile/tramadol8t2 tramadol and eye disorders , http://forums.bleachexile.com/member.php?u=101978 cheap tramadol prescriptions online card discover , http://forums.bleachexile.com/member.php?u=101982 buy online tramadol no prescription , http://independent.academia.edu/tramadolonline tramadol online no prescription cod , http://scouts1.org/tramadol7t2/weblog/ bad side effects from tramadol , -- cod meds online ultram tramadol?
- 4 , http://www.theworldmindnetwork.net/profile/tramadol5t2 purchase tramadol without online prescription , http://www.vbs.tv/profiles/buy_tramadol_october_2010 buy tramadol cash , http://www.openoffice.org/nonav/issues/showattachment.cgi/72802/tramadol-generic.html generic drug identification pill identifier tramadol , http://scouts1.org/tramadol4t2/weblog/ tramadol hcl drug food administration and , http://independent.academia.edu/tramadolhcl getting high with hcl tramadol , http://scouts1.org/tramadol0t2/weblog/ tramadol cod cheap , http://www.openoffice.org/nonav/issues/showattachment.cgi/72798/tramadol-prescription.html buy tramadol cheap prescription no , http://www.openoffice.org/nonav/issues/showattachment.cgi/72801/order-tramadol.html tramadol and eye disorders , http://www.vbs.tv/profiles/tramadol_online_october_2010 online tramadol overnight , http://forums.bleachexile.com/member.php?u=101987 tramadol no prescription overnight , -- matrix tramadol hcl 50 mg?
- 4 , http://www.theworldmindnetwork.net/profile/tramadol10t2 canine tramadol dosage correct , http://www.openoffice.org/nonav/issues/showattachment.cgi/72795/buy-tramadol.html buy tramadol 180 tabs free shipping , http://scouts1.org/tramadol6t2/weblog/ tramadol ultram cod , http://www.earthday.org/users/52440 purchase without tramadol prescription , http://scouts1.org/tramadol3t2/weblog/ tramadol buy florida , http://www.theworldmindnetwork.net/profile/tramadol2t2 medication tramadol online , http://www.vbs.tv/profiles/order_tramadol tramadol 180 cheap ct 89.00 , http://www.theworldmindnetwork.net/profile/tramadol6t2 meds tramadol cod , http://www.openoffice.org/nonav/issues/showattachment.cgi/72799/tramadol-cod.html delivered tramadol cod , http://www.theworldmindnetwork.net/profile/tramadol7t2 tramadol 50mg side effects , -- side effects of apap tramadol?
- 2 , http://www.openoffice.org/nonav/issues/showattachment.cgi/72797/tramadol-hcl.html tramadol hcl 50 mg for dogs , http://www.theworldmindnetwork.net/profile/tramadol4t2 tramadol 50mg hcl , http://scouts1.org/tramadol8t2/weblog/ tramadol orders , http://independent.academia.edu/tramadolprescription prescription online tramadol , http://scouts1.org/tramadol9t2/weblog/ generic tablet tramadol , http://scouts1.org/tramadol5t2/weblog/ tramadol cheap fast prescription no , http://independent.academia.edu/buytramadol buy tramadol 180 cod , http://forums.bleachexile.com/member.php?u=101986 snorting tramadol hcl , http://www.openoffice.org/nonav/issues/showattachment.cgi/72794/tramadol-online.html sorry tramadol online , http://www.theworldmindnetwork.net/profile/tramadol1t2 buy tramadol cheaply , -- 90 tramadol pills cheapest?
- 3 , http://www.theworldmindnetwork.net/profile/tramadol9t2 generic drug identification pill tramadol identifier , http://www.earthday.org/users/52432 buy tramadol online cheap , http://www.vbs.tv/profiles/tramadol_hcl_october_2010 tramadol hcl and percocet , http://www.earthday.org/users/52436 buy site tramadol , http://forums.bleachexile.com/member.php?u=101984 tramadol buying online , http://www.openoffice.org/nonav/issues/showattachment.cgi/72793/cheap-tramadol.html no prescription tramadol cheapest , http://scouts1.org/tramadol10t2/weblog/ tramadol and dosage administration , http://www.theworldmindnetwork.net/profile/tramadol3t2 buy pills online tramadol , http://www.openoffice.org/nonav/issues/showattachment.cgi/72803/tramadol-dosage.html dosage tramadol of hydrochloride , http://www.earthday.org/users/52434 is ordering tramadol online illegal , -- tramadol hcl medicine veterinarian?
- 3 , http://www.openoffice.org/nonav/issues/showattachment.cgi/72800/tramadol-side-effects.html side effects of hydrochloride tramadol , http://www.earthday.org/users/52438 tramadol hcl 50 for mg dogs , http://www.vbs.tv/profiles/tramadol_prescription_october_2010 tramadol withot a prescription , http://independent.academia.edu/cheaptramadol cheap tramadol saturday cod delivery , http://scouts1.org/tramadol1t2/weblog/ saturday delivery online tramadol , http://www.theworldmindnetwork.net/profile/tramadol8t2 order tramadol 180 , http://forums.bleachexile.com/member.php?u=101978 cheap prescription non tramadol , http://forums.bleachexile.com/member.php?u=101982 tramadol online no prior , http://independent.academia.edu/tramadolonline cod meds online ultram tramadol , http://scouts1.org/tramadol7t2/weblog/ side effects dog tramadol , -- tramadol apap side effects?
- 2 , http://www.theworldmindnetwork.net/profile/tramadol5t2 tramadol on line prescription no , http://www.vbs.tv/profiles/buy_tramadol_october_2010 tramadol buy cheaply , http://www.openoffice.org/nonav/issues/showattachment.cgi/72802/tramadol-generic.html generic sale companies tramadol , http://scouts1.org/tramadol4t2/weblog/ is tramadol a hcl narcotic , http://independent.academia.edu/tramadolhcl ingredients in hcl tramadol , http://scouts1.org/tramadol0t2/weblog/ cheap very tramadol , http://www.openoffice.org/nonav/issues/showattachment.cgi/72798/tramadol-prescription.html tramadol prescription no fed-ex , http://www.openoffice.org/nonav/issues/showattachment.cgi/72801/order-tramadol.html tramadol cod orders , http://www.vbs.tv/profiles/tramadol_online_october_2010 is online tramadol illegal , http://forums.bleachexile.com/member.php?u=101987 buy online no tramadol prescription , -- tramadol no prescription overnight delivery?
- 2 , http://www.theworldmindnetwork.net/profile/tramadol10t2 tramadol hydrocodone chart dosage , http://www.openoffice.org/nonav/issues/showattachment.cgi/72795/buy-tramadol.html buy tramadol c o d , http://scouts1.org/tramadol6t2/weblog/ tramadol cod order , http://www.earthday.org/users/52440 tramadol no dea prescription law , http://scouts1.org/tramadol3t2/weblog/ buy tramadol , http://www.theworldmindnetwork.net/profile/tramadol2t2 tramadol order overnight online shipping , http://www.vbs.tv/profiles/order_tramadol cheap india tramadol , http://www.theworldmindnetwork.net/profile/tramadol6t2 cod saturday tramadol delivery , http://www.openoffice.org/nonav/issues/showattachment.cgi/72799/tramadol-cod.html rx cod tramadol , http://www.theworldmindnetwork.net/profile/tramadol7t2 tramadol side effects canine dogs , -- side effects tramadol of hcl?
- 4 , http://www.openoffice.org/nonav/issues/showattachment.cgi/72797/tramadol-hcl.html hcl tramadol acetaminophe , http://www.theworldmindnetwork.net/profile/tramadol4t2 tramadol hcl site , http://scouts1.org/tramadol8t2/weblog/ tramadol and disorder metabolic , http://independent.academia.edu/tramadolprescription buy tramadol without cheap prescription , http://scouts1.org/tramadol9t2/weblog/ generic companies sale tramadol , http://scouts1.org/tramadol5t2/weblog/ no prescription next tramadol day , http://independent.academia.edu/buytramadol career in finance buy tramadol , http://forums.bleachexile.com/member.php?u=101986 tramadol ic hcl-acetaminophen , http://www.openoffice.org/nonav/issues/showattachment.cgi/72794/tramadol-online.html cheapest tramadol online , http://www.theworldmindnetwork.net/profile/tramadol1t2 buy tramadol at price cheap online , -- generic of versions tramadol?
- 4 , http://www.theworldmindnetwork.net/profile/tramadol9t2 tramadol generics , http://www.earthday.org/users/52432 cheap tramadol with overnight free shpping , http://www.vbs.tv/profiles/tramadol_hcl_october_2010 tramadol hcl 50 drug mg forum , http://www.earthday.org/users/52436 buy cod tramadol , http://forums.bleachexile.com/member.php?u=101984 career in finance buy tramadol , http://www.openoffice.org/nonav/issues/showattachment.cgi/72793/cheap-tramadol.html tramadol cheap cod saturday , http://scouts1.org/tramadol10t2/weblog/ tramadol hydrochloride for dogs dosage , http://www.theworldmindnetwork.net/profile/tramadol3t2 buy no tramadol perscription , http://www.openoffice.org/nonav/issues/showattachment.cgi/72803/tramadol-dosage.html tramadol canada dosage cats , http://www.earthday.org/users/52434 compare online tramadol price , -- tramadol dosage and side effects?
- 3 , http://www.openoffice.org/nonav/issues/showattachment.cgi/72800/tramadol-side-effects.html side effects tramadol on , http://www.earthday.org/users/52438 tramadol tab hcl 50mg , http://www.vbs.tv/profiles/tramadol_prescription_october_2010 buy online no tramadol prescription , http://independent.academia.edu/cheaptramadol tramadol cheap cod , http://scouts1.org/tramadol1t2/weblog/ tramadol online overnight no prescription , http://www.theworldmindnetwork.net/profile/tramadol8t2 order next tramadol day , http://forums.bleachexile.com/member.php?u=101978 cheapest tramadol online available , http://forums.bleachexile.com/member.php?u=101982 cheapest tramadol online no needed prescription , http://independent.academia.edu/tramadolonline overnight tramadol online , http://scouts1.org/tramadol7t2/weblog/ drug side effects clots blood tramadol , -- tramadol overnight online delivery prescription?
- 3 , http://www.theworldmindnetwork.net/profile/tramadol5t2 tramadol cheap prescription , http://www.vbs.tv/profiles/buy_tramadol_october_2010 best buy tramadol , http://www.openoffice.org/nonav/issues/showattachment.cgi/72802/tramadol-generic.html tramadol generics , http://scouts1.org/tramadol4t2/weblog/ tramadol acetaminophe hcl , http://independent.academia.edu/tramadolhcl tramadol hcl 50mg myl tablet , http://scouts1.org/tramadol0t2/weblog/ cheap tramadol prescription , http://www.openoffice.org/nonav/issues/showattachment.cgi/72798/tramadol-prescription.html tramadol no cheap prescription , http://www.openoffice.org/nonav/issues/showattachment.cgi/72801/order-tramadol.html $85 reorder tramadol , http://www.vbs.tv/profiles/tramadol_online_october_2010 tramadol prescription no online , http://forums.bleachexile.com/member.php?u=101987 order tramadol prescription without , -- no prescription cheapest tramadol?
- 3 , http://www.theworldmindnetwork.net/profile/tramadol10t2 tramadol dog dosage , http://www.openoffice.org/nonav/issues/showattachment.cgi/72795/buy-tramadol.html tramadol buying online , http://scouts1.org/tramadol6t2/weblog/ fedex overnight delivery ultram tramadol codeine , http://www.earthday.org/users/52440 tramadol no oline prescription , http://scouts1.org/tramadol3t2/weblog/ tramadol buy cheap , http://www.theworldmindnetwork.net/profile/tramadol2t2 tramadol buy online , http://www.vbs.tv/profiles/order_tramadol buy cheap tramadol 35 online , http://www.theworldmindnetwork.net/profile/tramadol6t2 cod order tramadol , http://www.openoffice.org/nonav/issues/showattachment.cgi/72799/tramadol-cod.html tramadol ordering cod , http://www.theworldmindnetwork.net/profile/tramadol7t2 tramadol side effects humans in , -- buy ups tramadol delivered?
- 4 , http://www.openoffice.org/nonav/issues/showattachment.cgi/72797/tramadol-hcl.html is hcl tramadol anti-inflammatory , http://www.theworldmindnetwork.net/profile/tramadol4t2 medicine hcl tramadol , http://scouts1.org/tramadol8t2/weblog/ tramadol bipolar and disorder , http://independent.academia.edu/tramadolprescription purchase tramadol without prescription , http://scouts1.org/tramadol9t2/weblog/ generic mexican tramadol pictures , http://scouts1.org/tramadol5t2/weblog/ buy no tramadol prescription , http://independent.academia.edu/buytramadol 120 buy tab cheap tramadol , http://forums.bleachexile.com/member.php?u=101986 tramadol acetaminophe hcl , http://www.openoffice.org/nonav/issues/showattachment.cgi/72794/tramadol-online.html buy cheap tramadol online 35009 , http://www.theworldmindnetwork.net/profile/tramadol1t2 no prescription cheapest tramadol , -- buy online tramadol cod?
- 3 , http://www.theworldmindnetwork.net/profile/tramadol9t2 generic tablet tramadol , http://www.earthday.org/users/52432 cheap discount online tramadol , http://www.vbs.tv/profiles/tramadol_hcl_october_2010 side affectsof hcl tramadol , http://www.earthday.org/users/52436 buy tramadol 100mg online , http://forums.bleachexile.com/member.php?u=101984 buy cheap tramadol online 35 , http://www.openoffice.org/nonav/issues/showattachment.cgi/72793/cheap-tramadol.html buy tramadol cheap medication 35009 , http://scouts1.org/tramadol10t2/weblog/ tramadol vet dosage , http://www.theworldmindnetwork.net/profile/tramadol3t2 buy tramadol dog uk , http://www.openoffice.org/nonav/issues/showattachment.cgi/72803/tramadol-dosage.html canine tramadol dosage , http://www.earthday.org/users/52434 buy tramadol without online prescription , -- prescriptions tramadol cheap online?
- 4 , http://www.openoffice.org/nonav/issues/showattachment.cgi/72800/tramadol-side-effects.html side effects dogs tramadol , http://www.earthday.org/users/52438 rfm tramadol hcl 50mg , http://www.vbs.tv/profiles/tramadol_prescription_october_2010 tramadol prescription without , http://independent.academia.edu/cheaptramadol prescriptions cheap online tramadol , http://scouts1.org/tramadol1t2/weblog/ buy tramadol now online , http://www.theworldmindnetwork.net/profile/tramadol8t2 order tramadol with no presecription , http://forums.bleachexile.com/member.php?u=101978 tramadol cheap free overnight no rx , http://forums.bleachexile.com/member.php?u=101982 tramadol online overnight no prescription , http://independent.academia.edu/tramadolonline tramadol online delivery saturday , http://scouts1.org/tramadol7t2/weblog/ tramadol dogs side effects , -- side effects of tramadol ultram?
- 2 , http://www.theworldmindnetwork.net/profile/tramadol5t2 order without tramadol prescription , http://www.vbs.tv/profiles/buy_tramadol_october_2010 buy tramadol online without prescription a , http://www.openoffice.org/nonav/issues/showattachment.cgi/72802/tramadol-generic.html what is for generic tramadol , http://scouts1.org/tramadol4t2/weblog/ tramadol hcl 50mg myl tablet , http://independent.academia.edu/tramadolhcl tramadol overdose hcl , http://scouts1.org/tramadol0t2/weblog/ no tramadol rx cheap , http://www.openoffice.org/nonav/issues/showattachment.cgi/72798/tramadol-prescription.html no prescription dhl delivered tramadol , http://www.openoffice.org/nonav/issues/showattachment.cgi/72801/order-tramadol.html order overnight tramadol , http://www.vbs.tv/profiles/tramadol_online_october_2010 tramadol online showed , http://forums.bleachexile.com/member.php?u=101987 tramadol overnight delivery prescription online , -- list of drug companies tramadol generic?
- 3 , http://www.theworldmindnetwork.net/profile/tramadol10t2 typical dosage tramadol for , http://www.openoffice.org/nonav/issues/showattachment.cgi/72795/buy-tramadol.html buy tramadol no perscription , http://scouts1.org/tramadol6t2/weblog/ is tramadol or hydrocodone addictive more , http://www.earthday.org/users/52440 tramadol pain killer a without prescription , http://scouts1.org/tramadol3t2/weblog/ buy tramadol ultram , http://www.theworldmindnetwork.net/profile/tramadol2t2 cod tramadol fedex online , http://www.vbs.tv/profiles/order_tramadol cheap tramadol site , http://www.theworldmindnetwork.net/profile/tramadol6t2 vs tramadol hydrocodine , http://www.openoffice.org/nonav/issues/showattachment.cgi/72799/tramadol-cod.html tramadol buy cod pay , http://www.theworldmindnetwork.net/profile/tramadol7t2 drug side effects tramadol in dogs , -- tramadol side effects forum numbness?
- 4 , http://www.veoh.com/forum/showthread.php/1185-Cheap-tramadol-(October-2010) cheapest tramadol prescription without , http://www.veoh.com/forum/showthread.php/1187-Tramadol-online-(October-2010) buying online tramadol legal , http://www.veoh.com/forum/showthread.php/1189-Buy-tramadol-(October-2010) buy tramadol medication cheap 35009 , http://www.veoh.com/forum/showthread.php/1190-Tramadol-hcl-(October-2010) g e tramadol hcl , http://www.veoh.com/forum/showthread.php/1191-Tramadol-prescription-(October-2010) tramadol prescription times expiration , http://www.veoh.com/forum/showthread.php/1192-Tramadol-cod-(October-2010) hydrocodone tramadol side combonation effects , http://www.veoh.com/forum/showthread.php/1193-Tramadol-side-effects-(October-2010) side effects of and tramadol alcohol , http://www.veoh.com/forum/showthread.php/1195-Order-tramadol-(October-2010) tramadol money with order , http://www.veoh.com/forum/showthread.php/1197-Tramadol-generic-(October-2010) generic or tramadol ultram , http://www.veoh.com/forum/showthread.php/1198-Tramadol-dosage-(October-2010) drug tramadol dosage by weight , -- health solutions tramadol network order?
- 3 , http://www.veoh.com/forum/showthread.php/1165-Cheap-tramadol-(October-2010) cheap tramadol sales 120 tabs , http://www.veoh.com/forum/showthread.php/1169-Tramadol-online-(October-2010) tramadol online no overnight prescription , http://www.veoh.com/forum/showthread.php/1171-Buy-tramadol-(October-2010) ataxia buy es tramadol , http://www.veoh.com/forum/showthread.php/1172-Tramadol-hcl-(October-2010) g tramadol e hcl , http://www.veoh.com/forum/showthread.php/1175-Tramadol-prescription-(October-2010) tramadol no dea prescription law , http://www.veoh.com/forum/showthread.php/1176-Tramadol-cod-(October-2010) codeine tramadol , http://www.veoh.com/forum/showthread.php/1178-Tramadol-side-effects-(October-2010) side effects of tramadol pets in , http://www.veoh.com/forum/showthread.php/1179-Order-tramadol-(October-2010) is ordering tramadol illigal online , http://www.veoh.com/forum/showthread.php/1181-Tramadol-generic-(October-2010) generic for tramadol , http://www.veoh.com/forum/showthread.php/1183-Tramadol-dosage-(October-2010) tramadol veterinary and dosage , -- drug tramadol dosage weight by?
- 2 , http://www.veoh.com/forum/showthread.php/1185-Cheap-tramadol-(October-2010) cheap tramadol with overnight free shipping , http://www.veoh.com/forum/showthread.php/1187-Tramadol-online-(October-2010) is ordering tramadol online illegal , http://www.veoh.com/forum/showthread.php/1189-Buy-tramadol-(October-2010) buying tramadol cod , http://www.veoh.com/forum/showthread.php/1190-Tramadol-hcl-(October-2010) what is hcl tramadol , http://www.veoh.com/forum/showthread.php/1191-Tramadol-prescription-(October-2010) tramadol prescription times expiration , http://www.veoh.com/forum/showthread.php/1192-Tramadol-cod-(October-2010) cod order tramadol , http://www.veoh.com/forum/showthread.php/1193-Tramadol-side-effects-(October-2010) side effects of tramadol dogs for , http://www.veoh.com/forum/showthread.php/1195-Order-tramadol-(October-2010) tramadol orders , http://www.veoh.com/forum/showthread.php/1197-Tramadol-generic-(October-2010) generic 25mg tramadol , http://www.veoh.com/forum/showthread.php/1198-Tramadol-dosage-(October-2010) tramadol dosage information , -- tramadol paracetamol dolcet side effects?
- 3 , http://www.veoh.com/forum/showthread.php/1165-Cheap-tramadol-(October-2010) tramadol cheap cod saturday , http://www.veoh.com/forum/showthread.php/1169-Tramadol-online-(October-2010) is ordering tramadol illigal online , http://www.veoh.com/forum/showthread.php/1171-Buy-tramadol-(October-2010) buy online tramadol no prescription , http://www.veoh.com/forum/showthread.php/1172-Tramadol-hcl-(October-2010) gruen hcl tramadol , http://www.veoh.com/forum/showthread.php/1175-Tramadol-prescription-(October-2010) no prescription online tramadol pharmacy , http://www.veoh.com/forum/showthread.php/1176-Tramadol-cod-(October-2010) and hydrocodone tramadol , http://www.veoh.com/forum/showthread.php/1178-Tramadol-side-effects-(October-2010) tramadol side effects , http://www.veoh.com/forum/showthread.php/1179-Order-tramadol-(October-2010) ordering tramadol only , http://www.veoh.com/forum/showthread.php/1181-Tramadol-generic-(October-2010) ultram tramadol generic , http://www.veoh.com/forum/showthread.php/1183-Tramadol-dosage-(October-2010) hcl tramadol dosage , -- tramadol hcl medicine veterinarian?
- 3 , http://www.veoh.com/forum/showthread.php/1185-Cheap-tramadol-(October-2010) no tramadol rx cheap , http://www.veoh.com/forum/showthread.php/1187-Tramadol-online-(October-2010) feelings tramadol online , http://www.veoh.com/forum/showthread.php/1189-Buy-tramadol-(October-2010) buy tramadol 180 free tabs shipping , http://www.veoh.com/forum/showthread.php/1190-Tramadol-hcl-(October-2010) what is tramadol hcl , http://www.veoh.com/forum/showthread.php/1191-Tramadol-prescription-(October-2010) get tramadol online prescription , http://www.veoh.com/forum/showthread.php/1192-Tramadol-cod-(October-2010) tramadol codeine and allergy , http://www.veoh.com/forum/showthread.php/1193-Tramadol-side-effects-(October-2010) tramadol side effects paranoia , http://www.veoh.com/forum/showthread.php/1195-Order-tramadol-(October-2010) overseas tramadol order online , http://www.veoh.com/forum/showthread.php/1197-Tramadol-generic-(October-2010) generic acetaminophen tramadol tablets , http://www.veoh.com/forum/showthread.php/1198-Tramadol-dosage-(October-2010) tramadol dosage max , -- canadian pharmacy tramadol online?
- 3 , http://www.veoh.com/forum/showthread.php/1165-Cheap-tramadol-(October-2010) 60 pills tramadol cheapest , http://www.veoh.com/forum/showthread.php/1169-Tramadol-online-(October-2010) online tramadol om , http://www.veoh.com/forum/showthread.php/1171-Buy-tramadol-(October-2010) buy ct 180 tramadol , http://www.veoh.com/forum/showthread.php/1172-Tramadol-hcl-(October-2010) tramadol k-9 hcl , http://www.veoh.com/forum/showthread.php/1175-Tramadol-prescription-(October-2010) no prescription tramadol drugstore , http://www.veoh.com/forum/showthread.php/1176-Tramadol-cod-(October-2010) compare vicodin tramadol , http://www.veoh.com/forum/showthread.php/1178-Tramadol-side-effects-(October-2010) tramadol side effects forum numbness , http://www.veoh.com/forum/showthread.php/1179-Order-tramadol-(October-2010) tramadol saturday order request , http://www.veoh.com/forum/showthread.php/1181-Tramadol-generic-(October-2010) tramadol generic ultram , http://www.veoh.com/forum/showthread.php/1183-Tramadol-dosage-(October-2010) effective dosage of tramadol , -- is ordering tramadol online illigial?
- 4 , http://www.veoh.com/forum/showthread.php/1185-Cheap-tramadol-(October-2010) cheap very tramadol , http://www.veoh.com/forum/showthread.php/1187-Tramadol-online-(October-2010) cheapest tramadol available 80 online off , http://www.veoh.com/forum/showthread.php/1189-Buy-tramadol-(October-2010) buy tramadol no rx , http://www.veoh.com/forum/showthread.php/1190-Tramadol-hcl-(October-2010) k-9 tramadol hcl , http://www.veoh.com/forum/showthread.php/1191-Tramadol-prescription-(October-2010) cheap tramadol without prescription 100mg , http://www.veoh.com/forum/showthread.php/1192-Tramadol-cod-(October-2010) what is stronger tramadol vicodin or , http://www.veoh.com/forum/showthread.php/1193-Tramadol-side-effects-(October-2010) tramadol side effects numbness forum , http://www.veoh.com/forum/showthread.php/1195-Order-tramadol-(October-2010) keyword free shipping tramadol on orders , http://www.veoh.com/forum/showthread.php/1197-Tramadol-generic-(October-2010) generic tramadol acetaminophen tablets , http://www.veoh.com/forum/showthread.php/1198-Tramadol-dosage-(October-2010) 50mg tramadol dosage , -- order tramadol ultram?
- 3 , http://www.veoh.com/forum/showthread.php/1165-Cheap-tramadol-(October-2010) cheap tramadol prescription no , http://www.veoh.com/forum/showthread.php/1169-Tramadol-online-(October-2010) online tramadol cod , http://www.veoh.com/forum/showthread.php/1171-Buy-tramadol-(October-2010) buy pay tramadol cod , http://www.veoh.com/forum/showthread.php/1172-Tramadol-hcl-(October-2010) matrix tramadol 50 hcl mg , http://www.veoh.com/forum/showthread.php/1175-Tramadol-prescription-(October-2010) cheapest tramadol online no needed prescription , http://www.veoh.com/forum/showthread.php/1176-Tramadol-cod-(October-2010) buy tramadol cod , http://www.veoh.com/forum/showthread.php/1178-Tramadol-side-effects-(October-2010) side effects of tramadol in pets , http://www.veoh.com/forum/showthread.php/1179-Order-tramadol-(October-2010) order tramadol , http://www.veoh.com/forum/showthread.php/1181-Tramadol-generic-(October-2010) for generic tramadol , http://www.veoh.com/forum/showthread.php/1183-Tramadol-dosage-(October-2010) tramadol dosage canine , -- generic of versions tramadol?
- 3 , http://www.veoh.com/forum/showthread.php/1185-Cheap-tramadol-(October-2010) online cheap tramadol day next shipping , http://www.veoh.com/forum/showthread.php/1187-Tramadol-online-(October-2010) tramadol online backward , http://www.veoh.com/forum/showthread.php/1189-Buy-tramadol-(October-2010) ataxia es tramadol buy , http://www.veoh.com/forum/showthread.php/1190-Tramadol-hcl-(October-2010) tramadol 50mr hcl , http://www.veoh.com/forum/showthread.php/1191-Tramadol-prescription-(October-2010) no prescription next tramadol day , http://www.veoh.com/forum/showthread.php/1192-Tramadol-cod-(October-2010) mix tramadol hydrocodone and , http://www.veoh.com/forum/showthread.php/1193-Tramadol-side-effects-(October-2010) benefits and side effects tramadol rx , http://www.veoh.com/forum/showthread.php/1195-Order-tramadol-(October-2010) tramadol cod overnight order , http://www.veoh.com/forum/showthread.php/1197-Tramadol-generic-(October-2010) what is generic tramadol ultram , http://www.veoh.com/forum/showthread.php/1198-Tramadol-dosage-(October-2010) tramadol dosage 50mg , -- buy tramadol 30 credit day?
- 2 , http://www.veoh.com/forum/showthread.php/1165-Cheap-tramadol-(October-2010) cheap tramadol saturday overnight delivery , http://www.veoh.com/forum/showthread.php/1169-Tramadol-online-(October-2010) earnestly tramadol online , http://www.veoh.com/forum/showthread.php/1171-Buy-tramadol-(October-2010) 4 tramadol buy , http://www.veoh.com/forum/showthread.php/1172-Tramadol-hcl-(October-2010) what is in tramadol 50mg hcl , http://www.veoh.com/forum/showthread.php/1175-Tramadol-prescription-(October-2010) no prescription online tramadol pharmacy , http://www.veoh.com/forum/showthread.php/1176-Tramadol-cod-(October-2010) tramadol buy pay cod , http://www.veoh.com/forum/showthread.php/1178-Tramadol-side-effects-(October-2010) side effects palpitations tramadol , http://www.veoh.com/forum/showthread.php/1179-Order-tramadol-(October-2010) ordering tramadol , http://www.veoh.com/forum/showthread.php/1181-Tramadol-generic-(October-2010) ultram tramadol generic , http://www.veoh.com/forum/showthread.php/1183-Tramadol-dosage-(October-2010) tramadol dosage max , -- dosages tramadol?
- 3 , http://www.veoh.com/forum/showthread.php/1185-Cheap-tramadol-(October-2010) very cheap tramadol cod , http://www.veoh.com/forum/showthread.php/1187-Tramadol-online-(October-2010) tramadol online shipping fedex $117.00 , http://www.veoh.com/forum/showthread.php/1189-Buy-tramadol-(October-2010) buy tramadol online o c d , http://www.veoh.com/forum/showthread.php/1190-Tramadol-hcl-(October-2010) tramadol hcl is narcodic it , http://www.veoh.com/forum/showthread.php/1191-Tramadol-prescription-(October-2010) prescription drugs tramadol , http://www.veoh.com/forum/showthread.php/1192-Tramadol-cod-(October-2010) tramadol codeine versus , http://www.veoh.com/forum/showthread.php/1193-Tramadol-side-effects-(October-2010) tramadol med in dog side effects , http://www.veoh.com/forum/showthread.php/1195-Order-tramadol-(October-2010) ordering tramadol canada to , http://www.veoh.com/forum/showthread.php/1197-Tramadol-generic-(October-2010) order cheap generic online tramadol , http://www.veoh.com/forum/showthread.php/1198-Tramadol-dosage-(October-2010) dosages tramadol , -- tramadol hcl 50 arthritis mg?
- 3 , http://www.veoh.com/forum/showthread.php/1165-Cheap-tramadol-(October-2010) cheap tramadol 2 shipping day , http://www.veoh.com/forum/showthread.php/1169-Tramadol-online-(October-2010) tramadol rx life online , http://www.veoh.com/forum/showthread.php/1171-Buy-tramadol-(October-2010) tramadol cheapest us price online buy , http://www.veoh.com/forum/showthread.php/1172-Tramadol-hcl-(October-2010) what is hcl tramadol , http://www.veoh.com/forum/showthread.php/1175-Tramadol-prescription-(October-2010) cheap tramadol saturday delivery prescription no , http://www.veoh.com/forum/showthread.php/1176-Tramadol-cod-(October-2010) cod accepted orders tramadol for , http://www.veoh.com/forum/showthread.php/1178-Tramadol-side-effects-(October-2010) side effects of hcl tramadol , http://www.veoh.com/forum/showthread.php/1179-Order-tramadol-(October-2010) orders tramadol , http://www.veoh.com/forum/showthread.php/1181-Tramadol-generic-(October-2010) generic tramadol ultram or , http://www.veoh.com/forum/showthread.php/1183-Tramadol-dosage-(October-2010) tramadol dosage and , -- tramadol acetaminophen hcl car?
- 3 , http://www.veoh.com/forum/showthread.php/1185-Cheap-tramadol-(October-2010) order cheap generic tramadol online , http://www.veoh.com/forum/showthread.php/1187-Tramadol-online-(October-2010) cheapest tramadol online , http://www.veoh.com/forum/showthread.php/1189-Buy-tramadol-(October-2010) buy tramadol site add , http://www.veoh.com/forum/showthread.php/1190-Tramadol-hcl-(October-2010) tramadol hcl 50 for mg dogs , http://www.veoh.com/forum/showthread.php/1191-Tramadol-prescription-(October-2010) buy tramadol without cheap prescription , http://www.veoh.com/forum/showthread.php/1192-Tramadol-cod-(October-2010) mix vicodin tramadol and , http://www.veoh.com/forum/showthread.php/1193-Tramadol-side-effects-(October-2010) canine tramadol side effects , http://www.veoh.com/forum/showthread.php/1195-Order-tramadol-(October-2010) tramadol cod order overnight , http://www.veoh.com/forum/showthread.php/1197-Tramadol-generic-(October-2010) list of strongest generic tramadol , http://www.veoh.com/forum/showthread.php/1198-Tramadol-dosage-(October-2010) tramadol and dosage , -- tramadol versus pregnancy vicodin?
- 2 , http://www.veoh.com/forum/showthread.php/1165-Cheap-tramadol-(October-2010) very cheap tramadol cod , http://www.veoh.com/forum/showthread.php/1169-Tramadol-online-(October-2010) tramadol online fedex $117.00 shipping , http://www.veoh.com/forum/showthread.php/1171-Buy-tramadol-(October-2010) buy tramadol $75 50mg , http://www.veoh.com/forum/showthread.php/1172-Tramadol-hcl-(October-2010) medication tramadol hcl , http://www.veoh.com/forum/showthread.php/1175-Tramadol-prescription-(October-2010) cheap no tramadol prescription , http://www.veoh.com/forum/showthread.php/1176-Tramadol-cod-(October-2010) cod tramadol 180 , http://www.veoh.com/forum/showthread.php/1178-Tramadol-side-effects-(October-2010) side effects of on tramadol dogs , http://www.veoh.com/forum/showthread.php/1179-Order-tramadol-(October-2010) free shipping on tramadol orders , http://www.veoh.com/forum/showthread.php/1181-Tramadol-generic-(October-2010) tramadol overseas generic , http://www.veoh.com/forum/showthread.php/1183-Tramadol-dosage-(October-2010) tramadol dosage administration and , -- tramadol side effects numbness weakness ears?
- 3 , http://www.veoh.com/forum/showthread.php/1185-Cheap-tramadol-(October-2010) cheap prescription non tramadol , http://www.veoh.com/forum/showthread.php/1187-Tramadol-online-(October-2010) online tramadol overnight , http://www.veoh.com/forum/showthread.php/1189-Buy-tramadol-(October-2010) buy add tramadol site , http://www.veoh.com/forum/showthread.php/1190-Tramadol-hcl-(October-2010) what tramadol is hcl , http://www.veoh.com/forum/showthread.php/1191-Tramadol-prescription-(October-2010) no prescription next day tramadol , http://www.veoh.com/forum/showthread.php/1192-Tramadol-cod-(October-2010) postoperative care of tramadol versus codeine , http://www.veoh.com/forum/showthread.php/1193-Tramadol-side-effects-(October-2010) canine tramadol side effects , http://www.veoh.com/forum/showthread.php/1195-Order-tramadol-(October-2010) tramadol money with order , http://www.veoh.com/forum/showthread.php/1197-Tramadol-generic-(October-2010) generic tramadol mexican pictures , http://www.veoh.com/forum/showthread.php/1198-Tramadol-dosage-(October-2010) tramadol dosage side effects , -- cheap tramadol delivery free?
- 4 , http://www.veoh.com/forum/showthread.php/1165-Cheap-tramadol-(October-2010) cheap tramadol overseas pharmacy , http://www.veoh.com/forum/showthread.php/1169-Tramadol-online-(October-2010) tramadol online no prior next day , http://www.veoh.com/forum/showthread.php/1171-Buy-tramadol-(October-2010) buy online no tramadol prescription , http://www.veoh.com/forum/showthread.php/1172-Tramadol-hcl-(October-2010) tramadol hcl dosage , http://www.veoh.com/forum/showthread.php/1175-Tramadol-prescription-(October-2010) order tramadol no prescription cod payment , http://www.veoh.com/forum/showthread.php/1176-Tramadol-cod-(October-2010) buy dihydrocodeine debit tramadol card , http://www.veoh.com/forum/showthread.php/1178-Tramadol-side-effects-(October-2010) tramadol vet side effects , http://www.veoh.com/forum/showthread.php/1179-Order-tramadol-(October-2010) tramadol and metabolic disorder , http://www.veoh.com/forum/showthread.php/1181-Tramadol-generic-(October-2010) list of drug companies generic tramadol , http://www.veoh.com/forum/showthread.php/1183-Tramadol-dosage-(October-2010) tramadol dosage canada feline , -- cheap tramadol delivery free?
- 4 , http://www.veoh.com/forum/showthread.php/1185-Cheap-tramadol-(October-2010) tramadol cheap free fedex overnight , http://www.veoh.com/forum/showthread.php/1187-Tramadol-online-(October-2010) buy tramadol online c d o , http://www.veoh.com/forum/showthread.php/1189-Buy-tramadol-(October-2010) buy 150 tramadol overnight delivery , http://www.veoh.com/forum/showthread.php/1190-Tramadol-hcl-(October-2010) tramadol hcl 50 used mg for , http://www.veoh.com/forum/showthread.php/1191-Tramadol-prescription-(October-2010) order tramadol a without prescription , http://www.veoh.com/forum/showthread.php/1192-Tramadol-cod-(October-2010) ativan hydrocodone tramadol , http://www.veoh.com/forum/showthread.php/1193-Tramadol-side-effects-(October-2010) tramadol hcl side effects dangers , http://www.veoh.com/forum/showthread.php/1195-Order-tramadol-(October-2010) tramadol hsn order , http://www.veoh.com/forum/showthread.php/1197-Tramadol-generic-(October-2010) generic versions of tramadol , http://www.veoh.com/forum/showthread.php/1198-Tramadol-dosage-(October-2010) hcl tramadol dosage , -- generic versions of tramadol?
- 4 , http://www.veoh.com/forum/showthread.php/1165-Cheap-tramadol-(October-2010) cheap tramadol 2 day shipping , http://www.veoh.com/forum/showthread.php/1169-Tramadol-online-(October-2010) tramadol online no prior , http://www.veoh.com/forum/showthread.php/1171-Buy-tramadol-(October-2010) buy discount tramadol , http://www.veoh.com/forum/showthread.php/1172-Tramadol-hcl-(October-2010) tramadol hcl sr 100mg , http://www.veoh.com/forum/showthread.php/1175-Tramadol-prescription-(October-2010) buy tramadol cheap without prescription , http://www.veoh.com/forum/showthread.php/1176-Tramadol-cod-(October-2010) buy tramadol cod , http://www.veoh.com/forum/showthread.php/1178-Tramadol-side-effects-(October-2010) benefits and side effects tramadol rx , http://www.veoh.com/forum/showthread.php/1179-Order-tramadol-(October-2010) order tramadol now , http://www.veoh.com/forum/showthread.php/1181-Tramadol-generic-(October-2010) when did go tramadol generic , http://www.veoh.com/forum/showthread.php/1183-Tramadol-dosage-(October-2010) tramadol and veterinary dosage , -- cheap tramadol online?
- 4 , http://www.veoh.com/forum/showthread.php/1185-Cheap-tramadol-(October-2010) buy tramadol medication cheap 35009 , http://www.veoh.com/forum/showthread.php/1187-Tramadol-online-(October-2010) tramadol online delivery saturday , http://www.veoh.com/forum/showthread.php/1189-Buy-tramadol-(October-2010) ataxia buy es tramadol , http://www.veoh.com/forum/showthread.php/1190-Tramadol-hcl-(October-2010) snorting tramadol hcl , http://www.veoh.com/forum/showthread.php/1191-Tramadol-prescription-(October-2010) no prescription dhl tramadol delivered , http://www.veoh.com/forum/showthread.php/1192-Tramadol-cod-(October-2010) tramadol online cod payment , http://www.veoh.com/forum/showthread.php/1193-Tramadol-side-effects-(October-2010) tramadol paracetamol dolcet side effects , http://www.veoh.com/forum/showthread.php/1195-Order-tramadol-(October-2010) ordering tramadol collect delivery on , http://www.veoh.com/forum/showthread.php/1197-Tramadol-generic-(October-2010) generic 25mg tramadol , http://www.veoh.com/forum/showthread.php/1198-Tramadol-dosage-(October-2010) tramadol dosage , -- dosage tramadol human?
- 3 , http://www.veoh.com/forum/showthread.php/1165-Cheap-tramadol-(October-2010) order cheap tramadol prescription no needed , http://www.veoh.com/forum/showthread.php/1169-Tramadol-online-(October-2010) tramadol overnight online delivery prescription , http://www.veoh.com/forum/showthread.php/1171-Buy-tramadol-(October-2010) buy tramadol online o c d , http://www.veoh.com/forum/showthread.php/1172-Tramadol-hcl-(October-2010) tramadol hcl and percocet , http://www.veoh.com/forum/showthread.php/1175-Tramadol-prescription-(October-2010) tramadol cheap fast prescription no , http://www.veoh.com/forum/showthread.php/1176-Tramadol-cod-(October-2010) tramadol cod online payment , http://www.veoh.com/forum/showthread.php/1178-Tramadol-side-effects-(October-2010) tramadol tinnitus side effects , http://www.veoh.com/forum/showthread.php/1179-Order-tramadol-(October-2010) is ordering online tramadol illigal , http://www.veoh.com/forum/showthread.php/1181-Tramadol-generic-(October-2010) tramadol generic cost , http://www.veoh.com/forum/showthread.php/1183-Tramadol-dosage-(October-2010) dosage tramadol pictures , -- matrix tramadol 50 hcl mg?
- 2 , http://www.box.net/shared/g9fpy26mlr tramadol no required prescription , http://www.box.net/shared/osuiavetrc generic acetaminophen tramadol tablets , http://www.box.net/shared/ov5h9du2gb buy tramadol overnight online delivery , http://trig.com/ingestacey/biography what is tramadol generic ultram , http://trig.com/alessandramona/biography tramadol dosage recreational , http://www.box.net/shared/os1b723opk tramadol hcl diabetic for dogs , http://www.box.net/shared/j8hc46365n mixing and tramadol oxycodone , http://trig.com/jenifferarnetta/biography buy tramadol a with check , http://www.box.net/shared/04m298c5bs tramadol cheap free overnight no rx , http://trig.com/kortneywilburn/biography tramadol online no overnight prescription , -- buy capsules tramadol?
- 3 , http://trig.com/marleenmariann/biography tramadol 180 ct cheap , http://www.box.net/shared/ypmege6s50 tramadol dog side effects , http://www.box.net/shared/1thrs9b14b tramadol cod order overnight , http://trig.com/katheytressa/biography side effects medication tramadol , http://trig.com/rhettmarcella/biography tramadol hydrocodone comparison , http://www.box.net/shared/e4iv8mgeby cheap tramadol online , http://www.box.net/shared/cqyu34izga tramadol dosage er , http://trig.com/vaniashani/biography tramadol no fed prescription ex , http://trig.com/signejanessa/biography cod accepted for orders tramadol , http://trig.com/elzadamian/biography tramadol hcl 50mg tab cara , -- side effects tramadol?
- 2 , http://www.box.net/shared/g9fpy26mlr tramadol saturday delivery prescription no , http://www.box.net/shared/osuiavetrc what is generic for tramadol , http://www.box.net/shared/ov5h9du2gb buy cheap tramadol online 35 , http://trig.com/ingestacey/biography ultram tramadol generic , http://trig.com/alessandramona/biography tramadol dosage 50mg , http://www.box.net/shared/os1b723opk tramadol info hcl , http://www.box.net/shared/j8hc46365n order tramadol online cod , http://trig.com/jenifferarnetta/biography buy ultram tramadol , http://www.box.net/shared/04m298c5bs online cheap tramadol day next shipping , http://trig.com/kortneywilburn/biography tramadol online no prescription , -- veterinary dosage for tramadol?
- 3 , http://trig.com/marleenmariann/biography prescriptions cheap tramadol online , http://www.box.net/shared/ypmege6s50 side effects of tramadol , http://www.box.net/shared/1thrs9b14b discount order tramadol , http://trig.com/katheytressa/biography mix phenergan tramadol side effects , http://trig.com/rhettmarcella/biography and codeine tramadol , http://www.box.net/shared/e4iv8mgeby no prescription pharmacy tramadol online , http://www.box.net/shared/cqyu34izga tramadol dosage withdrawl , http://trig.com/vaniashani/biography tramadol cheap no fast prescription , http://trig.com/signejanessa/biography tramadol orders , http://trig.com/elzadamian/biography tramadol k-9 hcl , -- side effects tramadol?
- 2 , http://www.box.net/shared/g9fpy26mlr tramadol no fed-ex prescription , http://www.box.net/shared/osuiavetrc generic ultram tramadol , http://www.box.net/shared/ov5h9du2gb from buy tramadol dreampharm , http://trig.com/ingestacey/biography generic tramadol ultram , http://trig.com/alessandramona/biography hcl tramadol dosage , http://www.box.net/shared/os1b723opk tramadol hcl 50mg tab cara , http://www.box.net/shared/j8hc46365n tramadol saturday cod , http://trig.com/jenifferarnetta/biography buy prescription without tramadol , http://www.box.net/shared/04m298c5bs cheap tramadol 180 $75 for , http://trig.com/kortneywilburn/biography bilious tramadol online , -- tramadol dosage max?
- 4 , http://trig.com/marleenmariann/biography cheap tramadol day 2 shipping , http://www.box.net/shared/ypmege6s50 tramadol for dogs side effects , http://www.box.net/shared/1thrs9b14b order tramadol ultram , http://trig.com/katheytressa/biography tramadol side effects in dogs , http://trig.com/rhettmarcella/biography tramadol codeine , http://www.box.net/shared/e4iv8mgeby compare online tramadol price , http://www.box.net/shared/cqyu34izga dosage best tramadol , http://trig.com/vaniashani/biography tramadol pain killer a without prescription , http://trig.com/signejanessa/biography tramadol money with order , http://trig.com/elzadamian/biography what is tramadol hcl for used , -- ic tramadol hcl acetaminophen par?
- 4 , http://www.box.net/shared/g9fpy26mlr tramadol cheap prescription no , http://www.box.net/shared/osuiavetrc tramadol generic 25mg , http://www.box.net/shared/ov5h9du2gb buy tramadol online no prescription , http://trig.com/ingestacey/biography for generic tramadol , http://trig.com/alessandramona/biography usual tramadol dosage , http://www.box.net/shared/os1b723opk tramadol hcl tablets acetaminaphen , http://www.box.net/shared/j8hc46365n drug reactions and vicodin tramadol , http://trig.com/jenifferarnetta/biography ataxia es tramadol buy , http://www.box.net/shared/04m298c5bs cheap tramadol discount , http://trig.com/kortneywilburn/biography online tramadol sit , -- cheap tramadol site?
- 2 , http://trig.com/marleenmariann/biography cheapest tramadol without prescription , http://www.box.net/shared/ypmege6s50 side effects of tramadol in canines , http://www.box.net/shared/1thrs9b14b order cod tramadol , http://trig.com/katheytressa/biography tramadol side effects for dogs , http://trig.com/rhettmarcella/biography tramadol codes discount , http://www.box.net/shared/e4iv8mgeby roomed tramadol online , http://www.box.net/shared/cqyu34izga tramadol hydrochloride for dogs dosage , http://trig.com/vaniashani/biography tramadol cod no prescription , http://trig.com/signejanessa/biography is ordering online tramadol illigal , http://trig.com/elzadamian/biography ic tramadol acetaminophen hcl par , -- cheap overnight tramadol?
- 4 , http://www.box.net/shared/g9fpy26mlr prescription online tramadol , http://www.box.net/shared/osuiavetrc generic companies tramadol sale , http://www.box.net/shared/ov5h9du2gb buy online tramadol cod , http://trig.com/ingestacey/biography generic tramadol acetaminophen tablets , http://trig.com/alessandramona/biography tramadol dosage side effects , http://www.box.net/shared/os1b723opk tramadol hcl addictiion 50mg , http://www.box.net/shared/j8hc46365n cod order tramadol , http://trig.com/jenifferarnetta/biography buy tramadol money order , http://www.box.net/shared/04m298c5bs no prescription cheapest tramadol , http://trig.com/kortneywilburn/biography tramadol online delivery saturday , -- tramadol online backward?
- 2 , http://trig.com/marleenmariann/biography 120 cheap tramadol , http://www.box.net/shared/ypmege6s50 side effects feline tramadol cat , http://www.box.net/shared/1thrs9b14b is ordering online tramadol illigial , http://trig.com/katheytressa/biography tramadol side effects dogs for , http://trig.com/rhettmarcella/biography versus tramadol codine , http://www.box.net/shared/e4iv8mgeby tough tramadol online , http://www.box.net/shared/cqyu34izga tramadol dosage dogs for , http://trig.com/vaniashani/biography free tramadol no prescription , http://trig.com/signejanessa/biography tramadol pay by money order , http://trig.com/elzadamian/biography ic tramadol acetaminophen hcl par , -- cheap tramadol saturday overnight delivery?
- 4 , http://www.box.net/shared/g9fpy26mlr no prescription sales tramadol , http://www.box.net/shared/osuiavetrc generic cost tramadol , http://www.box.net/shared/ov5h9du2gb 4 tramadol buy , http://trig.com/ingestacey/biography list of drug companies generic tramadol , http://trig.com/alessandramona/biography can you increase tramadol dosage , http://www.box.net/shared/os1b723opk tramadol 50mr hcl , http://www.box.net/shared/j8hc46365n meds tramadol cod , http://trig.com/jenifferarnetta/biography buy from pharmcy tramadol , http://www.box.net/shared/04m298c5bs cheap tramadol day 2 shipping , http://trig.com/kortneywilburn/biography overnight tramadol online , -- using paypal to buy tramadol?
- 2 , http://trig.com/marleenmariann/biography cheap day next tramadol , http://www.box.net/shared/ypmege6s50 side effects tramadol medication , http://www.box.net/shared/1thrs9b14b order tramadol no prescription payment cod , http://trig.com/katheytressa/biography hydrocodone tramadol combination side effects , http://trig.com/rhettmarcella/biography tramadol with better vicodin high , http://www.box.net/shared/e4iv8mgeby buy tramadol online perscription without , http://www.box.net/shared/cqyu34izga usual dosage tramadol , http://trig.com/vaniashani/biography tramadol prescription no needed , http://trig.com/signejanessa/biography hsn order tramadol , http://trig.com/elzadamian/biography tramadol hcl tab 50mg mylan , -- dosage tramadol vs hydrocodone?
- 4 , http://www.box.net/shared/g9fpy26mlr tramadol without free prescription shipping , http://www.box.net/shared/osuiavetrc generic drug identification pill identifier tramadol , http://www.box.net/shared/ov5h9du2gb buy 180 tramadol ct , http://trig.com/ingestacey/biography generic tramadol ultram , http://trig.com/alessandramona/biography fatal tramadol dosage , http://www.box.net/shared/os1b723opk tramadol veterinary hcl , http://www.box.net/shared/j8hc46365n cod saturday tramadol delivery , http://trig.com/jenifferarnetta/biography buy add tramadol site , http://www.box.net/shared/04m298c5bs cheap india tramadol , http://trig.com/kortneywilburn/biography buy tramadol online pay by mastercard , -- is tramadol a hcl narcotic?
- 4 , http://trig.com/marleenmariann/biography tramadol cheap fast prescription no , http://www.box.net/shared/ypmege6s50 side effects of drug the tramadol , http://www.box.net/shared/1thrs9b14b tramadol money accept orders , http://trig.com/katheytressa/biography tramadol side effects canine , http://trig.com/rhettmarcella/biography cod meds online ultram tramadol , http://www.box.net/shared/e4iv8mgeby tramadol rx online life , http://www.box.net/shared/cqyu34izga tramadol dosage information , http://trig.com/vaniashani/biography cheap without tramadol prescription , http://trig.com/signejanessa/biography order mg 100 tramadol , http://trig.com/elzadamian/biography tramadol k-9 hcl , -- hydrocodone tramadol combination side effects?
- 4 , http://www.box.net/shared/g9fpy26mlr tramadol with no prescription , http://www.box.net/shared/osuiavetrc tramadol became on generic , http://www.box.net/shared/ov5h9du2gb career in finance tramadol buy , http://trig.com/ingestacey/biography tramadol became on generic , http://trig.com/alessandramona/biography highest recommended for dosage tramadol , http://www.box.net/shared/os1b723opk tramadol 50mg hcl tab , http://www.box.net/shared/j8hc46365n tramadol pay cod by , http://trig.com/jenifferarnetta/biography ultram buy tramadol , http://www.box.net/shared/04m298c5bs tramadol cheap that delivers arkansas to , http://trig.com/kortneywilburn/biography twinkling tramadol online , -- buy cheap tramadol online?
- 2 , http://trig.com/marleenmariann/biography tramadol cheapest overseas , http://www.box.net/shared/ypmege6s50 tramadol side effects in dogs , http://www.box.net/shared/1thrs9b14b ordering tramadol canada to , http://trig.com/katheytressa/biography tramadol dog side effects , http://trig.com/rhettmarcella/biography fedex overnight delivery ultram tramadol codeine , http://www.box.net/shared/e4iv8mgeby purchase tramadol online prescription without , http://www.box.net/shared/cqyu34izga tramadol dosage and administration , http://trig.com/vaniashani/biography canada pharmacy no tramadol prescription , http://trig.com/signejanessa/biography tramadol pay by order money , http://trig.com/elzadamian/biography tramadol hcl info , -- cheap tramadol 2 shipping day?
- 4 , http://www.box.net/shared/g9fpy26mlr purchase tramadol online without prescription , http://www.box.net/shared/osuiavetrc when did go tramadol generic , http://www.box.net/shared/ov5h9du2gb buy tramadol online free shipping , http://trig.com/ingestacey/biography list of generic companies sale tramadol , http://trig.com/alessandramona/biography fatal tramadol dosage , http://www.box.net/shared/os1b723opk tramadol hcl 50 arthritis mg , http://www.box.net/shared/j8hc46365n tramadol sites with cod delivery , http://trig.com/jenifferarnetta/biography buy ct 180 tramadol , http://www.box.net/shared/04m298c5bs 90 tramadol cheapest pills , http://trig.com/kortneywilburn/biography cheap tramadol prescriptions online , -- saturday delivery online tramadol?
- 3 , http://trig.com/marleenmariann/biography tramadol cheap sales , http://www.box.net/shared/ypmege6s50 benefits and side effects rx tramadol , http://www.box.net/shared/1thrs9b14b tramadol order site , http://trig.com/katheytressa/biography tramadol side effects head aches , http://trig.com/rhettmarcella/biography tramadol cod online shipping , http://www.box.net/shared/e4iv8mgeby tramadol online earnestly , http://www.box.net/shared/cqyu34izga proper dosage tramadol , http://trig.com/vaniashani/biography free tramadol no prescription , http://trig.com/signejanessa/biography tramadol metabolic and disorder , http://trig.com/elzadamian/biography tramadol hcl 50 for mg dogs , -- side effects of tramadol apap?
- 2 , http://www.box.net/shared/g9fpy26mlr tramadol no oline prescription , http://www.box.net/shared/osuiavetrc when did tramadol go generic , http://www.box.net/shared/ov5h9du2gb buy tramadol line on , http://trig.com/ingestacey/biography overseas tramadol generic , http://trig.com/alessandramona/biography tramadol hydrocodone chart dosage , http://www.box.net/shared/os1b723opk tramadol hcl 50 mg for dogs , http://www.box.net/shared/j8hc46365n tramadol with vicodin better high , http://trig.com/jenifferarnetta/biography tramadol no buy prescribtion , http://www.box.net/shared/04m298c5bs 90 tramadol cheapest pills , http://trig.com/kortneywilburn/biography tramadol online no fee consultation , -- buy tramadol online without perscription?
- 3 , http://trig.com/marleenmariann/biography buy tramadol cheap o , http://www.box.net/shared/ypmege6s50 side effects of on tramadol dogs , http://www.box.net/shared/1thrs9b14b tramadol by caraco back order , http://trig.com/katheytressa/biography side effects tramadol of apap , http://trig.com/rhettmarcella/biography rx cod tramadol , http://www.box.net/shared/e4iv8mgeby tramadol online delivery staturday , http://www.box.net/shared/cqyu34izga tramadol hydrocodone chart dosage , http://trig.com/vaniashani/biography tramadol non prescription , http://trig.com/signejanessa/biography tramadol accept money orders , http://trig.com/elzadamian/biography tramadol 200mg hcl about , -- order cheap tramadol prescription no needed?
- 4 , http://www.box.net/shared/rnqmokpg69 tramadol maximum dosage , http://www.box.net/shared/055v2t0i9v buy tramadol cash on delivery , http://www.box.net/shared/kb3lt2havi tramadol drug test , http://www.box.net/shared/eccbgnog7u hydrocodone tramadol taken together , http://www.box.net/shared/44irvnvrsa tramadol hydrochloride tablets label , http://www.box.net/shared/6cev6jaf3t pain medications without a prescription tramadol , http://www.box.net/shared/54iifxugl0 buy cheap tramadol online 35009 , http://www.box.net/shared/8lsga07ttf tramadol cods , http://www.box.net/shared/ahakoaft1l side effects of ultram tramadol , http://www.box.net/shared/pdx37utzxi all about tramadol kitchens , -- buy tramadol cheap online?
- 4 , http://www.box.net/shared/ias3cn35l0 tramadol 100 prices , http://www.box.net/shared/ydfoaafn8i tramadol 180 buy , http://www.box.net/shared/i77thrn7jy tramadol canada dosage cats , http://www.box.net/shared/ko3vqyhmid average costs for prescription tramadol , http://www.box.net/shared/acn7y8ded4 tramadol pill pictures , http://www.box.net/shared/ioyjzm3vkp tramadol overdose symptoms , http://www.box.net/shared/a0g09mi9ta tramadol side effects interactions , http://www.box.net/shared/9ola22l010 tramadol online next day , http://www.box.net/shared/xb4q3vbpr9 buy tramadol online without a prescription , http://www.box.net/shared/ac8gi87114 tramadol and eye disorders , -- tramadol er cost?
- 3 , http://www.box.net/shared/rnqmokpg69 tramadol recreational dosage , http://www.box.net/shared/055v2t0i9v tramadol overnight delivery online prescription , http://www.box.net/shared/kb3lt2havi tramadol urine drug screen , http://www.box.net/shared/eccbgnog7u getting high with tramadol hcl , http://www.box.net/shared/44irvnvrsa generic tramadol tablet , http://www.box.net/shared/6cev6jaf3t tramadol cause abdominal pain cramps , http://www.box.net/shared/54iifxugl0 buy cheap tramadol online tramadol , http://www.box.net/shared/8lsga07ttf hydrocodon loratab loritab tramadol , http://www.box.net/shared/ahakoaft1l tramadol ultram allergy side-effects sensitivities , http://www.box.net/shared/pdx37utzxi all about tramadol depend , -- all about tramadol circumstances?
- 3 , http://www.box.net/shared/ias3cn35l0 best tramadol prices , http://www.box.net/shared/ydfoaafn8i buy tramadol 30 day credit , http://www.box.net/shared/i77thrn7jy tramadol canada dosage feline , http://www.box.net/shared/ko3vqyhmid average cost of tramadol , http://www.box.net/shared/acn7y8ded4 180 tramadol pills , http://www.box.net/shared/ioyjzm3vkp veterinary dose of tramadol , http://www.box.net/shared/a0g09mi9ta tramadol side effects head aches , http://www.box.net/shared/9ola22l010 tramadol purchase online , http://www.box.net/shared/xb4q3vbpr9 tramadol without a prescription , http://www.box.net/shared/ac8gi87114 ordering tramadol cod , -- where can i buy tramadol?
- 2 , http://www.box.net/shared/rnqmokpg69 dosage of tramadol in cats , http://www.box.net/shared/055v2t0i9v tramadol no prescription overnight delivery , http://www.box.net/shared/kb3lt2havi tramadol 50 drug information , http://www.box.net/shared/eccbgnog7u promethazine tramadol safe together , http://www.box.net/shared/44irvnvrsa tramadol tablet identification , http://www.box.net/shared/6cev6jaf3t side effects of tramadol painkiller , http://www.box.net/shared/54iifxugl0 q cheapest tramadol drugstore a img , http://www.box.net/shared/8lsga07ttf tramadol vicodin , http://www.box.net/shared/ahakoaft1l tramadol effects 50mg , http://www.box.net/shared/pdx37utzxi all about tramadol covetous , -- tramadol get you high?
- 4 , http://www.box.net/shared/ias3cn35l0 best tramadol prices , http://www.box.net/shared/ydfoaafn8i buy tramadol with an e check , http://www.box.net/shared/i77thrn7jy canada pharmacy tramadol , http://www.box.net/shared/ko3vqyhmid generic tramadol cost , http://www.box.net/shared/acn7y8ded4 what does tramadol pills look like , http://www.box.net/shared/ioyjzm3vkp tramadol symtoms of overdose , http://www.box.net/shared/a0g09mi9ta tramadol for dogs side effects , http://www.box.net/shared/9ola22l010 cod meds online tramadol ultram , http://www.box.net/shared/xb4q3vbpr9 no prescription cheapest tramadol , http://www.box.net/shared/ac8gi87114 order tramadols , -- tramadol pill with markings an627?
- 4 , http://www.box.net/shared/rnqmokpg69 tramadol dosage and administration , http://www.box.net/shared/055v2t0i9v tramadol for staurday delivery , http://www.box.net/shared/kb3lt2havi drug interactions for tramadol er , http://www.box.net/shared/eccbgnog7u get high on tramadol , http://www.box.net/shared/44irvnvrsa tramadol 4 50mg tablets , http://www.box.net/shared/6cev6jaf3t tramadol for multiple sclerosis pain , http://www.box.net/shared/54iifxugl0 q cheapest tramadol drugstore a img , http://www.box.net/shared/8lsga07ttf tramadol vs vicodin and strength , http://www.box.net/shared/ahakoaft1l tramadol side effects of liver , http://www.box.net/shared/pdx37utzxi all about tramadol could , -- site about tramadol sends?
- 4 , http://www.box.net/shared/ias3cn35l0 buy tramadol lowest price , http://www.box.net/shared/ydfoaafn8i buying tramadol , http://www.box.net/shared/i77thrn7jy is tramadol available in canada , http://www.box.net/shared/ko3vqyhmid tramadol 180 count cost , http://www.box.net/shared/acn7y8ded4 100 pill tramadol , http://www.box.net/shared/ioyjzm3vkp drugs lethal dose tramadol , http://www.box.net/shared/a0g09mi9ta drug side effects blood clots tramadol , http://www.box.net/shared/9ola22l010 is ordering tramadol online illigal , http://www.box.net/shared/xb4q3vbpr9 cheapest tramadol without prescription , http://www.box.net/shared/ac8gi87114 ordering tramadol only , -- buy tramadol cheap?
- 2 , http://www.box.net/shared/rnqmokpg69 tramadol dosage and side effects , http://www.box.net/shared/055v2t0i9v no prescription saturday delivery tramadol , http://www.box.net/shared/kb3lt2havi tramadol drug test times , http://www.box.net/shared/eccbgnog7u does tramadol get you high , http://www.box.net/shared/44irvnvrsa medication called tramadol 50mgs tablet s , http://www.box.net/shared/6cev6jaf3t tramadol medication painkiller rheumatology , http://www.box.net/shared/54iifxugl0 cheap tramadol cod delivery , http://www.box.net/shared/8lsga07ttf tramadol cod 180 , http://www.box.net/shared/ahakoaft1l side effects from tramadol tab 50mg , http://www.box.net/shared/pdx37utzxi all about tramadol circumstances , -- tramadol nipple pain?
- 4 , http://www.box.net/shared/ias3cn35l0 lowest price of tramadol , http://www.box.net/shared/ydfoaafn8i pharmacy tech resume buy tramadol now , http://www.box.net/shared/i77thrn7jy canada order tramadol online , http://www.box.net/shared/ko3vqyhmid cost of tramadol , http://www.box.net/shared/acn7y8ded4 tramadol pill with markings an627 , http://www.box.net/shared/ioyjzm3vkp dog dose of tramadol , http://www.box.net/shared/a0g09mi9ta side effects of the drug tramadol , http://www.box.net/shared/9ola22l010 tramadol showed online , http://www.box.net/shared/xb4q3vbpr9 tramadol no prescription dea , http://www.box.net/shared/ac8gi87114 tramadol cod order , -- tramadol prices?
- 4 , http://www.box.net/shared/rnqmokpg69 dosage of tramadol , http://www.box.net/shared/055v2t0i9v tramadol no prescription overnight delivery , http://www.box.net/shared/kb3lt2havi what drug class is tramadol , http://www.box.net/shared/eccbgnog7u is tramadol and avinza together bad , http://www.box.net/shared/44irvnvrsa tramadol 180 tablets , http://www.box.net/shared/6cev6jaf3t medication pain tramadol , http://www.box.net/shared/54iifxugl0 tramadol cod cheap saturday , http://www.box.net/shared/8lsga07ttf taking tramadol with vicoden , http://www.box.net/shared/ahakoaft1l tramadol pain pill side effects , http://www.box.net/shared/pdx37utzxi all about tramadol repent , -- tramadol hydrochloride tablets label?
- 4 , http://www.box.net/shared/ias3cn35l0 compare online price tramadol , http://www.box.net/shared/ydfoaafn8i buy tramadol rss feed , http://www.box.net/shared/i77thrn7jy tramadol fast from canada , http://www.box.net/shared/ko3vqyhmid cost tramadol , http://www.box.net/shared/acn7y8ded4 180 tramadol pills , http://www.box.net/shared/ioyjzm3vkp lethal dose tramadol hcl 50 mg , http://www.box.net/shared/a0g09mi9ta tramadol side effects in humans , http://www.box.net/shared/9ola22l010 buy tramadol online pharmacy online , http://www.box.net/shared/xb4q3vbpr9 cheap non prescription tramadol , http://www.box.net/shared/ac8gi87114 tramadol orders , -- tramadol dose?
- 4 , http://www.box.net/shared/rnqmokpg69 tramadol dogs canine dosage , http://www.box.net/shared/055v2t0i9v no prescription saturday delivery tramadol , http://www.box.net/shared/kb3lt2havi tramadol classified drug , http://www.box.net/shared/eccbgnog7u tramadol and volteren together , http://www.box.net/shared/44irvnvrsa tramadol 50mg generic tablet , http://www.box.net/shared/6cev6jaf3t side effects of tramadol painkiller , http://www.box.net/shared/54iifxugl0 tramadol cheap cod , http://www.box.net/shared/8lsga07ttf vicodin versus tramadol , http://www.box.net/shared/ahakoaft1l is tramadol effective for dog pain , http://www.box.net/shared/pdx37utzxi site about tramadol , -- prescriptions cheap tramadol online?
- 4 , http://www.box.net/shared/ias3cn35l0 best price tramadol , http://www.box.net/shared/ydfoaafn8i buy from pharmcy tramadol , http://www.box.net/shared/i77thrn7jy canada pharmacy tramadol no prescription , http://www.box.net/shared/ko3vqyhmid cost of tramadol versus ultram er , http://www.box.net/shared/acn7y8ded4 tramadol pain pill , http://www.box.net/shared/ioyjzm3vkp maximum dose tramadol , http://www.box.net/shared/a0g09mi9ta tramadol ultram allergy side-effects sensitivities , http://www.box.net/shared/9ola22l010 tramadol medication online , http://www.box.net/shared/xb4q3vbpr9 tramadol no prescription us pharmacy , http://www.box.net/shared/ac8gi87114 cod order tramadol , -- tramadol pain pill side effects?
- 3 , http://www.box.net/shared/rnqmokpg69 tramadol hcl dosage , http://www.box.net/shared/055v2t0i9v tramadol cod saturday delivery , http://www.box.net/shared/kb3lt2havi tramadol drug interaction , http://www.box.net/shared/eccbgnog7u get tramadol , http://www.box.net/shared/44irvnvrsa tramadol 50 mg tablets , http://www.box.net/shared/6cev6jaf3t tramadol kidney pain symptoms , http://www.box.net/shared/54iifxugl0 tramadol cheap that delivers to arkansas , http://www.box.net/shared/8lsga07ttf tramadol shipped cod , http://www.box.net/shared/ahakoaft1l tramadol hcl 50mg side effects , http://www.box.net/shared/pdx37utzxi site about tramadol executed , -- all about tramadol circumstances?
- 2 , http://www.box.net/shared/ias3cn35l0 best price thailand tramadol , http://www.box.net/shared/ydfoaafn8i buy cheap tramadol tramadol ultram , http://www.box.net/shared/i77thrn7jy canada order tramadol online , http://www.box.net/shared/ko3vqyhmid cost low tramadol , http://www.box.net/shared/acn7y8ded4 tramadol pill identifier , http://www.box.net/shared/ioyjzm3vkp fatal overdose tramadol , http://www.box.net/shared/a0g09mi9ta mix phenergan tramadol side effects , http://www.box.net/shared/9ola22l010 tramadol order online , http://www.box.net/shared/xb4q3vbpr9 prescriptions cheap tramadol online , http://www.box.net/shared/ac8gi87114 order tramadol ultram , -- i've taken 300 mg tramadol dose?
- 3 , http://www.box.net/shared/rnqmokpg69 tramadol recreational dosage , http://www.box.net/shared/055v2t0i9v fedex overnight delivery codeine ultram tramadol , http://www.box.net/shared/kb3lt2havi generic drug identification pill identifier tramadol , http://www.box.net/shared/eccbgnog7u does rectal tramadol get you high , http://www.box.net/shared/44irvnvrsa tramadol 20 mg tablets , http://www.box.net/shared/6cev6jaf3t tramadol for dog pain , http://www.box.net/shared/54iifxugl0 tramadol cheap prescription , http://www.box.net/shared/8lsga07ttf ativan tramadol hydrocodone alcohol , http://www.box.net/shared/ahakoaft1l can tramadol have sexual side effects , http://www.box.net/shared/pdx37utzxi site about tramadol quiver , -- blood drug test tramadol?
- 3 , http://www.box.net/shared/ias3cn35l0 best prices for tramadol online , http://www.box.net/shared/ydfoaafn8i buy tramadol with mastercard , http://www.box.net/shared/i77thrn7jy ordering tramadol to canada , http://www.box.net/shared/ko3vqyhmid lowest cost for veterinarian tramadol , http://www.box.net/shared/acn7y8ded4 what does the pill tramadol do , http://www.box.net/shared/ioyjzm3vkp tramadol overdose treatment , http://www.box.net/shared/a0g09mi9ta tramadol side effects for dogs , http://www.box.net/shared/9ola22l010 buy online no tramadol prescription , http://www.box.net/shared/xb4q3vbpr9 cheap non prescription tramadol , http://www.box.net/shared/ac8gi87114 order tramadol site , -- tramadol hydrochloride best price?
- 4 , http://www.box.net/shared/rnqmokpg69 tramadol human dosage , http://www.box.net/shared/055v2t0i9v tramadol online staturday delivery , http://www.box.net/shared/kb3lt2havi side effects of the drug tramadol , http://www.box.net/shared/eccbgnog7u tramadol get high , http://www.box.net/shared/44irvnvrsa tramadol time release tablets , http://www.box.net/shared/6cev6jaf3t tramadol nipple pain , http://www.box.net/shared/54iifxugl0 cheap tramadol cod saturday delivery , http://www.box.net/shared/8lsga07ttf tramadol combined with codeine , http://www.box.net/shared/ahakoaft1l is tramadol effective for dog pain , http://www.box.net/shared/pdx37utzxi site about tramadol coaxing , -- all about tramadol?
- 4 , http://www.box.net/shared/ias3cn35l0 tramadol lowest price , http://www.box.net/shared/ydfoaafn8i can you buy tramadol in tijuana , http://www.box.net/shared/i77thrn7jy ordering tramadol to canada , http://www.box.net/shared/ko3vqyhmid cost tramadol , http://www.box.net/shared/acn7y8ded4 cold water pill extraction tramadol , http://www.box.net/shared/ioyjzm3vkp tramadol doseage , http://www.box.net/shared/a0g09mi9ta tramadol side effects in humans , http://www.box.net/shared/9ola22l010 buy tramadol online a href , http://www.box.net/shared/xb4q3vbpr9 canada pharmacy tramadol no prescription , http://www.box.net/shared/ac8gi87114 cod tramadol orders , -- average cost of tramadol?
- 4 , http://www.veoh.com/forum/showthread.php/1185-Cheap-tramadol-(October-2010) cheapest prescriptions tramadol , http://www.veoh.com/forum/showthread.php/1187-Tramadol-online-(October-2010) is ordering tramadol online illigial , http://www.veoh.com/forum/showthread.php/1189-Buy-tramadol-(October-2010) ataxia es tramadol buy , http://www.veoh.com/forum/showthread.php/1190-Tramadol-hcl-(October-2010) matrix tramadol 50 hcl mg , http://www.veoh.com/forum/showthread.php/1191-Tramadol-prescription-(October-2010) no prescription tramadol online pharmacy , http://www.veoh.com/forum/showthread.php/1192-Tramadol-cod-(October-2010) cod orders tramadol , http://www.veoh.com/forum/showthread.php/1193-Tramadol-side-effects-(October-2010) side effects of tramadol in dogs , http://www.veoh.com/forum/showthread.php/1195-Order-tramadol-(October-2010) $85 reorder tramadol , http://www.veoh.com/forum/showthread.php/1197-Tramadol-generic-(October-2010) list of generic companies tramadol sale , http://www.veoh.com/forum/showthread.php/1198-Tramadol-dosage-(October-2010) veterinary dosage for tramadol , -- cheap tramadol $65 free with shipping?
- 4 , http://www.veoh.com/forum/showthread.php/1165-Cheap-tramadol-(October-2010) cheap tramadol without prescription a , http://www.veoh.com/forum/showthread.php/1169-Tramadol-online-(October-2010) buy tramadol online pharmacy saturday delivery , http://www.veoh.com/forum/showthread.php/1171-Buy-tramadol-(October-2010) using paypal to tramadol buy , http://www.veoh.com/forum/showthread.php/1172-Tramadol-hcl-(October-2010) tramadol hcl purchase , http://www.veoh.com/forum/showthread.php/1175-Tramadol-prescription-(October-2010) discount tramadol no prescription , http://www.veoh.com/forum/showthread.php/1176-Tramadol-cod-(October-2010) tramadol buy cod pay , http://www.veoh.com/forum/showthread.php/1178-Tramadol-side-effects-(October-2010) tramadol side effects in dogs , http://www.veoh.com/forum/showthread.php/1179-Order-tramadol-(October-2010) tramadol bipolar and disorder , http://www.veoh.com/forum/showthread.php/1181-Tramadol-generic-(October-2010) generic sale companies tramadol , http://www.veoh.com/forum/showthread.php/1183-Tramadol-dosage-(October-2010) tramadol and veterinary dosage , -- cod tramadol fedex online?
- 2 , http://www.veoh.com/forum/showthread.php/1185-Cheap-tramadol-(October-2010) cheap tramadol site , http://www.veoh.com/forum/showthread.php/1187-Tramadol-online-(October-2010) tramadol rx life online , http://www.veoh.com/forum/showthread.php/1189-Buy-tramadol-(October-2010) buy no tramadol perscription , http://www.veoh.com/forum/showthread.php/1190-Tramadol-hcl-(October-2010) ic tramadol hcl , http://www.veoh.com/forum/showthread.php/1191-Tramadol-prescription-(October-2010) tramadol no prescription saturday , http://www.veoh.com/forum/showthread.php/1192-Tramadol-cod-(October-2010) tramadol cod no prescription , http://www.veoh.com/forum/showthread.php/1193-Tramadol-side-effects-(October-2010) tramadol side effects liver of , http://www.veoh.com/forum/showthread.php/1195-Order-tramadol-(October-2010) order tramadol no cod prescription payment , http://www.veoh.com/forum/showthread.php/1197-Tramadol-generic-(October-2010) what is generic tramadol for , http://www.veoh.com/forum/showthread.php/1198-Tramadol-dosage-(October-2010) 50mg tramadol dosage , -- free tramadol no prescription?
- 4 , http://www.veoh.com/forum/showthread.php/1185-Cheap-tramadol-(October-2010) cheap tramadol no prescription overnight , http://www.veoh.com/forum/showthread.php/1187-Tramadol-online-(October-2010) canadian pharmacy tramadol online , http://www.veoh.com/forum/showthread.php/1189-Buy-tramadol-(October-2010) buying tramadol online legal , http://www.veoh.com/forum/showthread.php/1190-Tramadol-hcl-(October-2010) tramadol hcl tab 50 mg , http://www.veoh.com/forum/showthread.php/1191-Tramadol-prescription-(October-2010) tramadol non prescription , http://www.veoh.com/forum/showthread.php/1192-Tramadol-cod-(October-2010) tramadol vicodin , http://www.veoh.com/forum/showthread.php/1193-Tramadol-side-effects-(October-2010) tramadol hcl side effects , http://www.veoh.com/forum/showthread.php/1195-Order-tramadol-(October-2010) order cod tramadol , http://www.veoh.com/forum/showthread.php/1197-Tramadol-generic-(October-2010) ultram tramadol generic , http://www.veoh.com/forum/showthread.php/1198-Tramadol-dosage-(October-2010) of dosages tramadol , -- side effects of tramadol in dogs?
- 2 , http://www.veoh.com/forum/showthread.php/1165-Cheap-tramadol-(October-2010) buy online tramadol cheap , http://www.veoh.com/forum/showthread.php/1169-Tramadol-online-(October-2010) online pharmacies tramadol , http://www.veoh.com/forum/showthread.php/1171-Buy-tramadol-(October-2010) buy cheap omw tramadol , http://www.veoh.com/forum/showthread.php/1172-Tramadol-hcl-(October-2010) tramadol hcl 50 mg tablet tev , http://www.veoh.com/forum/showthread.php/1175-Tramadol-prescription-(October-2010) tramadol no prescription pharmacy us , http://www.veoh.com/forum/showthread.php/1176-Tramadol-cod-(October-2010) hydrocodone tramadol side combonation effects , http://www.veoh.com/forum/showthread.php/1178-Tramadol-side-effects-(October-2010) side effects of in tramadol canines , http://www.veoh.com/forum/showthread.php/1179-Order-tramadol-(October-2010) buy tramadol order by 3pm , http://www.veoh.com/forum/showthread.php/1181-Tramadol-generic-(October-2010) generics tramadol , http://www.veoh.com/forum/showthread.php/1183-Tramadol-dosage-(October-2010) drug tramadol dosage by weight , -- tramadol prescription times expiration?
- 3 , http://www.veoh.com/forum/showthread.php/1185-Cheap-tramadol-(October-2010) purchase tramadol cheap , http://www.veoh.com/forum/showthread.php/1187-Tramadol-online-(October-2010) buy tramadol cod online , http://www.veoh.com/forum/showthread.php/1189-Buy-tramadol-(October-2010) buy online no prescription tramadol , http://www.veoh.com/forum/showthread.php/1190-Tramadol-hcl-(October-2010) tramadol hcl 50 mg ingredients active , http://www.veoh.com/forum/showthread.php/1191-Tramadol-prescription-(October-2010) is a prescription required tramadol for , http://www.veoh.com/forum/showthread.php/1192-Tramadol-cod-(October-2010) and codeine tramadol , http://www.veoh.com/forum/showthread.php/1193-Tramadol-side-effects-(October-2010) tramadol hcl-acetaminophen side effects , http://www.veoh.com/forum/showthread.php/1195-Order-tramadol-(October-2010) free shipping tramadol on orders , http://www.veoh.com/forum/showthread.php/1197-Tramadol-generic-(October-2010) tramadol generic cost , http://www.veoh.com/forum/showthread.php/1198-Tramadol-dosage-(October-2010) usual dosage tramadol , -- tramadol oline no prescription?
- 4 , http://www.veoh.com/forum/showthread.php/1165-Cheap-tramadol-(October-2010) prescriptions cheap online tramadol , http://www.veoh.com/forum/showthread.php/1169-Tramadol-online-(October-2010) usa online pharmacies who tramadol sell , http://www.veoh.com/forum/showthread.php/1171-Buy-tramadol-(October-2010) buy cheap tramadol o , http://www.veoh.com/forum/showthread.php/1172-Tramadol-hcl-(October-2010) tramadol hcl generic 50mg for , http://www.veoh.com/forum/showthread.php/1175-Tramadol-prescription-(October-2010) no prescription drugstore tramadol , http://www.veoh.com/forum/showthread.php/1176-Tramadol-cod-(October-2010) buy tramadol cod states 50 , http://www.veoh.com/forum/showthread.php/1178-Tramadol-side-effects-(October-2010) side effects of tramadol dogs for , http://www.veoh.com/forum/showthread.php/1179-Order-tramadol-(October-2010) cod orders tramadol , http://www.veoh.com/forum/showthread.php/1181-Tramadol-generic-(October-2010) list of generic sale companies tramadol , http://www.veoh.com/forum/showthread.php/1183-Tramadol-dosage-(October-2010) tramadol dosage canine , -- ultram generic tramadol?
- 4 , http://www.veoh.com/forum/showthread.php/1185-Cheap-tramadol-(October-2010) tramadol cheapest us price online buy , http://www.veoh.com/forum/showthread.php/1187-Tramadol-online-(October-2010) online cod tramadol , http://www.veoh.com/forum/showthread.php/1189-Buy-tramadol-(October-2010) buy pills online tramadol , http://www.veoh.com/forum/showthread.php/1190-Tramadol-hcl-(October-2010) tramadol hcl generic 50mg for , http://www.veoh.com/forum/showthread.php/1191-Tramadol-prescription-(October-2010) no prescription ups tramadol delivered , http://www.veoh.com/forum/showthread.php/1192-Tramadol-cod-(October-2010) hydrocodone tramadol interaction , http://www.veoh.com/forum/showthread.php/1193-Tramadol-side-effects-(October-2010) side effects of and tramadol alcohol , http://www.veoh.com/forum/showthread.php/1195-Order-tramadol-(October-2010) canada order online tramadol , http://www.veoh.com/forum/showthread.php/1197-Tramadol-generic-(October-2010) order cheap generic tramadol online , http://www.veoh.com/forum/showthread.php/1198-Tramadol-dosage-(October-2010) tramadol dosage 50mg , -- canadian pharmacy tramadol online?
- 4 , http://www.veoh.com/forum/showthread.php/1165-Cheap-tramadol-(October-2010) cheap tramadol 2 day shipping , http://www.veoh.com/forum/showthread.php/1169-Tramadol-online-(October-2010) buy tramadol online perscription without , http://www.veoh.com/forum/showthread.php/1171-Buy-tramadol-(October-2010) buy tramadol dog uk , http://www.veoh.com/forum/showthread.php/1172-Tramadol-hcl-(October-2010) tramadol hcl 50 mg arthritis , http://www.veoh.com/forum/showthread.php/1175-Tramadol-prescription-(October-2010) prescription free tramadol , http://www.veoh.com/forum/showthread.php/1176-Tramadol-cod-(October-2010) codeine and tramadol , http://www.veoh.com/forum/showthread.php/1178-Tramadol-side-effects-(October-2010) side effects of drug the tramadol , http://www.veoh.com/forum/showthread.php/1179-Order-tramadol-(October-2010) tramadol overnight order , http://www.veoh.com/forum/showthread.php/1181-Tramadol-generic-(October-2010) when did go tramadol generic , http://www.veoh.com/forum/showthread.php/1183-Tramadol-dosage-(October-2010) dosage of in tramadol cats , -- tramadol hcl-acetaminophen effects side?
- 4 , http://www.veoh.com/forum/showthread.php/1185-Cheap-tramadol-(October-2010) prescriptions cheap tramadol online , http://www.veoh.com/forum/showthread.php/1187-Tramadol-online-(October-2010) purchase online tramadol , http://www.veoh.com/forum/showthread.php/1189-Buy-tramadol-(October-2010) risk of buying online tramadol , http://www.veoh.com/forum/showthread.php/1190-Tramadol-hcl-(October-2010) tramadol hcl 50 mg tablet tev , http://www.veoh.com/forum/showthread.php/1191-Tramadol-prescription-(October-2010) order tramadol prescription without , http://www.veoh.com/forum/showthread.php/1192-Tramadol-cod-(October-2010) tramadol and taken hydrocodone together , http://www.veoh.com/forum/showthread.php/1193-Tramadol-side-effects-(October-2010) side effects tramadol feline cat , http://www.veoh.com/forum/showthread.php/1195-Order-tramadol-(October-2010) tramadol cod order overnight , http://www.veoh.com/forum/showthread.php/1197-Tramadol-generic-(October-2010) generic tramadol for , http://www.veoh.com/forum/showthread.php/1198-Tramadol-dosage-(October-2010) tramadol and veterinary dosage , -- buy online tramadol no prescription?
- 3 , http://www.veoh.com/forum/showthread.php/1165-Cheap-tramadol-(October-2010) cheap very tramadol , http://www.veoh.com/forum/showthread.php/1169-Tramadol-online-(October-2010) discount online tramadol , http://www.veoh.com/forum/showthread.php/1171-Buy-tramadol-(October-2010) tramadol buy capsules , http://www.veoh.com/forum/showthread.php/1172-Tramadol-hcl-(October-2010) tramadol hcl tablet 50mg myl , http://www.veoh.com/forum/showthread.php/1175-Tramadol-prescription-(October-2010) tramadol without prescription and shipping free , http://www.veoh.com/forum/showthread.php/1176-Tramadol-cod-(October-2010) order tramadol no cod prescription payment , http://www.veoh.com/forum/showthread.php/1178-Tramadol-side-effects-(October-2010) side effects tramadol dog , http://www.veoh.com/forum/showthread.php/1179-Order-tramadol-(October-2010) orders tramadol , http://www.veoh.com/forum/showthread.php/1181-Tramadol-generic-(October-2010) tramadol generic , http://www.veoh.com/forum/showthread.php/1183-Tramadol-dosage-(October-2010) dosages tramadol info , -- free shipping on orders tramadol?
- 3 , http://www.veoh.com/forum/showthread.php/1185-Cheap-tramadol-(October-2010) buy cheap o tramadol , http://www.veoh.com/forum/showthread.php/1187-Tramadol-online-(October-2010) tramadol online next day , http://www.veoh.com/forum/showthread.php/1189-Buy-tramadol-(October-2010) buy desmethyl tramadol , http://www.veoh.com/forum/showthread.php/1190-Tramadol-hcl-(October-2010) tramadol hcl tablets acetaminaphen , http://www.veoh.com/forum/showthread.php/1191-Tramadol-prescription-(October-2010) tramadol prescription without , http://www.veoh.com/forum/showthread.php/1192-Tramadol-cod-(October-2010) medicine cod tramadol , http://www.veoh.com/forum/showthread.php/1193-Tramadol-side-effects-(October-2010) tramadol for canines side effects , http://www.veoh.com/forum/showthread.php/1195-Order-tramadol-(October-2010) cod orders tramadol , http://www.veoh.com/forum/showthread.php/1197-Tramadol-generic-(October-2010) list of drug companies tramadol generic , http://www.veoh.com/forum/showthread.php/1198-Tramadol-dosage-(October-2010) dosage tramadol vs hydrocodone , -- where can buy i tramadol?
- 3 , http://www.veoh.com/forum/showthread.php/1165-Cheap-tramadol-(October-2010) cheap tramadol with free overnight shipping , http://www.veoh.com/forum/showthread.php/1169-Tramadol-online-(October-2010) tramadol sorry online , http://www.veoh.com/forum/showthread.php/1171-Buy-tramadol-(October-2010) tramadol buy cod , http://www.veoh.com/forum/showthread.php/1172-Tramadol-hcl-(October-2010) tramadol for hcl dog , http://www.veoh.com/forum/showthread.php/1175-Tramadol-prescription-(October-2010) free tramadol prescription no , http://www.veoh.com/forum/showthread.php/1176-Tramadol-cod-(October-2010) mixing tramadol oxycodone , http://www.veoh.com/forum/showthread.php/1178-Tramadol-side-effects-(October-2010) tramadol side effects liver of , http://www.veoh.com/forum/showthread.php/1179-Order-tramadol-(October-2010) $85 tramadol reorder , http://www.veoh.com/forum/showthread.php/1181-Tramadol-generic-(October-2010) list of generic sale companies tramadol , http://www.veoh.com/forum/showthread.php/1183-Tramadol-dosage-(October-2010) dog dosage tramadol , -- tramadol dosage 50mg?
- 4 , http://www.veoh.com/forum/showthread.php/1185-Cheap-tramadol-(October-2010) cheap cod tramadol delivery , http://www.veoh.com/forum/showthread.php/1187-Tramadol-online-(October-2010) interrupting tramadol online , http://www.veoh.com/forum/showthread.php/1189-Buy-tramadol-(October-2010) buy tramadol online now , http://www.veoh.com/forum/showthread.php/1190-Tramadol-hcl-(October-2010) tramadol hcl for dogs effects side , http://www.veoh.com/forum/showthread.php/1191-Tramadol-prescription-(October-2010) no prescription next delivery day tramadol , http://www.veoh.com/forum/showthread.php/1192-Tramadol-cod-(October-2010) tramadol used for from withdrawals oxycodone , http://www.veoh.com/forum/showthread.php/1193-Tramadol-side-effects-(October-2010) side effects tramadol dog , http://www.veoh.com/forum/showthread.php/1195-Order-tramadol-(October-2010) keyword free shipping on orders tramadol , http://www.veoh.com/forum/showthread.php/1197-Tramadol-generic-(October-2010) generic acetaminophen tramadol tablets , http://www.veoh.com/forum/showthread.php/1198-Tramadol-dosage-(October-2010) tramadol dosage hydrocodone chart , -- tramadol no required prescription?
- 2 , http://www.veoh.com/forum/showthread.php/1165-Cheap-tramadol-(October-2010) pharmacy tech career cheap tramadol , http://www.veoh.com/forum/showthread.php/1169-Tramadol-online-(October-2010) buy online tramadol cod , http://www.veoh.com/forum/showthread.php/1171-Buy-tramadol-(October-2010) buy online tramadol aramex , http://www.veoh.com/forum/showthread.php/1172-Tramadol-hcl-(October-2010) tramadol hcl drug study , http://www.veoh.com/forum/showthread.php/1175-Tramadol-prescription-(October-2010) cheap no tramadol prescription , http://www.veoh.com/forum/showthread.php/1176-Tramadol-cod-(October-2010) tramadol taken hydrocodone together , http://www.veoh.com/forum/showthread.php/1178-Tramadol-side-effects-(October-2010) side effects tramadol feline cat , http://www.veoh.com/forum/showthread.php/1179-Order-tramadol-(October-2010) order tramadol no prescription payment cod , http://www.veoh.com/forum/showthread.php/1181-Tramadol-generic-(October-2010) jolliette generic tramadol , http://www.veoh.com/forum/showthread.php/1183-Tramadol-dosage-(October-2010) canine tramadol dosages , -- tramadol hydrocodone comparison?
- 3 , http://www.veoh.com/forum/showthread.php/1185-Cheap-tramadol-(October-2010) tramadol cheap rx no overnight , http://www.veoh.com/forum/showthread.php/1187-Tramadol-online-(October-2010) tramadol online to florida mastercard with , http://www.veoh.com/forum/showthread.php/1189-Buy-tramadol-(October-2010) 4 tramadol buy , http://www.veoh.com/forum/showthread.php/1190-Tramadol-hcl-(October-2010) tramadol 200mg hcl , http://www.veoh.com/forum/showthread.php/1191-Tramadol-prescription-(October-2010) tramadol without 100 prescription mg , http://www.veoh.com/forum/showthread.php/1192-Tramadol-cod-(October-2010) tramadol 180 cod feww ahipping , http://www.veoh.com/forum/showthread.php/1193-Tramadol-side-effects-(October-2010) tramadol dogs side effects , http://www.veoh.com/forum/showthread.php/1195-Order-tramadol-(October-2010) $85 tramadol reorder , http://www.veoh.com/forum/showthread.php/1197-Tramadol-generic-(October-2010) generic companies tramadol sale , http://www.veoh.com/forum/showthread.php/1198-Tramadol-dosage-(October-2010) tramadol dosage maximum , -- cheap cod tramadol 89.00?
- 4 , http://www.veoh.com/forum/showthread.php/1165-Cheap-tramadol-(October-2010) buy tramadol at cheap online price , http://www.veoh.com/forum/showthread.php/1169-Tramadol-online-(October-2010) is ordering tramadol illigial online , http://www.veoh.com/forum/showthread.php/1171-Buy-tramadol-(October-2010) buy cod tramadol , http://www.veoh.com/forum/showthread.php/1172-Tramadol-hcl-(October-2010) tramadol hcl info , http://www.veoh.com/forum/showthread.php/1175-Tramadol-prescription-(October-2010) usa no tramadol prescription , http://www.veoh.com/forum/showthread.php/1176-Tramadol-cod-(October-2010) tramadol and addiction hydrocodone , http://www.veoh.com/forum/showthread.php/1178-Tramadol-side-effects-(October-2010) tramadol side effects liver of , http://www.veoh.com/forum/showthread.php/1179-Order-tramadol-(October-2010) tramadol by back caraco order , http://www.veoh.com/forum/showthread.php/1181-Tramadol-generic-(October-2010) strongest generic of tramadol , http://www.veoh.com/forum/showthread.php/1183-Tramadol-dosage-(October-2010) tramadol hydrochloride dosage canine , -- 90 tramadol pills cheapest?
- 3 , http://www.veoh.com/forum/showthread.php/1185-Cheap-tramadol-(October-2010) cheap tramadol , http://www.veoh.com/forum/showthread.php/1187-Tramadol-online-(October-2010) order tramadol online cod , http://www.veoh.com/forum/showthread.php/1189-Buy-tramadol-(October-2010) buy retard tramadol , http://www.veoh.com/forum/showthread.php/1190-Tramadol-hcl-(October-2010) tramadol 37.5mg hcl , http://www.veoh.com/forum/showthread.php/1191-Tramadol-prescription-(October-2010) no prescription pharmacy tramadol online , http://www.veoh.com/forum/showthread.php/1192-Tramadol-cod-(October-2010) tramadol versus codeine in postoperative care , http://www.veoh.com/forum/showthread.php/1193-Tramadol-side-effects-(October-2010) canine tramadol side effects , http://www.veoh.com/forum/showthread.php/1195-Order-tramadol-(October-2010) buy tramadol money order , http://www.veoh.com/forum/showthread.php/1197-Tramadol-generic-(October-2010) generic mexican pictures tramadol , http://www.veoh.com/forum/showthread.php/1198-Tramadol-dosage-(October-2010) tramadol canine dosage taper , -- tramadol usual dosage?
- 4 , http://www.veoh.com/forum/showthread.php/1165-Cheap-tramadol-(October-2010) buy cheap tramadol omw , http://www.veoh.com/forum/showthread.php/1169-Tramadol-online-(October-2010) buy cheap online tramadol , http://www.veoh.com/forum/showthread.php/1171-Buy-tramadol-(October-2010) using paypal to tramadol buy , http://www.veoh.com/forum/showthread.php/1172-Tramadol-hcl-(October-2010) tramadol hcl 50 tablet mg tev , http://www.veoh.com/forum/showthread.php/1175-Tramadol-prescription-(October-2010) tramadol prescription , http://www.veoh.com/forum/showthread.php/1176-Tramadol-cod-(October-2010) tramadol sites with cod delivery , http://www.veoh.com/forum/showthread.php/1178-Tramadol-side-effects-(October-2010) tramadol suicide side effects , http://www.veoh.com/forum/showthread.php/1179-Order-tramadol-(October-2010) ordering tramadol cod , http://www.veoh.com/forum/showthread.php/1181-Tramadol-generic-(October-2010) generic tramadol cost , http://www.veoh.com/forum/showthread.php/1183-Tramadol-dosage-(October-2010) typical dosage for tramadol , -- what is hcl tramadol 50?
- 2 , http://www.box.net/shared/g9fpy26mlr no prescription tramadol ups delivered , http://www.box.net/shared/osuiavetrc tramadol hcl generic 50mg for , http://www.box.net/shared/ov5h9du2gb pharmacy tech resume buy tramadol now , http://trig.com/ingestacey/biography tramadol 50mg tablet generic , http://trig.com/alessandramona/biography and tramadol dosage , http://www.box.net/shared/os1b723opk is tramadol like hcl morphine , http://www.box.net/shared/j8hc46365n tramadol online cod payment , http://trig.com/jenifferarnetta/biography buy tramadol online c o d , http://www.box.net/shared/04m298c5bs cheap tramadol with free overnight shpping , http://trig.com/kortneywilburn/biography tramadol online prescriptions free viagra , -- order cheap generic tramadol online?
- 2 , http://trig.com/marleenmariann/biography cheap rss tramadol feed , http://www.box.net/shared/ypmege6s50 tramadol side effects aches head , http://www.box.net/shared/1thrs9b14b order tramadol discount , http://trig.com/katheytressa/biography tramadol dogs side effects , http://trig.com/rhettmarcella/biography order using tramadol cod , http://www.box.net/shared/e4iv8mgeby canadian online pharmacy tramadol , http://www.box.net/shared/cqyu34izga tramadol canada dosage cats , http://trig.com/vaniashani/biography is tramadol prescription a drug , http://trig.com/signejanessa/biography tramadol by caraco order back , http://trig.com/elzadamian/biography tramadol hcl purchase , -- order tramadol cod?
- 3 , http://www.box.net/shared/g9fpy26mlr get tramadol online prescription , http://www.box.net/shared/osuiavetrc jolliette tramadol generic , http://www.box.net/shared/ov5h9du2gb buy tramadol shipped to florida , http://trig.com/ingestacey/biography generic 25mg tramadol , http://trig.com/alessandramona/biography tramadol canine information dosage , http://www.box.net/shared/os1b723opk tramadol acetaminophen hcl par , http://www.box.net/shared/j8hc46365n tramadol discount codes , http://trig.com/jenifferarnetta/biography from tramadol buy dreampharm , http://www.box.net/shared/04m298c5bs online tramadol cheap , http://trig.com/kortneywilburn/biography tramadol online ecstasy , -- buy $85 tramadol?
- 2 , http://trig.com/marleenmariann/biography cheap non tramadol presciption , http://www.box.net/shared/ypmege6s50 side effects tramadol cat feline , http://www.box.net/shared/1thrs9b14b tramadol and disorder metabolic , http://trig.com/katheytressa/biography tramadol side effects head aches , http://trig.com/rhettmarcella/biography oxycodone tramadol , http://www.box.net/shared/e4iv8mgeby online tramadol prescription , http://www.box.net/shared/cqyu34izga tramadol dosage dogs information , http://trig.com/vaniashani/biography tramadol on line prescription no , http://trig.com/signejanessa/biography tramadol all sent order overnight , http://trig.com/elzadamian/biography is tramadol like hcl morphine , -- tramadol and allergy codeine?
- 3 , http://www.box.net/shared/g9fpy26mlr tramadol prescription non , http://www.box.net/shared/osuiavetrc when did go tramadol generic , http://www.box.net/shared/ov5h9du2gb buy tramadol 100mg online , http://trig.com/ingestacey/biography tramadol generic tablet , http://trig.com/alessandramona/biography high off hcl tramadol dosage , http://www.box.net/shared/os1b723opk tramadol hcl 50 mg uses , http://www.box.net/shared/j8hc46365n tramadol codes discount , http://trig.com/jenifferarnetta/biography buy on tramadol , http://www.box.net/shared/04m298c5bs cheap tramadol cod free fedex , http://trig.com/kortneywilburn/biography tramadol online cod shipping , -- buy tramadol c o d?
- 3 , http://trig.com/marleenmariann/biography no prescription cheapest tramadol , http://www.box.net/shared/ypmege6s50 side effects tramadol of hydrochloride , http://www.box.net/shared/1thrs9b14b cheap order tramadol , http://trig.com/katheytressa/biography tramadol side effects numbness forum , http://trig.com/rhettmarcella/biography oxycodone tramadol , http://www.box.net/shared/e4iv8mgeby buy 100mg tramadol online , http://www.box.net/shared/cqyu34izga tramadol for dosage canines , http://trig.com/vaniashani/biography tramadol withot a prescription , http://trig.com/signejanessa/biography tramadol all sent order overnight , http://trig.com/elzadamian/biography tramadol hcl dogs for , -- tramadol acetaminaphen hcl tablets?
- 3 , http://www.box.net/shared/g9fpy26mlr tramadol online prescriptions free viagra , http://www.box.net/shared/osuiavetrc generic of versions tramadol , http://www.box.net/shared/ov5h9du2gb buy tramadol online c o d , http://trig.com/ingestacey/biography tramadol generic tablet , http://trig.com/alessandramona/biography veterinary tramadol dosage , http://www.box.net/shared/os1b723opk hcl tramadol vet , http://www.box.net/shared/j8hc46365n ativan tramadol hydrocodone zoloft alcohol , http://trig.com/jenifferarnetta/biography buy tramadol money order , http://www.box.net/shared/04m298c5bs cheap tramadol no prescription overnight , http://trig.com/kortneywilburn/biography overnight tramadol online , -- no prescription tramadol pharmacy us?
- 2 , http://trig.com/marleenmariann/biography buy tramadol no cheap prescription , http://www.box.net/shared/ypmege6s50 side effects of apap tramadol , http://www.box.net/shared/1thrs9b14b tramadol for order dogs , http://trig.com/katheytressa/biography side effects of tramadol canines in , http://trig.com/rhettmarcella/biography tramadol delivery saturday cod , http://www.box.net/shared/e4iv8mgeby buy tramadol best price online , http://www.box.net/shared/cqyu34izga usual tramadol dosage , http://trig.com/vaniashani/biography tramadol no fed prescription ex , http://trig.com/signejanessa/biography order tramadol next shipping day , http://trig.com/elzadamian/biography tramadol 200mg hcl about , -- cod pharmacies tramadol?
- 2 , http://www.box.net/shared/g9fpy26mlr get tramadol prescription online , http://www.box.net/shared/osuiavetrc tramadol generic 25mg , http://www.box.net/shared/ov5h9du2gb buy pharmcy from tramadol , http://trig.com/ingestacey/biography generic jolliette tramadol , http://trig.com/alessandramona/biography highest recommended for dosage tramadol , http://www.box.net/shared/os1b723opk tramadol hcl 50 arthritis mg , http://www.box.net/shared/j8hc46365n cod tramadol only , http://trig.com/jenifferarnetta/biography career in finance buy tramadol , http://www.box.net/shared/04m298c5bs overnight cheap tramadol , http://trig.com/kortneywilburn/biography sorry tramadol online , -- tramadol dosage veterinary?
- 3 , http://trig.com/marleenmariann/biography buy tramadol medication cheap 35009 , http://www.box.net/shared/ypmege6s50 side effects palpitations tramadol , http://www.box.net/shared/1thrs9b14b ordering online tramadol , http://trig.com/katheytressa/biography side effects of tramadol dogs for , http://trig.com/rhettmarcella/biography cod delivery sat tramadol , http://www.box.net/shared/e4iv8mgeby cod tramadol fedex online , http://www.box.net/shared/cqyu34izga tramadol canine dosage , http://trig.com/vaniashani/biography cheapest without tramadol prescription , http://trig.com/signejanessa/biography tramadol order by 4pm , http://trig.com/elzadamian/biography tramadol acetaminophen hcl car , -- ordering tramadol on collect delivery?
- 2 , http://www.box.net/shared/g9fpy26mlr buy tramadol online without prescription a , http://www.box.net/shared/osuiavetrc tramadol generic ultram , http://www.box.net/shared/ov5h9du2gb buy tramadol cod states 50 , http://trig.com/ingestacey/biography generic for tramadol , http://trig.com/alessandramona/biography typical dosage tramadol for , http://www.box.net/shared/os1b723opk effects hcl tramadol side , http://www.box.net/shared/j8hc46365n tramadol discount codes , http://trig.com/jenifferarnetta/biography tramadol cheapest us price buy online , http://www.box.net/shared/04m298c5bs tramadol cheap site , http://trig.com/kortneywilburn/biography overnight delivery tramadol of online , -- effects hcl side tramadol?
- 4 , http://trig.com/marleenmariann/biography cheap tramadol day 2 shipping , http://www.box.net/shared/ypmege6s50 bad side effects tramadol of , http://www.box.net/shared/1thrs9b14b order tramadol next day shipping , http://trig.com/katheytressa/biography side effects tramadol from , http://trig.com/rhettmarcella/biography tramadol vs and vicodin strength , http://www.box.net/shared/e4iv8mgeby buy tramadol without online perscription , http://www.box.net/shared/cqyu34izga tramadol and dosage veterinary , http://trig.com/vaniashani/biography tramadol cheapest prescriptions , http://trig.com/signejanessa/biography $85 tramadol reorder , http://trig.com/elzadamian/biography tramadol hcl 50 mg tab usage , -- tramadol cheapest us price online buy?
- 2 , http://www.box.net/shared/g9fpy26mlr mainstreet tramadol prescription no , http://www.box.net/shared/osuiavetrc list of drug companies tramadol generic , http://www.box.net/shared/ov5h9du2gb buy ct 180 tramadol , http://trig.com/ingestacey/biography generic companies sale tramadol , http://trig.com/alessandramona/biography tramadol comparison hydrocodone dosage , http://www.box.net/shared/os1b723opk what is tramadol hcl 50mg , http://www.box.net/shared/j8hc46365n cod orders tramadol , http://trig.com/jenifferarnetta/biography buy retard tramadol , http://www.box.net/shared/04m298c5bs 90 tramadol cheapest pills , http://trig.com/kortneywilburn/biography tramadol cod pharmacy online , -- strongest of generic tramadol?
- 2 , http://trig.com/marleenmariann/biography cheap site tramadol , http://www.box.net/shared/ypmege6s50 side effects tramadol palpitations , http://www.box.net/shared/1thrs9b14b order tramadol 180 , http://trig.com/katheytressa/biography side effects tramadol medication , http://trig.com/rhettmarcella/biography buy tramadol cod , http://www.box.net/shared/e4iv8mgeby tramadol online shipping fedex $117.00 , http://www.box.net/shared/cqyu34izga tramadol dosage in and ducks geese , http://trig.com/vaniashani/biography tramadol hcl prescription , http://trig.com/signejanessa/biography health solutions tramadol network order , http://trig.com/elzadamian/biography description of hcl tramadol er100mg , -- order cheap generic tramadol online?
- 4 , http://www.box.net/shared/g9fpy26mlr no tramadol prescription sales , http://www.box.net/shared/osuiavetrc generic acetaminophen tablets tramadol , http://www.box.net/shared/ov5h9du2gb career in finance tramadol buy , http://trig.com/ingestacey/biography generic tramadol ultram or , http://trig.com/alessandramona/biography tramadol dosage pictures , http://www.box.net/shared/os1b723opk ingredients in hcl tramadol , http://www.box.net/shared/j8hc46365n buy tramadol 180 fedex shipping cod , http://trig.com/jenifferarnetta/biography buy tramadol online free shipping , http://www.box.net/shared/04m298c5bs cheapest tramadol online prescription no needed , http://trig.com/kortneywilburn/biography tramadol online puts , -- cod saturday tramadol?
- 4 , http://trig.com/marleenmariann/biography cheap tramadol prescription , http://www.box.net/shared/ypmege6s50 tramadol suicide side effects , http://www.box.net/shared/1thrs9b14b order tramadol with no presecription , http://trig.com/katheytressa/biography side effects tramadol dog , http://trig.com/rhettmarcella/biography tramadol cod delivery sat , http://www.box.net/shared/e4iv8mgeby buy tramadol online without prescription , http://www.box.net/shared/cqyu34izga tramadol dogs dosage information , http://trig.com/vaniashani/biography tramadol without prescription overnight delivery , http://trig.com/signejanessa/biography tramadol order site , http://trig.com/elzadamian/biography tramadol hcl sude effects , -- tramadol prescription?
- 3 , http://www.box.net/shared/g9fpy26mlr no prescription tramadol pharmacy us , http://www.box.net/shared/osuiavetrc generic tramadol ultram , http://www.box.net/shared/ov5h9du2gb buy tramadol fedex overnight shipping , http://trig.com/ingestacey/biography when did go tramadol generic , http://trig.com/alessandramona/biography typical dosage for tramadol , http://www.box.net/shared/os1b723opk tramadol hcl for anti depression , http://www.box.net/shared/j8hc46365n tramadol hydrocodone , http://trig.com/jenifferarnetta/biography buy dog tramadol uk , http://www.box.net/shared/04m298c5bs tramadol cheap free no overnight rx , http://trig.com/kortneywilburn/biography tramadol online seventy , -- order cheap tramadol generic online?
- 3 , http://trig.com/marleenmariann/biography tramadol cheap site , http://www.box.net/shared/ypmege6s50 side effects of in tramadol pets , http://www.box.net/shared/1thrs9b14b order tramadol no cod prescription payment , http://trig.com/katheytressa/biography can tramadol have sexual side effects , http://trig.com/rhettmarcella/biography tramadol or codeine high best , http://www.box.net/shared/e4iv8mgeby cod tramadol fedex online , http://www.box.net/shared/cqyu34izga tramadol canine dosages , http://trig.com/vaniashani/biography prescription free tramadol , http://trig.com/signejanessa/biography is ordering tramadol online illigal , http://trig.com/elzadamian/biography getting high with hcl tramadol , -- cod accepted orders for tramadol?
- 2 , http://www.box.net/shared/g9fpy26mlr buy tramadol no cheap prescription , http://www.box.net/shared/osuiavetrc tramadol generic 50mg tablet , http://www.box.net/shared/ov5h9du2gb buying tramadol online legal , http://trig.com/ingestacey/biography generic or tramadol ultram , http://trig.com/alessandramona/biography dogs tramadol dosage , http://www.box.net/shared/os1b723opk acetaminophen per tramadol hcl , http://www.box.net/shared/j8hc46365n cod tramadol overnight , http://trig.com/jenifferarnetta/biography buy tramadol 180 free tabs shipping , http://www.box.net/shared/04m298c5bs tramadol 100 mg buy cheap , http://trig.com/kortneywilburn/biography compare online tramadol price , -- tramadol dosage max?
- 4 , http://trig.com/marleenmariann/biography tramadol cheapest us price online buy , http://www.box.net/shared/ypmege6s50 tramadol tinnitus side effects , http://www.box.net/shared/1thrs9b14b tramadol 100mg order , http://trig.com/katheytressa/biography side effects from tramadol tab 50mg , http://trig.com/rhettmarcella/biography hydrocodone and tramadol taken together , http://www.box.net/shared/e4iv8mgeby no prescription pharmacy tramadol online , http://www.box.net/shared/cqyu34izga tramadol vet dosage , http://trig.com/vaniashani/biography purchase tramadol without online prescription , http://trig.com/signejanessa/biography tramadol for order dogs , http://trig.com/elzadamian/biography tramadol hcl tab 50 mg , -- tramadol cheap cod?
- 2 , http://www.formspring.me/1howtotrainyour Download How to Train Your Dragon Films , http://www.formspring.me/1machete Machete Full Movie , http://www.formspring.me/movietoystory3 Toy Story 3 Film In Hd , http://community.fox8.com/service/displayDiscussionThreads.kickAction?as=92757&w=221030&d=597772 Piranha Film Length , http://community.fox8.com/service/displayDiscussionThreads.kickAction?as=92757&w=221030&d=597760 Legal The Karate Kid Movie Download , http://community.fox8.com/service/displayKickPlace.kickAction?u=27629500&as=92757 The The Book of Eli Film Online , http://community.fox8.com/service/displayDiscussionThreads.kickAction?as=92757&w=221030&d=597817 Up in the Air Film Great Quality , http://community.fox8.com/service/displayDiscussionThreads.kickAction?as=92757&w=221030&d=597788 How To Watch The Full I Spit on Your Grave Film , http://community.fox8.com/service/displayKickPlace.kickAction?u=27629381&as=92757 Watch Clash of the Titans Movie Divx , http://www.formspring.me/2grownups Website To Watch Grown Ups The Film , -- The Whole Film Of How to Train Your Dragon?
- 4 , http://community.fox8.com/service/displayKickPlace.kickAction?u=27629245&as=92757 Watch Grown Ups Film In Hd , http://community.fox8.com/service/displayDiscussionThreads.kickAction?as=92757&w=221030&d=597814 Full Vampires Suck Movie Downloads , http://community.fox8.com/service/displayKickPlace.kickAction?u=27629427&as=92757 Leap Year Movie Rating , http://www.formspring.me/1gethimthegreek Get Him to the Greek Full Lenght Film In Dvd Format , http://community.fox8.com/service/displayKickPlace.kickAction?u=27629514&as=92757 Watch Whole Movie Of The Social Network , http://community.fox8.com/service/displayKickPlace.kickAction?u=27629300&as=92757 I Want To Watch The Despicable Me Movie , http://www.formspring.me/movieinception Download Inception Hd , http://community.fox8.com/service/displayKickPlace.kickAction?u=27629508&as=92757 Download Movie Vampires Suck Hq , http://www.formspring.me/1thekaratekid Watch The The Karate Kid The Film , http://community.fox8.com/service/displayDiscussionThreads.kickAction?as=92757&w=221030&d=597808 The Losers Film Streaming High Quality , -- Watch Complete Grown Ups Film?
- 2 , http://community.fox8.com/service/displayKickPlace.kickAction?u=27629440&as=92757 Where To Watch Shrek Forever After Movie , http://community.fox8.com/service/displayDiscussionThreads.kickAction?as=92757&w=221030&d=597796 Downloads Shrek Forever After Movies , http://www.formspring.me/movieironman2 Iron Man 2 Movie On The Internet , http://community.fox8.com/service/displayKickPlace.kickAction?u=27629210&as=92757 Download Or Watch Online How to Train Your Dragon The Movie In High Quality , http://www.formspring.me/wallstreetmoney Buy Wall Street: Money Never Sleeps Film Cheap , http://community.fox8.com/service/displayDiscussionThreads.kickAction?as=92757&w=221030&d=597746 How To Watch The A-Team Movie , http://www.formspring.me/1theexpendables The Expendables The Full Film In Hd , http://community.fox8.com/service/displayKickPlace.kickAction?u=27629237&as=92757 About The Predators , http://community.fox8.com/service/displayDiscussionThreads.kickAction?as=92757&w=221030&d=597728 Toy Story 3 Movie Download Zshare , http://www.formspring.me/1theateam Full Film Of The A-Team Online , -- The A-Team Film Characters?
- 2 , http://www.formspring.me/1knightandday Knight and Day Movie Direct Download , http://community.fox8.com/service/displayKickPlace.kickAction?u=27628981&as=92757 Watch The Full Movie Of Inception , http://community.fox8.com/service/displayKickPlace.kickAction?u=27629161&as=92757 Watch Robin Hood Movie Free , http://community.fox8.com/service/displayDiscussionThreads.kickAction?as=92757&w=221030&d=597776 Legend of the Guardians: The Owls of Ga'Hoole Movie Premier , http://community.fox8.com/service/displayDiscussionThreads.kickAction?as=92757&w=221030&d=597810 Ocean's Eleven Online , http://community.fox8.com/service/displayKickPlace.kickAction?u=27629354&as=92757 Jonah Hex Movie On Youtube , http://www.formspring.me/1princeofpersia How To Download Prince of Persia: The Sands of Time The Film , http://www.formspring.me/1thelastairbend The Last Airbender Film Great Quality , http://community.fox8.com/service/displayDiscussionThreads.kickAction?as=92757&w=221030&d=597770 Download Movie The Sorcerer's Apprentice Dvd , http://community.fox8.com/service/displayKickPlace.kickAction?u=27629201&as=92757 The Resident Evil: Afterlife 2009 Download , -- Watch The Entire Film Of The Sorcerer's Apprentice?
- 4 , http://community.fox8.com/service/displayDiscussionThreads.kickAction?as=92757&w=221030&d=597774 Download For Avatar The Movie , http://community.fox8.com/service/displayKickPlace.kickAction?u=27629141&as=92757 Full Movie Of The Expendables , http://community.fox8.com/service/displayDiscussionThreads.kickAction?as=92757&w=221030&d=597816 Apple Film Trailer The Social Network , http://community.fox8.com/service/displayKickPlace.kickAction?u=27629078&as=92757 Free Downloads Wall Street: Money Never Sleeps , http://community.fox8.com/service/displayKickPlace.kickAction?u=27629282&as=92757 Watch Machete Film High Quality , http://community.fox8.com/service/displayKickPlace.kickAction?u=27629215&as=92757 The Last Airbender Film Download High Quality , http://community.fox8.com/service/displayKickPlace.kickAction?u=27629167&as=92757 Buy Salt Movie High Quality , http://community.fox8.com/service/displayKickPlace.kickAction?u=27629520&as=92757 Remake Up in the Air Film , http://community.fox8.com/service/displayKickPlace.kickAction?u=27629128&as=92757 Download Iron Man 2 Film Now , http://community.fox8.com/service/displayKickPlace.kickAction?u=27629527&as=92757 Watch Repo Men Movie Hd , -- Website To Watch Machete The Movie?
- 2 , http://community.fox8.com/service/displayKickPlace.kickAction?u=27629247&as=92757 Eclipse Movie Location , http://community.fox8.com/service/displayKickPlace.kickAction?u=27629369&as=92757 Frozen Film Song , http://community.fox8.com/service/displayKickPlace.kickAction?u=27629288&as=92757 The Centurion Full Film , http://community.fox8.com/service/displayKickPlace.kickAction?u=27629297&as=92757 Buy Red Film On Dvd , http://community.fox8.com/service/displayDiscussionThreads.kickAction?as=92757&w=221030&d=597778 The Switch Characters , http://community.fox8.com/service/displayDiscussionThreads.kickAction?as=92757&w=221030&d=597754 Eclipse Full Lenght Film In Hd Format , http://community.fox8.com/service/displayDiscussionThreads.kickAction?as=92757&w=221030&d=597762 Machete Film Trailers , http://community.fox8.com/service/displayDiscussionThreads.kickAction?as=92757&w=221030&d=597758 Get Him to the Greek Movie Download Full Movie , http://community.fox8.com/service/displayKickPlace.kickAction?u=27629339&as=92757 Watch The Switch Movie In Full , http://community.fox8.com/service/displayDiscussionThreads.kickAction?as=92757&w=221030&d=597729 Download Inception Hd Free , -- Watch The Switch Film 2010?
- 3 , http://community.fox8.com/service/displayDiscussionThreads.kickAction?as=92757&w=221030&d=597786 About Clash of the Titans Film , http://community.fox8.com/service/displayDiscussionThreads.kickAction?as=92757&w=221030&d=597768 Download The Despicable Me Game , http://community.fox8.com/service/displayDiscussionThreads.kickAction?as=92757&w=221030&d=597780 Download Movie Jonah Hex Dvd , http://community.fox8.com/service/displayDiscussionThreads.kickAction?as=92757&w=221030&d=597736 Download The Expendables Full Movie Hd , http://community.fox8.com/service/displayDiscussionThreads.kickAction?as=92757&w=221030&d=597756 Knight and Day Film Review , http://community.fox8.com/service/displayKickPlace.kickAction?u=27629435&as=92757 Were Can I Watch Alice in Wonderland The Movie , http://community.fox8.com/service/displayKickPlace.kickAction?u=27629419&as=92757 Watch Killers Film Full Version , http://community.fox8.com/service/displayDiscussionThreads.kickAction?as=92757&w=221030&d=597794 Watch Leap Year The Film Full Version , http://community.fox8.com/service/displayKickPlace.kickAction?u=27629470&as=92757 Watch The 2012 The Film , http://community.fox8.com/service/displayKickPlace.kickAction?u=27629418&as=92757 Green Zone Full Lenght Movie In Pda Format , -- Download Knight and Day Full Length Movie?
- 4 , http://community.fox8.com/service/displayKickPlace.kickAction?u=27629458&as=92757 Ipod Splice Movie , http://community.fox8.com/service/displayKickPlace.kickAction?u=27629308&as=92757 The Sorcerer's Apprentice Movie With Good Quality , http://community.fox8.com/service/displayDiscussionThreads.kickAction?as=92757&w=221030&d=597737 Download Robin Hood Movie In Hd , http://community.fox8.com/service/displayDiscussionThreads.kickAction?as=92757&w=221030&d=597750 Predators Music , http://community.fox8.com/service/displayKickPlace.kickAction?u=27629331&as=92757 Download Legend of the Guardians: The Owls of Ga'Hoole 1 , http://www.formspring.me/1salt Download Salt Full Movie , http://community.fox8.com/service/displayKickPlace.kickAction?u=27629360&as=92757 Watch The Town Full Film In Hd , http://community.fox8.com/service/displayDiscussionThreads.kickAction?as=92757&w=221030&d=597734 Iron Man 2 Film Download Blogspot , http://community.fox8.com/service/displayDiscussionThreads.kickAction?as=92757&w=221030&d=597812 The Whole The Book of Eli Film Online , http://community.fox8.com/service/displayKickPlace.kickAction?u=27629446&as=92757 Buy Dinner for Schmucks Movie , -- Splice Trailer Download?
- 2 , http://community.fox8.com/service/displayKickPlace.kickAction?u=27629453&as=92757 Download Whole Step Up 3D Movie , http://community.fox8.com/service/displayKickPlace.kickAction?u=27629318&as=92757 Download Piranha Film Dvd , http://community.fox8.com/service/displayKickPlace.kickAction?u=27629233&as=92757 Cheapest Prince of Persia: The Sands of Time Film , http://www.formspring.me/2eclipse Eclipse Full Lenght Movie In Pda Format , http://community.fox8.com/service/displayDiscussionThreads.kickAction?as=92757&w=221030&d=597790 The Full Green Zone Movie , http://community.fox8.com/service/displayKickPlace.kickAction?u=27629455&as=92757 Where To Download Devil , http://community.fox8.com/service/displayKickPlace.kickAction?u=27629477&as=92757 Watch The Losers Film In Hd , http://www.formspring.me/1residentevil Where To Watch Resident Evil: Afterlife Film , http://community.fox8.com/service/displayKickPlace.kickAction?u=27629276&as=92757 The Karate Kid Movie Theatres , http://community.fox8.com/service/displayDiscussionThreads.kickAction?as=92757&w=221030&d=597748 Download Prince of Persia: The Sands of Time Movie Online , -- [[Where Can I Download The Prince of Persia: The Sands of Time]]
- 4 , http://community.fox8.com/service/displayDiscussionThreads.kickAction?as=92757&w=221030&d=597802 Watch Splice Film Stream , http://community.fox8.com/service/displayKickPlace.kickAction?u=27629387&as=92757 Full I Spit on Your Grave Movie Downloads , http://community.fox8.com/service/displayKickPlace.kickAction?u=27629221&as=92757 Where To Watch The Whole The A-Team Film , http://www.formspring.me/1robinhood Watch Full Version Of Robin Hood Movie , http://community.fox8.com/service/displayKickPlace.kickAction?u=27629268&as=92757 Apple Movie Trailer Get Him to the Greek , http://community.fox8.com/service/displayDiscussionThreads.kickAction?as=92757&w=221030&d=597792 Download The Entire Killers Film , http://community.fox8.com/service/displayKickPlace.kickAction?u=27628930&as=92757 Buy The Film Toy Story 3 Online , http://community.fox8.com/service/displayDiscussionThreads.kickAction?as=92757&w=221030&d=597742 How to Train Your Dragon Film Wiki , http://community.fox8.com/service/displayDiscussionThreads.kickAction?as=92757&w=221030&d=597744 Download The Whole The Last Airbender Film , http://community.fox8.com/service/displayDiscussionThreads.kickAction?as=92757&w=221030&d=597818 Repo Men Movie Full Movie , -- Downloadable Films Killers Online?
- 2 , http://community.fox8.com/service/displayDiscussionThreads.kickAction?as=92757&w=221030&d=597738 Download Salt 3 , http://community.fox8.com/service/displayDiscussionThreads.kickAction?as=92757&w=221030&d=597732 Wall Street: Money Never Sleeps Film , http://community.fox8.com/service/displayKickPlace.kickAction?u=27629484&as=92757 Ocean's Eleven Movie To Watch , http://community.fox8.com/service/displayDiscussionThreads.kickAction?as=92757&w=221030&d=597784 Where Can I Download Frozen , http://community.fox8.com/service/displayKickPlace.kickAction?u=27629256&as=92757 Knight and Day Movie On Line , http://community.fox8.com/service/displayDiscussionThreads.kickAction?as=92757&w=221030&d=597782 The Town Dvdrip , http://www.formspring.me/1predators Predators Movie Music , http://community.fox8.com/service/displayDiscussionThreads.kickAction?as=92757&w=221030&d=597752 Watch Full Version Of Grown Ups Film , http://community.fox8.com/service/displayDiscussionThreads.kickAction?as=92757&w=221030&d=597764 Hd Dvd Centurion Online , http://community.fox8.com/service/displayDiscussionThreads.kickAction?as=92757&w=221030&d=597804 To Watch The Sex and the City 2 Film , -- [[Wall Street: Money Never Sleeps The Film Good Quality]]
- 3 , http://community.fox8.com/service/displayDiscussionThreads.kickAction?as=92757&w=221030&d=597741 Resident Evil: Afterlife The Movie Good Quality , http://community.fox8.com/service/displayDiscussionThreads.kickAction?as=92757&w=221030&d=597798 Step Up 3D Trailers , http://community.fox8.com/service/displayDiscussionThreads.kickAction?as=92757&w=221030&d=597797 Dinner for Schmucks Movie Posters , http://www.formspring.me/1centurion Watch The Entire Film Of Centurion , http://community.fox8.com/service/displayDiscussionThreads.kickAction?as=92757&w=221030&d=597766 Watch The Red The Film , http://community.fox8.com/service/displayDiscussionThreads.kickAction?as=92757&w=221030&d=597795 Alice in Wonderland Film Premier , http://community.fox8.com/service/displayKickPlace.kickAction?u=27629468&as=92757 Sex and the City 2 Film Watch Film , http://community.fox8.com/service/displayKickPlace.kickAction?u=27629322&as=92757 Avatar Movie Quotes , http://community.fox8.com/service/displayDiscussionThreads.kickAction?as=92757&w=221030&d=597806 Watch A Movie 2012 Online , http://community.fox8.com/service/displayDiscussionThreads.kickAction?as=92757&w=221030&d=597800 Download Devil Film In Hd Formats , -- Watch Sex and the City 2 The Film Right Now?
- 3 , http://www.formspring.me/1howtotrainyour How to Train Your Dragon Full Lenght Movie In Hd Format , http://www.formspring.me/1machete Download The Film The Machete , http://www.formspring.me/movietoystory3 Toy Story 3 Film Download Part , http://community.fox8.com/service/displayDiscussionThreads.kickAction?as=92757&w=221030&d=597772 Where Can I Download Piranha Trailer , http://community.fox8.com/service/displayDiscussionThreads.kickAction?as=92757&w=221030&d=597760 The Karate Kid Movie In Hd , http://community.fox8.com/service/displayKickPlace.kickAction?u=27629500&as=92757 The Book of Eli Film Facts , http://community.fox8.com/service/displayDiscussionThreads.kickAction?as=92757&w=221030&d=597817 Up in the Air Movie Actors , http://community.fox8.com/service/displayDiscussionThreads.kickAction?as=92757&w=221030&d=597788 I Spit on Your Grave In In Hd - Hq - Dvd - Divx - Ipod - Pda Formats , http://community.fox8.com/service/displayKickPlace.kickAction?u=27629381&as=92757 The Clash of the Titans Movie Online , http://www.formspring.me/2grownups Downloading Grown Ups Movie , -- Up in the Air Film Watch Film?
- 4 , http://community.fox8.com/service/displayKickPlace.kickAction?u=27629245&as=92757 Grown Ups Theater Film , http://community.fox8.com/service/displayDiscussionThreads.kickAction?as=92757&w=221030&d=597814 Watch The Entire Vampires Suck Movie , http://community.fox8.com/service/displayKickPlace.kickAction?u=27629427&as=92757 Free Leap Year Online , http://www.formspring.me/1gethimthegreek Get Him to the Greek Film 2010 , http://community.fox8.com/service/displayKickPlace.kickAction?u=27629514&as=92757 The Social Network Movie In Hd , http://community.fox8.com/service/displayKickPlace.kickAction?u=27629300&as=92757 Watch Despicable Me The Film On The Computer , http://www.formspring.me/movieinception Watch The Full Movie Of Inception , http://community.fox8.com/service/displayKickPlace.kickAction?u=27629508&as=92757 Vampires Suck Movie Awards , http://www.formspring.me/1thekaratekid The Karate Kid Film Review , http://community.fox8.com/service/displayDiscussionThreads.kickAction?as=92757&w=221030&d=597808 Watch The Complete The Losers Film , -- The Get Him to the Greek Soundtrack Download?
- 3 , http://community.fox8.com/service/displayKickPlace.kickAction?u=27629440&as=92757 Movie Net Shrek Forever After , http://community.fox8.com/service/displayDiscussionThreads.kickAction?as=92757&w=221030&d=597796 Downloads Shrek Forever After Online , http://www.formspring.me/movieironman2 Films Iron Man 2 , http://community.fox8.com/service/displayKickPlace.kickAction?u=27629210&as=92757 Quality How to Train Your Dragon Ipod , http://www.formspring.me/wallstreetmoney Wall Street: Money Never Sleeps The Movie In High Quality , http://community.fox8.com/service/displayDiscussionThreads.kickAction?as=92757&w=221030&d=597746 Full The A-Team Film Good Quality , http://www.formspring.me/1theexpendables The Expendables Movie Streaming , http://community.fox8.com/service/displayKickPlace.kickAction?u=27629237&as=92757 Predators Movie Download Full Movie , http://community.fox8.com/service/displayDiscussionThreads.kickAction?as=92757&w=221030&d=597728 Watch The Entire Film Of Toy Story 3 Online , http://www.formspring.me/1theateam The A-Team Divx , -- Watch The Full Movie Of Predators?
- 2 , http://www.formspring.me/1knightandday Full Knight and Day Film Downloads , http://community.fox8.com/service/displayKickPlace.kickAction?u=27628981&as=92757 Inception Movie Download Part , http://community.fox8.com/service/displayKickPlace.kickAction?u=27629161&as=92757 Robin Hood The Movie Good Quality , http://community.fox8.com/service/displayDiscussionThreads.kickAction?as=92757&w=221030&d=597776 Download Legend of the Guardians: The Owls of Ga'Hoole Films , http://community.fox8.com/service/displayDiscussionThreads.kickAction?as=92757&w=221030&d=597810 Watch Ocean's Eleven Full Movie Good Quality , http://community.fox8.com/service/displayKickPlace.kickAction?u=27629354&as=92757 Download Jonah Hex Film Dvd , http://www.formspring.me/1princeofpersia Watch Prince of Persia: The Sands of Time Film 2010 , http://www.formspring.me/1thelastairbend Full The Last Airbender Movie In High Quality , http://community.fox8.com/service/displayDiscussionThreads.kickAction?as=92757&w=221030&d=597770 The Sorcerer's Apprentice Film Casting , http://community.fox8.com/service/displayKickPlace.kickAction?u=27629201&as=92757 Cheap Resident Evil: Afterlife Film , -- Ocean's Eleven Movie To Watch?
- 4 , http://community.fox8.com/service/displayDiscussionThreads.kickAction?as=92757&w=221030&d=597774 Watch The Complete Avatar Movie , http://community.fox8.com/service/displayKickPlace.kickAction?u=27629141&as=92757 Hd Quality The Expendables Watch , http://community.fox8.com/service/displayDiscussionThreads.kickAction?as=92757&w=221030&d=597816 The The Social Network Film Online , http://community.fox8.com/service/displayKickPlace.kickAction?u=27629078&as=92757 Watch Wall Street: Money Never Sleeps Film , http://community.fox8.com/service/displayKickPlace.kickAction?u=27629282&as=92757 Whole Movie Of Machete , http://community.fox8.com/service/displayKickPlace.kickAction?u=27629215&as=92757 Where To Watch The Last Airbender Full Movie , http://community.fox8.com/service/displayKickPlace.kickAction?u=27629167&as=92757 Watch Complete Salt Film , http://community.fox8.com/service/displayKickPlace.kickAction?u=27629520&as=92757 Where To Download Up in the Air The Film , http://community.fox8.com/service/displayKickPlace.kickAction?u=27629128&as=92757 Iron Man 2 Film Imbd , http://community.fox8.com/service/displayKickPlace.kickAction?u=27629527&as=92757 Watch Full Length Repo Men Online , -- Where To Download The Last Airbender The Film?
- 4 , http://community.fox8.com/service/displayKickPlace.kickAction?u=27629247&as=92757 Eclipse Film Download Link , http://community.fox8.com/service/displayKickPlace.kickAction?u=27629369&as=92757 Watch The Whole Frozen Film , http://community.fox8.com/service/displayKickPlace.kickAction?u=27629288&as=92757 Download Centurion Divx , http://community.fox8.com/service/displayKickPlace.kickAction?u=27629297&as=92757 Red Film Dvd Quality , http://community.fox8.com/service/displayDiscussionThreads.kickAction?as=92757&w=221030&d=597778 The Switch Film Watch Full Film , http://community.fox8.com/service/displayDiscussionThreads.kickAction?as=92757&w=221030&d=597754 Downloadable Films Eclipse , http://community.fox8.com/service/displayDiscussionThreads.kickAction?as=92757&w=221030&d=597762 The Whole Film Of Machete , http://community.fox8.com/service/displayDiscussionThreads.kickAction?as=92757&w=221030&d=597758 Where To Download Get Him to the Greek Online , http://community.fox8.com/service/displayKickPlace.kickAction?u=27629339&as=92757 The Switch Download Ipod , http://community.fox8.com/service/displayDiscussionThreads.kickAction?as=92757&w=221030&d=597729 Watch The Complete Inception Movie , -- Watch Online Free The Switch?
- 4 , http://community.fox8.com/service/displayDiscussionThreads.kickAction?as=92757&w=221030&d=597786 Clash of the Titans Movie On The Internet , http://community.fox8.com/service/displayDiscussionThreads.kickAction?as=92757&w=221030&d=597768 Can I Download Despicable Me The Movie , http://community.fox8.com/service/displayDiscussionThreads.kickAction?as=92757&w=221030&d=597780 Watch Made From Jonah Hex , http://community.fox8.com/service/displayDiscussionThreads.kickAction?as=92757&w=221030&d=597736 Downloads The Expendables Online , http://community.fox8.com/service/displayDiscussionThreads.kickAction?as=92757&w=221030&d=597756 Watch Knight and Day Full Movie High Quality , http://community.fox8.com/service/displayKickPlace.kickAction?u=27629435&as=92757 Full Alice in Wonderland Movie In High Quality , http://community.fox8.com/service/displayKickPlace.kickAction?u=27629419&as=92757 Killers Film Actors , http://community.fox8.com/service/displayDiscussionThreads.kickAction?as=92757&w=221030&d=597794 Watch Leap Year Full Movie Good Quality , http://community.fox8.com/service/displayKickPlace.kickAction?u=27629470&as=92757 2012 Theater Film , http://community.fox8.com/service/displayKickPlace.kickAction?u=27629418&as=92757 Download For Green Zone The Movie , -- Ipod Despicable Me Free?
- 3 , http://community.fox8.com/service/displayKickPlace.kickAction?u=27629458&as=92757 How To Watch Splice Online , http://community.fox8.com/service/displayKickPlace.kickAction?u=27629308&as=92757 The Sorcerer's Apprentice Film With Good Quality , http://community.fox8.com/service/displayDiscussionThreads.kickAction?as=92757&w=221030&d=597737 Where Can I Buy Robin Hood The Film , http://community.fox8.com/service/displayDiscussionThreads.kickAction?as=92757&w=221030&d=597750 Download The Predators Film Online , http://community.fox8.com/service/displayKickPlace.kickAction?u=27629331&as=92757 Legend of the Guardians: The Owls of Ga'Hoole 2010 Full Film , http://www.formspring.me/1salt Length Of Salt Film , http://community.fox8.com/service/displayKickPlace.kickAction?u=27629360&as=92757 When Can I Buy The The Town Movie , http://community.fox8.com/service/displayDiscussionThreads.kickAction?as=92757&w=221030&d=597734 The Whole Iron Man 2 Film Online , http://community.fox8.com/service/displayDiscussionThreads.kickAction?as=92757&w=221030&d=597812 Dvd The Book of Eli Online , http://community.fox8.com/service/displayKickPlace.kickAction?u=27629446&as=92757 Watch The Whole Movie Of Dinner for Schmucks , -- How To Download The Town Online?
- 4 , http://community.fox8.com/service/displayKickPlace.kickAction?u=27629453&as=92757 Download Step Up 3D Hq , http://community.fox8.com/service/displayKickPlace.kickAction?u=27629318&as=92757 Watch Piranha Movie Divx , http://community.fox8.com/service/displayKickPlace.kickAction?u=27629233&as=92757 Download And Watch Prince of Persia: The Sands of Time Online , http://www.formspring.me/2eclipse Where To Watch Eclipse Full Movie , http://community.fox8.com/service/displayDiscussionThreads.kickAction?as=92757&w=221030&d=597790 Buy Green Zone Film Cheap , http://community.fox8.com/service/displayKickPlace.kickAction?u=27629455&as=92757 Watch Full Version Of Devil Movie , http://community.fox8.com/service/displayKickPlace.kickAction?u=27629477&as=92757 The Losers Film Casting , http://www.formspring.me/1residentevil Download Resident Evil: Afterlife Film Score , http://community.fox8.com/service/displayKickPlace.kickAction?u=27629276&as=92757 The Karate Kid Movie Clips Download , http://community.fox8.com/service/displayDiscussionThreads.kickAction?as=92757&w=221030&d=597748 Watch Prince of Persia: The Sands of Time The Movie Full , -- [[I Want To Watch Resident Evil: Afterlife Film]]
- 2 , http://community.fox8.com/service/displayDiscussionThreads.kickAction?as=92757&w=221030&d=597802 Watch Whole Movie Of Splice , http://community.fox8.com/service/displayKickPlace.kickAction?u=27629387&as=92757 I Spit on Your Grave Good Film For Sale , http://community.fox8.com/service/displayKickPlace.kickAction?u=27629221&as=92757 The A-Team Film Soundtrack , http://www.formspring.me/1robinhood Robin Hood The Movie To Watch , http://community.fox8.com/service/displayKickPlace.kickAction?u=27629268&as=92757 Download Get Him to the Greek For Ipod , http://community.fox8.com/service/displayDiscussionThreads.kickAction?as=92757&w=221030&d=597792 Killers Movie In English To Download , http://community.fox8.com/service/displayKickPlace.kickAction?u=27628930&as=92757 Where Can I Download Toy Story 3 Movie , http://community.fox8.com/service/displayDiscussionThreads.kickAction?as=92757&w=221030&d=597742 Where Can I Download How to Train Your Dragon Online , http://community.fox8.com/service/displayDiscussionThreads.kickAction?as=92757&w=221030&d=597744 Downloads The Last Airbender Movies , http://community.fox8.com/service/displayDiscussionThreads.kickAction?as=92757&w=221030&d=597818 Repo Men Trailer Download , -- I Want To Watch Robin Hood Film?
- 4 , http://community.fox8.com/service/displayDiscussionThreads.kickAction?as=92757&w=221030&d=597738 Download Salt Film In Hd Formats , http://community.fox8.com/service/displayDiscussionThreads.kickAction?as=92757&w=221030&d=597732 Wall Street: Money Never Sleeps Movie Download Good Quality , http://community.fox8.com/service/displayKickPlace.kickAction?u=27629484&as=92757 Ocean's Eleven Film Sales , http://community.fox8.com/service/displayDiscussionThreads.kickAction?as=92757&w=221030&d=597784 Download Frozen Hd , http://community.fox8.com/service/displayKickPlace.kickAction?u=27629256&as=92757 Website To Watch Knight and Day The Movie , http://community.fox8.com/service/displayDiscussionThreads.kickAction?as=92757&w=221030&d=597782 When Can I Buy The The Town Movie , http://www.formspring.me/1predators Buy Predators The Movie , http://community.fox8.com/service/displayDiscussionThreads.kickAction?as=92757&w=221030&d=597752 Watch Grown Ups The Film Full Version , http://community.fox8.com/service/displayDiscussionThreads.kickAction?as=92757&w=221030&d=597764 Centurion 2010 Full Film , http://community.fox8.com/service/displayDiscussionThreads.kickAction?as=92757&w=221030&d=597804 Watch Sex and the City 2 The Film Right Now , -- To Watch The Salt Film?
- 3 , http://community.fox8.com/service/displayDiscussionThreads.kickAction?as=92757&w=221030&d=597741 Resident Evil: Afterlife Psp , http://community.fox8.com/service/displayDiscussionThreads.kickAction?as=92757&w=221030&d=597798 Download Step Up 3D Movie Now , http://community.fox8.com/service/displayDiscussionThreads.kickAction?as=92757&w=221030&d=597797 Dinner for Schmucks Film Song , http://www.formspring.me/1centurion How To Download Centurion The Movie , http://community.fox8.com/service/displayDiscussionThreads.kickAction?as=92757&w=221030&d=597766 Watch Red Full Film High Quality , http://community.fox8.com/service/displayDiscussionThreads.kickAction?as=92757&w=221030&d=597795 Quality Alice in Wonderland Ipod , http://community.fox8.com/service/displayKickPlace.kickAction?u=27629468&as=92757 I Want To Watch The Full Movie Of Sex and the City 2 Online , http://community.fox8.com/service/displayKickPlace.kickAction?u=27629322&as=92757 Order Avatar Film , http://community.fox8.com/service/displayDiscussionThreads.kickAction?as=92757&w=221030&d=597806 The 2012 Soundtrack Download , http://community.fox8.com/service/displayDiscussionThreads.kickAction?as=92757&w=221030&d=597800 Download For Devil The Movie , -- [[Download Resident Evil: Afterlife Movie Online]]
- 2 , http://www.box.net/shared/rnqmokpg69 tramadol canine dosage , http://www.box.net/shared/055v2t0i9v tramadol fedex overnight delivery , http://www.box.net/shared/kb3lt2havi is tramadol a prescription drug , http://www.box.net/shared/eccbgnog7u how to get free tramadol asap , http://www.box.net/shared/44irvnvrsa tramadol tablet , http://www.box.net/shared/6cev6jaf3t tramadol kidney pain , http://www.box.net/shared/54iifxugl0 tramadol cheap tramadol , http://www.box.net/shared/8lsga07ttf tramadol hydrocodone interaction , http://www.box.net/shared/ahakoaft1l side effects for tramadol , http://www.box.net/shared/pdx37utzxi about tramadol medecation , -- tramadol intensify other drugs?
- 4 , http://www.box.net/shared/ias3cn35l0 lowest prices on tramadol , http://www.box.net/shared/ydfoaafn8i buy tramadol online cod , http://www.box.net/shared/i77thrn7jy tramadol canada dosage feline , http://www.box.net/shared/ko3vqyhmid lowest cost for veterinarian tramadol , http://www.box.net/shared/acn7y8ded4 tramadol hydrochloride pill id , http://www.box.net/shared/ioyjzm3vkp fatal overdose quantity of tramadol , http://www.box.net/shared/a0g09mi9ta tramadol side effecs in dogs , http://www.box.net/shared/9ola22l010 tramadol tough online , http://www.box.net/shared/xb4q3vbpr9 tramadol online no prescription cod , http://www.box.net/shared/ac8gi87114 hsn tramadol order , -- low cost tramadol?
- 3 , http://www.box.net/shared/rnqmokpg69 tramadol canine dosage , http://www.box.net/shared/055v2t0i9v tramadol for staurday delivery , http://www.box.net/shared/kb3lt2havi tramadol and drug interactions , http://www.box.net/shared/eccbgnog7u taking tramadol and voltaren together , http://www.box.net/shared/44irvnvrsa hci tablet tramadol ultram , http://www.box.net/shared/6cev6jaf3t tramadol pain killer medication , http://www.box.net/shared/54iifxugl0 cheap tramadol with free overnight shipping , http://www.box.net/shared/8lsga07ttf cheap tramadol cod delivery , http://www.box.net/shared/ahakoaft1l fetal effects tramadol , http://www.box.net/shared/pdx37utzxi all about tramadol emotions , -- how is tramadol different from vicodin?
- 4 , http://www.box.net/shared/ias3cn35l0 lowest price of tramadol , http://www.box.net/shared/ydfoaafn8i from tramadol buy dreampharm , http://www.box.net/shared/i77thrn7jy canada pharmacy tramadol , http://www.box.net/shared/ko3vqyhmid cost of tramadol , http://www.box.net/shared/acn7y8ded4 cold water pill extraction tramadol , http://www.box.net/shared/ioyjzm3vkp 600 mg tramadol dose , http://www.box.net/shared/a0g09mi9ta side affects of tramadol , http://www.box.net/shared/9ola22l010 tramadol consent online , http://www.box.net/shared/xb4q3vbpr9 tramadol no prescription overnight , http://www.box.net/shared/ac8gi87114 buy tramadol money order , -- tramadol hcl side effects?
- 3 , http://www.box.net/shared/rnqmokpg69 tramadol hcl dosage , http://www.box.net/shared/055v2t0i9v cheapest tramadol next day delivery , http://www.box.net/shared/kb3lt2havi tramadol drug study , http://www.box.net/shared/eccbgnog7u phenergan tramadol safe together , http://www.box.net/shared/44irvnvrsa tramadol hydrochloride tablets label , http://www.box.net/shared/6cev6jaf3t tramadol dogs pain amantidine , http://www.box.net/shared/54iifxugl0 buy tramadol online cheap , http://www.box.net/shared/8lsga07ttf tramadol overnight cod , http://www.box.net/shared/ahakoaft1l tramadol hydrochloride in canine side effects , http://www.box.net/shared/pdx37utzxi site about tramadol decayed , -- tramadol and gaba combination for pain?
- 2 , http://www.box.net/shared/ias3cn35l0 best price tramadol , http://www.box.net/shared/ydfoaafn8i tramadol buy pain , http://www.box.net/shared/i77thrn7jy tramadol in canada , http://www.box.net/shared/ko3vqyhmid tramadol 180 count cost , http://www.box.net/shared/acn7y8ded4 photo of tramadol pills , http://www.box.net/shared/ioyjzm3vkp can you overdose on tramadol , http://www.box.net/shared/a0g09mi9ta tramadol side effect constipation , http://www.box.net/shared/9ola22l010 tramadol online purchase , http://www.box.net/shared/xb4q3vbpr9 no prior prescription tramadol , http://www.box.net/shared/ac8gi87114 order tramadol now , -- order tramadol online cod?
- 4 , http://www.box.net/shared/rnqmokpg69 tramadol canine dosage , http://www.box.net/shared/055v2t0i9v buy tramadol cash on delivery , http://www.box.net/shared/kb3lt2havi tramadol drug screen , http://www.box.net/shared/eccbgnog7u can you take tramadol mobic together , http://www.box.net/shared/44irvnvrsa tramadol hcl 50 mg tablet , http://www.box.net/shared/6cev6jaf3t back pain tramadol or ibuprofen , http://www.box.net/shared/54iifxugl0 buy cheap tramadol buy , http://www.box.net/shared/8lsga07ttf compare tramadol to hydrocodone , http://www.box.net/shared/ahakoaft1l tramadol hci effects on brain , http://www.box.net/shared/pdx37utzxi all about tramadol pleasure , -- chronic pain tramadol?
- chikaldonyx , http://www.box.net/shared/ias3cn35l0 lowest price tramadol , http://www.box.net/shared/ydfoaafn8i buy tramadol pay cash on delivery , http://www.box.net/shared/i77thrn7jy canada order tramadol online , http://www.box.net/shared/ko3vqyhmid cost tramadol , http://www.box.net/shared/acn7y8ded4 tramadol 50 mg pill form , http://www.box.net/shared/ioyjzm3vkp maximum dose of tramadol , http://www.box.net/shared/a0g09mi9ta tramadol pain pill side effects , http://www.box.net/shared/9ola22l010 buy tramadol online overnight delivery , http://www.box.net/shared/xb4q3vbpr9 no prescription tramadol overnight , http://www.box.net/shared/ac8gi87114 order tramadol online cod , -- tramadol online om?
- chikaldonyx , http://www.box.net/shared/rnqmokpg69 best dosage tramadol , http://www.box.net/shared/055v2t0i9v tramadol fedex overnight delivery , http://www.box.net/shared/kb3lt2havi tramadol and drug screening , http://www.box.net/shared/eccbgnog7u get tramadol , http://www.box.net/shared/44irvnvrsa tramadol 4 50mg tablets , http://www.box.net/shared/6cev6jaf3t tramadol nerve pain , http://www.box.net/shared/54iifxugl0 cheap online tramadol , http://www.box.net/shared/8lsga07ttf ativan tramadol hydrocodone alcohol , http://www.box.net/shared/ahakoaft1l tramadol 50 mg side effects , http://www.box.net/shared/pdx37utzxi all about tramadol covetous , -- tramadol 50 mg tablets?
- chikaldonyx , http://www.box.net/shared/ias3cn35l0 tramadol prices , http://www.box.net/shared/ydfoaafn8i buy from pharmcy tramadol , http://www.box.net/shared/i77thrn7jy tramadol availability in canada , http://www.box.net/shared/ko3vqyhmid cost of tramadol versus ultram er , http://www.box.net/shared/acn7y8ded4 view tramadol pills , http://www.box.net/shared/ioyjzm3vkp 300 safe dose tramadol er high , http://www.box.net/shared/a0g09mi9ta tramadol side effect constipation , http://www.box.net/shared/9ola22l010 tramadol online si , http://www.box.net/shared/xb4q3vbpr9 prescriptions tramadol , http://www.box.net/shared/ac8gi87114 canada order tramadol online , -- buy tramadol online saturday delivery?
- chikaldonyx , http://www.box.net/shared/rnqmokpg69 tramadol dogs dosage , http://www.box.net/shared/055v2t0i9v codeine ultram tramadol overnight delivery , http://www.box.net/shared/kb3lt2havi drug tramadol dosage by weight , http://www.box.net/shared/eccbgnog7u get tramadol prescription online , http://www.box.net/shared/44irvnvrsa tramadol hcl acetaminaphen tablets , http://www.box.net/shared/6cev6jaf3t tramadol help pain like my lortab , http://www.box.net/shared/54iifxugl0 no rx tramadol cheap , http://www.box.net/shared/8lsga07ttf cod tramadol orders , http://www.box.net/shared/ahakoaft1l veterinary tramadol side effects in dogs , http://www.box.net/shared/pdx37utzxi all about tramadol brushed , -- tramadol vet dosage?
- chikaldonyx , http://www.box.net/shared/ias3cn35l0 best tramadol prices , http://www.box.net/shared/ydfoaafn8i buy tramadol 180 , http://www.box.net/shared/i77thrn7jy tramadol fast from canada , http://www.box.net/shared/ko3vqyhmid cost of tramadol , http://www.box.net/shared/acn7y8ded4 photo of tramadol pills , http://www.box.net/shared/ioyjzm3vkp canine tramadol dose , http://www.box.net/shared/a0g09mi9ta side effects dog tramadol , http://www.box.net/shared/9ola22l010 tramadol puts online , http://www.box.net/shared/xb4q3vbpr9 tramadol cheap fast no prescription , http://www.box.net/shared/ac8gi87114 tramadol cod overnight order , -- tramadol overdose in dogs?
- chikaldonyx , http://www.box.net/shared/rnqmokpg69 normal dosage of tramadol , http://www.box.net/shared/055v2t0i9v casn on delivery tramadol , http://www.box.net/shared/kb3lt2havi drug testing for tramadol , http://www.box.net/shared/eccbgnog7u can you take tramadol mobic together , http://www.box.net/shared/44irvnvrsa tramadol tablet photo , http://www.box.net/shared/6cev6jaf3t tramadol kidney pain , http://www.box.net/shared/54iifxugl0 cheap tramadol without prescription 100mg , http://www.box.net/shared/8lsga07ttf tramadol 180 cod , http://www.box.net/shared/ahakoaft1l effects of long term tramadol abuse , http://www.box.net/shared/pdx37utzxi all about tramadol pleasure , -- tramadol dog side effect?
- chikaldonyx , http://www.box.net/shared/ias3cn35l0 low price tramadol , http://www.box.net/shared/ydfoaafn8i buy cheap tramadol o , http://www.box.net/shared/i77thrn7jy tramadol availability in canada , http://www.box.net/shared/ko3vqyhmid average costs for prescription tramadol , http://www.box.net/shared/acn7y8ded4 tramadol pill with 377 on it , http://www.box.net/shared/ioyjzm3vkp maximum dose of tramadol for dogs , http://www.box.net/shared/a0g09mi9ta tramadol effects medication side , http://www.box.net/shared/9ola22l010 online tramadol pharmacy , http://www.box.net/shared/xb4q3vbpr9 no prescription tramadol overnight , http://www.box.net/shared/ac8gi87114 order tramadol 180 , -- tramadol ultram cost comparison?
- chikaldonyx , http://www.box.net/shared/rnqmokpg69 tramadol er dosage , http://www.box.net/shared/055v2t0i9v tramadol cod sat delivery , http://www.box.net/shared/kb3lt2havi drug side affects tramadol in dogs , http://www.box.net/shared/eccbgnog7u how to get off tramadol , http://www.box.net/shared/44irvnvrsa tramadol 60 tablets , http://www.box.net/shared/6cev6jaf3t hydrocodone pain tramadol , http://www.box.net/shared/54iifxugl0 buy tramadol cheaply , http://www.box.net/shared/8lsga07ttf tramadol cod only , http://www.box.net/shared/ahakoaft1l effects of long term use tramadol , http://www.box.net/shared/pdx37utzxi tramadol all about , -- effective tramadol arthritis back pain?
- chikaldonyx , http://www.box.net/shared/ias3cn35l0 street price of 50mg tramadol , http://www.box.net/shared/ydfoaafn8i ataxia es buy tramadol , http://www.box.net/shared/i77thrn7jy canada pharmacy tramadol no prescription , http://www.box.net/shared/ko3vqyhmid tramadol er cost , http://www.box.net/shared/acn7y8ded4 tramadol pill price , http://www.box.net/shared/ioyjzm3vkp tramadol dose in canines , http://www.box.net/shared/a0g09mi9ta tramadol side effects forum numbness , http://www.box.net/shared/9ola22l010 ativan buy tramadol online , http://www.box.net/shared/xb4q3vbpr9 cheap tramadol prescriptions online discover card , http://www.box.net/shared/ac8gi87114 order tramadols , -- tramadol ultram cost comparison?
- chikaldonyx , http://www.box.net/shared/rnqmokpg69 tramadol dosage for toothache , http://www.box.net/shared/055v2t0i9v tramadol cash on delivery saturday delivery , http://www.box.net/shared/kb3lt2havi drug hours positive testing tramadol ultram , http://www.box.net/shared/eccbgnog7u can u get high off tramadol , http://www.box.net/shared/44irvnvrsa generic acetaminophen tramadol tablets , http://www.box.net/shared/6cev6jaf3t tramadol pain killer , http://www.box.net/shared/54iifxugl0 tramadol online cheap , http://www.box.net/shared/8lsga07ttf mix vicodin and tramadol , http://www.box.net/shared/ahakoaft1l long term side effects of tramadol , http://www.box.net/shared/pdx37utzxi all about tramadol plums , -- q cheapest tramadol drugstore a?
- chikaldonyx , http://www.box.net/shared/ias3cn35l0 best tramadol prices , http://www.box.net/shared/ydfoaafn8i buy cheap tramadol online 35009 buy , http://www.box.net/shared/i77thrn7jy is tramadol available in canada , http://www.box.net/shared/ko3vqyhmid generic tramadol cost , http://www.box.net/shared/acn7y8ded4 buy pills online tramadol , http://www.box.net/shared/ioyjzm3vkp tramadol overdose in dogs , http://www.box.net/shared/a0g09mi9ta tramadol hcl-acetaminophen side effects , http://www.box.net/shared/9ola22l010 cash loans online tramadol , http://www.box.net/shared/xb4q3vbpr9 tramadol no prescription needed , http://www.box.net/shared/ac8gi87114 order tramadol next day shipping , -- tramadol canada dosage cats?
- chikaldonyx , http://www.box.net/shared/rnqmokpg69 tramadol dog dosage mg , http://www.box.net/shared/055v2t0i9v buy tramadol saturday delivery , http://www.box.net/shared/kb3lt2havi tramadol drug for vet use , http://www.box.net/shared/eccbgnog7u tramadol and volteren together , http://www.box.net/shared/44irvnvrsa tramadol hydrochloride tablets , http://www.box.net/shared/6cev6jaf3t tramadol kidney pain , http://www.box.net/shared/54iifxugl0 tramadol online cheap , http://www.box.net/shared/8lsga07ttf tramadol drug label and codeine , http://www.box.net/shared/ahakoaft1l tramadol effects medication side , http://www.box.net/shared/pdx37utzxi site about tramadol trouble , -- tramadol kidney pain?
- fendyreheiter1 , http://www.box.net/shared/ias3cn35l0 low price tramadol , http://www.box.net/shared/ydfoaafn8i tramadol buy online , http://www.box.net/shared/i77thrn7jy is tramadol available in canada , http://www.box.net/shared/ko3vqyhmid cost low tramadol , http://www.box.net/shared/acn7y8ded4 what does tramadol pills look like , http://www.box.net/shared/ioyjzm3vkp tramadol doseage , http://www.box.net/shared/a0g09mi9ta tramadol for dogs side effects , http://www.box.net/shared/9ola22l010 tramadol make online , http://www.box.net/shared/xb4q3vbpr9 cheap tramadol no prescription , http://www.box.net/shared/ac8gi87114 order discount tramadol , -- cod tramadol orders?
- Urdfmk <a href="http://ifngtsluwbcq.com/">ifngtsluwbcq</a>, [url=http://edatggzsgpks.com/]edatggzsgpks[/url], [link=http://sjdkybgqwvry.com/]sjdkybgqwvry[/link], http://cblhqtmhqfhf.com/ -- criczxywlxw?
- comment2, http://naep2010.com finara, http://nawfa.org Viagra, http://greaterlondonprayerwall.org Adipex, http://encoremtg.com cialis, http://holyindia.net discount phentermine, -- Diazepam?
- comment2, http://leyveik.com diazepam online, http://filmontherun.com 20mg of rimonabant, http://mutluanne.org Klonopin, http://newschoolnewyork.com phentermine viagra, http://naep2010.com Propecia, http://nawfa.org erection viagra, http://mykarnali.com generic meridia from mexico, http://mytakeonmommyhood.com antabuse tablet, http://nandininessa.com ultram.com, -- Cialis?
- comment6, http://leyveik.com diazepam, http://n-z-p.net doxycycline 180 pills, http://mutluanne.org withdrawal from klonopin, http://newschoolnewyork.com looking for phentermine, http://naep2010.com Propecia, http://estraha.net order acomplia, http://nawfa.org Viagra, http://naturalborncynic.net cialis, http://greaterlondonprayerwall.org adipex, http://encoremtg.com cialis professional 90 pills, http://neodfa.com Adipex, http://mytakeonmommyhood.com antabuse, -- 100mg doxycycline?
- comment4, http://leyveik.com buy diazepam, http://filmontherun.com rimonabant, http://myoneshotpictures.com how to wean off buspar, http://newschoolnewyork.com compare phentermine prices, http://envirotechservice.com Viagra, http://greaterlondonprayerwall.org adipex-p, http://holyindia.net buy phentermine online, -- rimonabant online?
- comment1, http://myoneshotpictures.com Buspar, http://newschoolnewyork.com phentermine no prescription, http://nawfa.org cheap generic viagra, http://mykarnali.com Meridia, http://encoremtg.com Cialis, -- phentermine.com?
- comment1, http://leyveik.com Diazepam, http://filmontherun.com buy cheapest rimonabant, http://myoneshotpictures.com buspar.com, http://naep2010.com propecia.com, http://estraha.net acomplia no script, http://naturalborncynic.net Cialis, http://nawfa.org viagra professional 30 pills, http://greaterlondonprayerwall.org Adipex, http://envirotechservice.com viagra, http://encoremtg.com generic cialis, http://neodfa.com Adipex, http://mytakeonmommyhood.com antabuse, -- side effects ultram er?
- comment5, http://leyveik.com buy diazepam, http://n-z-p.net Vibramycin, http://myoneshotpictures.com buspar for dogs, http://naep2010.com effects propecia side, http://newschoolnewyork.com Phentermine, http://estraha.net Acomplia, http://nawfa.org Viagra, http://mykarnali.com meridia.com,, http://envirotechservice.com viagra.com,, http://neodfa.com buy adipex-p phentermine online, http://nandininessa.com ultram, http://holyindia.net phentermine 37 5mg, -- acomplia?
- comment2, http://mutluanne.org klonopin vs xanax, http://estraha.net kaufen title acomplia, http://naturalborncynic.net online physicians cialis, http://greaterlondonprayerwall.org Adipex, http://nandininessa.com ultram, http://neodfa.com Adipex, http://holyindia.net phentermine no prescription, -- Meridia?
- comment6, http://n-z-p.net doxycycline, http://filmontherun.com does rimonabant work?, http://mutluanne.org Klonopin, http://newschoolnewyork.com phentermine, http://naep2010.com Propecia, http://nawfa.org viagra, http://envirotechservice.com canda viagra online, http://nandininessa.com ultram, http://holyindia.net phentermine lowest price, -- finasteride propecia proscar?
- comment2, http://myoneshotpictures.com buspar, http://estraha.net acomplia, http://newschoolnewyork.com phentermine overdose, http://naep2010.com Propecia, http://naturalborncynic.net cialis cialis.asp zebrahaifa.com, http://mykarnali.com meridia.com, http://greaterlondonprayerwall.org Adipex, http://envirotechservice.com Viagra, http://encoremtg.com cialis levitra viagra vs vs, http://mytakeonmommyhood.com Antabuse, http://nandininessa.com ultram vs ultracet, http://neodfa.com adipex, http://holyindia.net buy phentermine online, -- Rimonabant?
- comment2, http://myoneshotpictures.com buspar, http://estraha.net acomplia, http://newschoolnewyork.com phentermine overdose, http://naep2010.com Propecia, http://naturalborncynic.net cialis cialis.asp zebrahaifa.com, http://mykarnali.com meridia.com, http://greaterlondonprayerwall.org Adipex, http://envirotechservice.com Viagra, http://encoremtg.com cialis levitra viagra vs vs, http://mytakeonmommyhood.com Antabuse, http://nandininessa.com ultram vs ultracet, http://neodfa.com adipex, http://holyindia.net buy phentermine online, -- Rimonabant?
- comment2, http://n-z-p.net cheap doxycycline, http://nawfa.org Viagra, http://naturalborncynic.net cialis, http://mykarnali.com buy meridia, http://envirotechservice.com cheap viagra, http://greaterlondonprayerwall.org canada adipex diet pills, http://encoremtg.com Cialis, http://neodfa.com adipex, -- zimulti rimonabant diet pill?
- comment2, http://n-z-p.net cheap doxycycline, http://nawfa.org Viagra, http://naturalborncynic.net cialis, http://mykarnali.com buy meridia, http://envirotechservice.com cheap viagra, http://greaterlondonprayerwall.org canada adipex diet pills, http://encoremtg.com Cialis, http://neodfa.com adipex, -- zimulti rimonabant diet pill?
- comment2, http://n-z-p.net cheap doxycycline, http://nawfa.org Viagra, http://naturalborncynic.net cialis, http://mykarnali.com buy meridia, http://envirotechservice.com cheap viagra, http://greaterlondonprayerwall.org canada adipex diet pills, http://encoremtg.com Cialis, http://neodfa.com adipex, -- zimulti rimonabant diet pill?
- comment2, http://leyveik.com diazepam, http://n-z-p.net doxycycline bergstrom, http://myoneshotpictures.com Buspar, http://naep2010.com propecia.com, http://naturalborncynic.net cialis levitra viagra, http://mykarnali.com meridia without perscription, http://envirotechservice.com cheap viagra, http://greaterlondonprayerwall.org adipex-p, http://mytakeonmommyhood.com Antabuse, http://nandininessa.com ultram er dosages, -- buy adipex-p?
- comment5, http://n-z-p.net doxycycline absorption prediction, http://filmontherun.com Rimonabant, http://mutluanne.org buy klonopin, http://newschoolnewyork.com adipex phentermine, http://estraha.net Acomplia, http://nawfa.org online viagra sales, http://greaterlondonprayerwall.org adipex, http://envirotechservice.com viagra online, http://encoremtg.com cialis.com,, http://mytakeonmommyhood.com antabuse 60 pills, http://holyindia.net Phentermine, -- cialis?
- comment4, http://leyveik.com buy diazepam, http://n-z-p.net doxycycline effects hyclate side, http://filmontherun.com rimonabant, http://mutluanne.org klonopin, http://myoneshotpictures.com buspar sexual side effects, http://newschoolnewyork.com phentermine vs meridia, http://estraha.net acomplia slimming tablet, http://nawfa.org viagra equivalent, http://naturalborncynic.net Cialis, http://envirotechservice.com cheap viagra, http://neodfa.com adipex witthout a prescription, http://mytakeonmommyhood.com antabuse medication, http://holyindia.net cheapest phentermine online, -- Ultram?
- comment6, http://leyveik.com diazepam overdose, http://n-z-p.net cheap doxycycline, http://filmontherun.com Rimonabant, http://naep2010.com propecia, http://estraha.net Acomplia, http://mykarnali.com meridia canada prescription, http://mytakeonmommyhood.com antabuse, http://holyindia.net phentermine, -- viagra super active 120 pills?
- comment3, http://n-z-p.net doxycycline, http://newschoolnewyork.com phentermine, http://nawfa.org viagra best buy, http://encoremtg.com Cialis, http://neodfa.com adipex, -- Diazepam?
- comment2, http://filmontherun.com Rimonabant, http://mutluanne.org klonopin history, http://naep2010.com propecia, http://estraha.net acomplia fat cells, http://naturalborncynic.net buy cialis online, http://greaterlondonprayerwall.org buy adipex, http://encoremtg.com cialis, http://nandininessa.com Ultram, http://neodfa.com Adipex, http://mytakeonmommyhood.com 250 antabuse cheap generic mg, http://holyindia.net phentermine, -- buy buspar?
- comment2, http://n-z-p.net doxycycline and photosensitivity, http://naep2010.com viagra propecia online gt, http://greaterlondonprayerwall.org adipex, http://encoremtg.com Cialis, http://neodfa.com Adipex, http://holyindia.net phentermine pregnancy, -- phentermine clinic portland or?
- comment2, http://herbal-remedies-online-shop.com/ herbal remedies, http://erektionen.se viagra köp, http://buy-ampicillin.com/ amoxil ampicillin anti, http://cialisinfo.it acquisto cialis, http://choose-health-insurance-quotes.com/ id health insurance, http://best-herbal-remedies-shop.com/ herbal remedies, -- health insurance
- comment4, http://omviagra.com handla viagra, http://buying-diflucan.com/ diflucan, http://buy-cafergot.com/ cheap cafergot, http://free-dating-websites-4u.com/ swingers dating sites, http://online-dating-services-4u.com/ biker dating services, -- buy cigarettes?
- comment6, http://leyveik.com Diazepam, http://filmontherun.com Rimonabant, http://mutluanne.org buy klonopin, http://estraha.net acomplia, http://naep2010.com order propecia online, http://envirotechservice.com buy viagra online, -- purchase zimulti acomplia?
- comment2, http://limweb.org Viagra, http://letoileblog.com cialis online, http://laiaatthepark.com Cialis, http://londonphotoassociation.org Levitra, -- Cialis?
- comment2, http://limweb.org silagra generic viagra, http://laiaatthepark.com cialis levitra viagra, http://letoileblog.com discount cialis, http://londonphotoassociation.org buy cheap levitra spam, -- sofia viagra?
- comment5, http://limweb.org Viagra, http://laiaatthepark.com cheap cialis generic, http://letoileblog.com buy cialis online, http://londonphotoassociation.org book buy generic, -- online rx cialis?
- comment1, http://limweb.org buy viagra, http://letoileblog.com cialis levitra viagra, http://laiaatthepark.com cialis cialis cialis genuinerx.net viagra, http://londonphotoassociation.org viagra cialis levitra, -- order viagra?
- comment4, http://limweb.org viagra, http://laiaatthepark.com cialis professional 20mg, http://letoileblog.com order cialis, http://londonphotoassociation.org levitra, -- Levitra?
- AtPyE0 <a href=\"http://umqyfdriusvf.com/\">umqyfdriusvf</a>, [url=http://zmwdooryatkd.com/]zmwdooryatkd[/url], [link=http://bhrqzordcftu.com/]bhrqzordcftu[/link], http://jequgtpxgbgb.com/ -- nbowow?