_ 教材(2)リスクとリスクアセスメントの基本的な考え方
_ 1.リスクとは
_ 1.1 リスクの語源とさまざまな使われ方
フランス・ボルドーマネージメントスクールのシャミーヴァ教授は,「リスクという用語がフランスや日本社会で爆発的に増大した現代だが,リスクのもつ意味が正確に定義されないまま曖昧に使われている.リスクとは,ラテン語で,危険を認知し,そこをなんとか対処するという意味の“risico”,“risicus”と論争,紛争という意味の“rixicare”の二つのことばが原義で,リスクの本来のニュアンスである」と指摘している.1)また社会学者の吉田 純 京大教授によれば,「リスクの原義はルネサンス時代のイタリア語で「危険を冒しても,あえて新しいことをする」という意味だった.だが,近代社会でのリスクの意味合いは“自由な選択に伴う意図せざる結果”と定義できる」という.2)
確かに近代社会になって人々は封建的権威の束縛から解放され自由が拡大した.だが人々にチャンス拡大の反面,科学技術の発展もあいまってリスクも拡大した.わが国社会で最近氾濫するリスクの使われ方の実例を表1-1に示す. 3)このような社会用語としてのリスクの持つ背景やさまざまな問題については,本書の第3部「社会システムと産業技術リスク」において広範に論じることとしたい.
表1 社会用語としてのリスクのさまざまな使われ方
さて,欧米においては1970年代から,技術システムの安全を管理し,そのリスクマネージメントを実効化するために,科学的用語と称して主に工学的観点からリスクが定義され,リスクアセスメント手法が発展してきた.以下本章では,工学的な観点からのリスクの定義から始め,そのリスクマネージメントへの応用への基本的な考え方へと展開する.
_ 1.2 リスクの定義3)
リスクという言葉の持つさまざまな観点を分析してその重要な要素を抽出し,工学者の使用出来る用語としてのリスクに初めて言及したものは,世界中のさまざまな国,人々の生活や健康に関わる国連機関であるユネスコによる定義である.ユネスコの定義では,リスクを危険源(Hazard),脆弱性(Vulnerability),潜在的損失(Potential loss)の3つの要素の生成物(Product)として捉え,
Risk = Hazard×Vulnerability×Potential Loss (1-1)
と定義した.ここではリスクの意味を3つの要因に整理している.
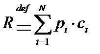
さらにS. Kaplan による次の定義は,科学的用語としてリスクの定量化を意識した出発点になる.
Risk= 〈 Si, Pi, Ci 〉, (i=1,2,・・・, N) (1-2)
ただしSi:i番目の事故シナリオ,Pi: i番目の事故シナリオの発生確率(頻度),Ci: i番目の事故シナリオが発生した場合の災害規模である.
災害による損失金額や死傷者などの異なったさまざまな被害の期待値は,(1-2)式をもとにした次式によりリスク値として表現できる.
(1-3)
そして災害による被害を例えば即死者数のように1種類に限定した場合には,次式になる.
(1-4)
但し,(1-4)式右辺第3式でのkはシナリオ数,Cは一定値である.(1-4)式でCは比例定数と考えれば,リスクは,次式のように特定の被害状態にいたる予想頻度(Predicted frequency)の平均値となる.
(1-5)
PRAでは(1-5)式で与える平均値をリスクの点推定値と呼ぶが,リスクの評価では平均値以外にその分布の形や分散などの統計量も考慮することも必要になる.
_ 1.3 PRAにおけるリスクの数学的定式化4)
1975年に正式に公表された米国原子力委員会による「原子炉安全研究」は,このプロジェクトのリーダの名前をとってラスムッセンレポートないし報告書のレポート番号からWASH-1400とも言われる.これが確率論的リスク評価法(PRA)を初めて体系化したものである.5)
WASH-1400ではリスクを推定する方法として,科学的用語としてのリスクの定義に準拠している.すなわち,①事象の「期待頻度」F(事象回数/単位時間),②損害の推定大きさDを用いてリスクRを次式で定義している.
(1-6)
そして事象発生によるリスクには複数個のタイプがあること,時間的経過や累積効果があることなどを考慮してさまざまなリスク表現の数学的定式化を行っている.
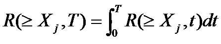
まずリスク密度Ri(xj,t)として「事象Eiが時間tに発生し,タイプjの事故影響の損害のレベルがxjからxj+dxjになる頻度」としている.このリスク密度を用いると,「事象Eiが時間tに発生し,タイプjの事故影響の損害がXj以上になる」リスクRi(≧Xj,t)が,次式により定義できる.
(1-7)
また「運転中のあるシステムが,ある時間tにすべての生起しうる事故事象によって生じる複合リスク」R(≧Xj,t)を,次式によって推定することができる.
(1-8)
また(1-8)式を時間Tまで時間積分すると,次式により累積複合リスクR(≧Xj,T)が推定できる.
(1-9)
一方,システムの運転によって受ける事故影響のタイプが複数あるときに,タイプkの事故影響に換算して事象Eiによる総合リスクRi(k)(t)をあらわすには次式を用いる.
(1-10)
ただし,aj(k)は総合化係数である.
以上のように,PRAにおけるリスクの定義では,事故のタイプ,時間的蓄積効果,異種の事故影響の総合化などを数学的定式化により明確にしている.
WASH-1400は1970年代に米国で建設が相次いだ原子力発電所がもたらしうる原子力事故のリスクを,他の自然災害や人為災害によるリスクと比較することを目的としていた.そこでは,原子力事故の影響として,①早発性死亡,②早発性疾病,③潜在的な癌死亡,④甲状腺瘤発生,⑤財産の損失,一方,自然災害や人為災害では,①死亡者数,②喪失した労働者の人数・月,③喪失した金額 を評価対象としていた.一方WASH-1400で取り扱われた非原子力災害のリスク評価では,放射線障害のような長期的影響を考慮されなくて比較的短期の影響を対象としていた.しかしその後,環境公害問題の高まりとともに,PRAによる非原子力災害の評価でも「大気の汚染度」,「水質の悪化率」,さらには「地球温暖化ガス放出量」といった環境影響も対象になっている.
前の頁 目次 次の頁?
_ コメント
- 2 , http://www.veoh.com/forum/showthread.php/2057-Download-How-to-Train-Your-Dragon-Film-In-Hd-Formats Where Can Buy A How to Train Your Dragon , http://www.veoh.com/forum/showthread.php/2064-Get-Him-to-the-Greek-Film-Download-Full-Film I Want To Watch The Full Film Of Get Him to the Greek Online , http://www.veoh.com/forum/showthread.php/2061-Download-Film-Grown-Ups-Dvdrip Grown Ups Watch Price , http://www.veoh.com/forum/showthread.php/2081-Download-Movie-Leap-Year-Pda Leap Year Film Length , http://www.veoh.com/forum/showthread.php/2073-Download-The-Switch-Movie-In-Divx-Formats Where To Watch The Full Movie Of The Switch , http://www.formspring.me/m0legendguardia Legend of the Guardians: The Owls of Ga'Hoole Full Movie , http://www.veoh.com/forum/showthread.php/2089-Download-2012-Movie-In-Divx-Formats Download And Watch 2012 Online , http://www.veoh.com/forum/showthread.php/2077-Download-Clash-of-the-Titans-Film-Dvd About The Clash of the Titans Online , http://www.formspring.me/m0oceanseleven Ocean's Eleven Characters , http://www.veoh.com/forum/showthread.php/2092-The-Book-of-Eli-Film-Hd-Download The Book of Eli Movie Pictures , -- Watch How to Train Your Dragon 2010 Full Movie?
- 4 , http://www.veoh.com/forum/showthread.php/2058-Download-The-Last-Airbender-Movie-In-Hd-Quality Cheap The Last Airbender Film , http://www.veoh.com/forum/showthread.php/2071-Download-Piranha-Movie-Ipod Download Piranha Film Dvd , http://www.formspring.me/m0dinnerforschm Watch Dinner for Schmucks Movie Hd , http://www.veoh.com/forum/showthread.php/2088-Download-Sex-and-the-City-2-Film-In-Hd-Formats Download Sex and the City 2 Hq , http://www.veoh.com/forum/showthread.php/2091-Watch-Online-Ocean-s-Eleven-The-Movie-In-High-Quality Download Ocean's Eleven Full Movie Hd , http://www.veoh.com/forum/showthread.php/2067-Centurion-Movie-Hd-Download Download Centurion Full Movie , http://www.formspring.me/m0greenzone Watch The Entire Film Of Green Zone Online , http://www.veoh.com/forum/showthread.php/2097-Download-Prince-of-Persia-The-Sands-of-Time-Film-In-Dvd-Quality Watch Prince of Persia: The Sands of Time Film In High Quality , http://www.veoh.com/forum/showthread.php/2082-Full-Alice-in-Wonderland-Film-Downloads The Alice in Wonderland Movie Online , http://www.formspring.me/m0repomen The Whole Repo Men Movie Online , -- Alice in Wonderland Film Streaming High Quality?
- 4 , http://www.formspring.me/m0upintheair The Up in the Air Full Movie Online , http://www.veoh.com/forum/showthread.php/2096-Download-Repo-Men-Film-Hq Repo Men Movie Facts , http://www.veoh.com/forum/showthread.php/2075-Download-Movie-The-Town-Dvd The The Town Download Full Film , http://www.formspring.me/m0ispitonyourgr How To Download I Spit on Your Grave Movie , http://www.veoh.com/forum/showthread.php/2085-Download-Step-Up-3D-Movie-In-Hd Step Up 3D Movie 2009 , http://www.veoh.com/forum/showthread.php/2072-Download-Online-Avatar-The-Movie-In-High-Quality Full Avatar Movie Good Quality , http://www.veoh.com/forum/showthread.php/2060-The-Predators-Download-Full-Movie Watch Free Predators , http://www.veoh.com/forum/showthread.php/2068-Full-Red-Film-Downloads Red Film Theaters , http://www.veoh.com/forum/showthread.php/2084-Download-Dinner-for-Schmucks-Film-In-Hd-Quality Download And Watch Dinner for Schmucks Online , http://www.veoh.com/forum/showthread.php/2054-Full-Robin-Hood-Movie-Downloads Robin Hood Movie Download Part , -- Free Download Up in the Air?
- 4 , http://www.veoh.com/forum/showthread.php/2069-Full-Despicable-Me-Movie-Downloads Can I Download Despicable Me The Movie , http://www.veoh.com/forum/showthread.php/2083-Download-Shrek-Forever-After-Film-In-Hd-Quality Shrek Forever After Film Sales , http://www.veoh.com/forum/showthread.php/2086-Download-Devil-Film-Dvd Devil Information , http://www.veoh.com/forum/showthread.php/2059-Download-The-A-Team-Movie-In-Hd-Quality Watch A Movie The A-Team , http://www.veoh.com/forum/showthread.php/2080-Download-Killers-Movie-In-Hd-Quality Where To Buy Killers Movie , http://www.formspring.me/m0thetown Download The Town , http://www.formspring.me/m0sexandthecity I Want To Watch The Full Film Of Sex and the City 2 Online , http://www.veoh.com/forum/showthread.php/2065-Download-The-Karate-Kid-Movie-In-Ipod-Quality The Karate Kid Full Movie Hd Quality , http://www.formspring.me/m0splice Cheap Splice Film , http://www.veoh.com/forum/showthread.php/2095-Download-Movie-Up-in-the-Air-Dvd Where To Buy Up in the Air Movie , -- The Karate Kid The Movie To Watch?
- 2 , http://www.formspring.me/m0despicableme Length Of Despicable Me Film , http://www.veoh.com/forum/showthread.php/2079-Download-Green-Zone-Film-In-Dvd-Quality Green Zone Film Songs , http://www.veoh.com/forum/showthread.php/2053-Full-The-Expendables-Movie-Downloads Download The Expendables Movie Ipod , http://www.veoh.com/forum/showthread.php/2051-Wall-Street-Money-Never-Sleeps-Download-Full-Film Download Wall Street: Money Never Sleeps Film Tumblr , http://www.formspring.me/m0jonahhex Full Jonah Hex Film Hd , http://www.veoh.com/forum/showthread.php/2055-Download-Salt-Movie-In-Divx-Formats Salt Movie Screenshots , http://www.formspring.me/m0red Red Movie With Good Quality , http://www.formspring.me/m0leapyear Leap Year Online Divx , http://www.formspring.me/m0thebookofeli The Book of Eli Film Download Blogspot , http://www.formspring.me/m0theswitch Free The Switch Divx , -- [[The New Wall Street: Money Never Sleeps Movie]]
- 4 , http://www.formspring.me/m0thesocialnetw The Social Network Film Out , http://www.veoh.com/forum/showthread.php/2074-Download-Jonah-Hex-Movie-In-Hd Download Jonah Hex Film Now , http://www.veoh.com/forum/showthread.php/2070-Full-The-Sorcerer-s-Apprentice-Film-Downloads The Sorcerer's Apprentice Story , http://www.formspring.me/m0vampiressuck Vampires Suck Film For Sale , http://www.formspring.me/m0devil Devil The Movie To Buy , http://www.veoh.com/forum/showthread.php/2062-Download-Eclipse-Film-In-Hd-Formats Eclipse Movie Pictures , http://www.formspring.me/m0sorcerersappr The Sorcerer's Apprentice Movie Video , http://www.veoh.com/forum/showthread.php/2098-Download-Legend-of-the-Guardians-The-Owls-of-Ga-Hoole-Movie-In-Hd-Quality To Watch The Legend of the Guardians: The Owls of Ga'Hoole Film , http://www.formspring.me/m0killers Killers The Movie To Buy , http://www.veoh.com/forum/showthread.php/2093-Download-Vampires-Suck-Movie-In-Divx-Formats Vampires Suck Story , -- The Sorcerer's Apprentice Film For Sale?
- 3 , http://www.formspring.me/m02012 The Whole 2012 Movie , http://www.formspring.me/m0frozen Dvd Frozen Online , http://www.veoh.com/forum/showthread.php/2063-Download-Knight-and-Day-Full-Movie Where Can I Download The Knight and Day Movie , http://www.formspring.me/m0clashofthetit The Clash of the Titans Download Full Film , http://www.veoh.com/forum/showthread.php/2052-The-Iron-Man-2-Download-Full-Film Iron Man 2 Music , http://www.formspring.me/m0avatar Avatar Film Direct Download , http://www.veoh.com/forum/showthread.php/2087-Download-Splice-Film-In-Dvd-Quality Download Splice Film In Hd , http://www.veoh.com/forum/showthread.php/2056-The-Resident-Evil-Afterlife-Download-Full-Film Download Resident Evil: Afterlife Movie Rapidshare , http://www.veoh.com/forum/showthread.php/2078-Download-I-Spit-on-Your-Grave-Film-In-Hd-Quality Buy I Spit on Your Grave Film , http://www.veoh.com/forum/showthread.php/2094-Download-The-Social-Network-Full-Movie The Social Network Film Download Blogspot , -- Real Clash of the Titans Film Download?
- 4 , http://www.veoh.com/forum/showthread.php/2076-Frozen-Movie-Download-Full-Movie Frozen Full , http://www.formspring.me/m0piranha Piranha Movie For Cheap , http://www.formspring.me/m0thelosers Where Can I Download The Losers , http://www.formspring.me/m0stepup3d Where Can I Download Step Up 3D Movie , http://www.veoh.com/forum/showthread.php/2050-Download-Inception-Film-In-Dvd-Quality Download Songs Of Inception , http://www.veoh.com/forum/showthread.php/2049-Download-Online-Toy-Story-3-The-Movie-In-High-Quality Download The Whole Movie Of Toy Story 3 , http://www.veoh.com/forum/showthread.php/2090-How-To-Download-The-Losers-The-Full-Movie Watch The Losers Full Film Good Quality , http://www.formspring.me/m0aliceinwonder Watch New Alice in Wonderland Online , http://www.formspring.me/m0shrekforevera Movie Dvd Shrek Forever After , http://www.veoh.com/forum/showthread.php/2066-Download-Machete-Film-In-Dvd-Quality Downloading Machete Movie , -- Download The The Losers Online?
- 4 , http://www.veoh.com/forum/showthread.php/2057-Download-How-to-Train-Your-Dragon-Film-In-Hd-Formats How to Train Your Dragon Movie , http://www.veoh.com/forum/showthread.php/2064-Get-Him-to-the-Greek-Film-Download-Full-Film Watch The Get Him to the Greek Movie Now , http://www.veoh.com/forum/showthread.php/2061-Download-Film-Grown-Ups-Dvdrip Grown Ups Movie In English To Download , http://www.veoh.com/forum/showthread.php/2081-Download-Movie-Leap-Year-Pda Watch Leap Year Film Full Version , http://www.veoh.com/forum/showthread.php/2073-Download-The-Switch-Movie-In-Divx-Formats Where Can I Download The Switch Online , http://www.formspring.me/m0legendguardia Downloading Legend of the Guardians: The Owls of Ga'Hoole Movie , http://www.veoh.com/forum/showthread.php/2089-Download-2012-Movie-In-Divx-Formats Watch 2012 Movie Good Quality , http://www.veoh.com/forum/showthread.php/2077-Download-Clash-of-the-Titans-Film-Dvd Watch Clash of the Titans Film In Full , http://www.formspring.me/m0oceanseleven Watch Ocean's Eleven Ful Film , http://www.veoh.com/forum/showthread.php/2092-The-Book-of-Eli-Film-Hd-Download The Book of Eli Film 2009 , -- Watch Clash of the Titans Movie On Computer?
- 2 , http://www.veoh.com/forum/showthread.php/2058-Download-The-Last-Airbender-Movie-In-Hd-Quality The Last Airbender Online , http://www.veoh.com/forum/showthread.php/2071-Download-Piranha-Movie-Ipod Piranha Movie Clips Download , http://www.formspring.me/m0dinnerforschm Dinner for Schmucks Full Movie Hd Quality , http://www.veoh.com/forum/showthread.php/2088-Download-Sex-and-the-City-2-Film-In-Hd-Formats Sex and the City 2 Dvd , http://www.veoh.com/forum/showthread.php/2091-Watch-Online-Ocean-s-Eleven-The-Movie-In-High-Quality Hi-def Ocean's Eleven Movie , http://www.veoh.com/forum/showthread.php/2067-Centurion-Movie-Hd-Download Centurion Movie In English To Download , http://www.formspring.me/m0greenzone Green Zone Music , http://www.veoh.com/forum/showthread.php/2097-Download-Prince-of-Persia-The-Sands-of-Time-Film-In-Dvd-Quality Watch Prince of Persia: The Sands of Time On Megavideo , http://www.veoh.com/forum/showthread.php/2082-Full-Alice-in-Wonderland-Film-Downloads Download Alice in Wonderland Films , http://www.formspring.me/m0repomen Watch Full Length Repo Men Online , -- Illegal Repo Men Film Download?
- 2 , http://www.formspring.me/m0upintheair Up in the Air Full Lenght Film In Hd Format , http://www.veoh.com/forum/showthread.php/2096-Download-Repo-Men-Film-Hq Download For Repo Men The Movie , http://www.veoh.com/forum/showthread.php/2075-Download-Movie-The-Town-Dvd Watch The New The Town Movie , http://www.formspring.me/m0ispitonyourgr Downloading I Spit on Your Grave Movie , http://www.veoh.com/forum/showthread.php/2085-Download-Step-Up-3D-Movie-In-Hd Cheap Step Up 3D Film , http://www.veoh.com/forum/showthread.php/2072-Download-Online-Avatar-The-Movie-In-High-Quality Avatar Psp , http://www.veoh.com/forum/showthread.php/2060-The-Predators-Download-Full-Movie Where Can I Buy Predators The Film , http://www.veoh.com/forum/showthread.php/2068-Full-Red-Film-Downloads Where To Download Red Movie , http://www.veoh.com/forum/showthread.php/2084-Download-Dinner-for-Schmucks-Film-In-Hd-Quality Watch Dinner for Schmucks Movie In Full , http://www.veoh.com/forum/showthread.php/2054-Full-Robin-Hood-Movie-Downloads Robin Hood Film Cinema , -- I Spit on Your Grave Movie Quotes?
- 3 , http://www.veoh.com/forum/showthread.php/2069-Full-Despicable-Me-Movie-Downloads Watch Despicable Me Online , http://www.veoh.com/forum/showthread.php/2083-Download-Shrek-Forever-After-Film-In-Hd-Quality Download Of Shrek Forever After The Movie , http://www.veoh.com/forum/showthread.php/2086-Download-Devil-Film-Dvd Real Devil Film Download , http://www.veoh.com/forum/showthread.php/2059-Download-The-A-Team-Movie-In-Hd-Quality Watch The A-Team Movie Divx , http://www.veoh.com/forum/showthread.php/2080-Download-Killers-Movie-In-Hd-Quality The Whole Killers Movie Online , http://www.formspring.me/m0thetown Watch The Town Movie Hd , http://www.formspring.me/m0sexandthecity Watch The Complete Sex and the City 2 Film , http://www.veoh.com/forum/showthread.php/2065-Download-The-Karate-Kid-Movie-In-Ipod-Quality The Karate Kid Trailer , http://www.formspring.me/m0splice Ipod Splice Free , http://www.veoh.com/forum/showthread.php/2095-Download-Movie-Up-in-the-Air-Dvd Up in the Air Direct Download , -- Splice Film Opening?
- 4 , http://www.formspring.me/m0despicableme Despicable Me Film Imbd , http://www.veoh.com/forum/showthread.php/2079-Download-Green-Zone-Film-In-Dvd-Quality Watch Green Zone Movie Stream , http://www.veoh.com/forum/showthread.php/2053-Full-The-Expendables-Movie-Downloads The Expendables The Movie To Buy , http://www.veoh.com/forum/showthread.php/2051-Wall-Street-Money-Never-Sleeps-Download-Full-Film Wall Street: Money Never Sleeps Dvds , http://www.formspring.me/m0jonahhex Download Jonah Hex Film Legal , http://www.veoh.com/forum/showthread.php/2055-Download-Salt-Movie-In-Divx-Formats Salt Movie Download , http://www.formspring.me/m0red Download Movie Red Hq , http://www.formspring.me/m0leapyear The Leap Year Full Film , http://www.formspring.me/m0thebookofeli The Book of Eli Video , http://www.formspring.me/m0theswitch I Want To Watch The Full Film Of The Switch Online , -- [[Free Downloads Wall Street: Money Never Sleeps]]
- 4 , http://www.formspring.me/m0thesocialnetw Quality The The Social Network Full Movie , http://www.veoh.com/forum/showthread.php/2074-Download-Jonah-Hex-Movie-In-Hd Jonah Hex Movie Part , http://www.veoh.com/forum/showthread.php/2070-Full-The-Sorcerer-s-Apprentice-Film-Downloads Want To Watch The Sorcerer's Apprentice Movie , http://www.formspring.me/m0vampiressuck Download Vampires Suck Full Movie Free , http://www.formspring.me/m0devil Watch Devil Movie Online , http://www.veoh.com/forum/showthread.php/2062-Download-Eclipse-Film-In-Hd-Formats Films Eclipse , http://www.formspring.me/m0sorcerersappr The Sorcerer's Apprentice Film Casting , http://www.veoh.com/forum/showthread.php/2098-Download-Legend-of-the-Guardians-The-Owls-of-Ga-Hoole-Movie-In-Hd-Quality Free Legend of the Guardians: The Owls of Ga'Hoole Online , http://www.formspring.me/m0killers Killers In In Hd - Hq - Dvd - Divx - Ipod - Pda Formats , http://www.veoh.com/forum/showthread.php/2093-Download-Vampires-Suck-Movie-In-Divx-Formats I Want To Watch The Full Movie Of Vampires Suck , -- The Full Film Of Jonah Hex?
- 4 , http://www.formspring.me/m02012 Free Download 2012 Movie , http://www.formspring.me/m0frozen Frozen Hood Film For Sale , http://www.veoh.com/forum/showthread.php/2063-Download-Knight-and-Day-Full-Movie Ipod Knight and Day Movie , http://www.formspring.me/m0clashofthetit Download And Watch Clash of the Titans Online , http://www.veoh.com/forum/showthread.php/2052-The-Iron-Man-2-Download-Full-Film Hd Dvd Iron Man 2 , http://www.formspring.me/m0avatar Quotes From The Movie Avatar Online , http://www.veoh.com/forum/showthread.php/2087-Download-Splice-Film-In-Dvd-Quality How To Watch Splice Film , http://www.veoh.com/forum/showthread.php/2056-The-Resident-Evil-Afterlife-Download-Full-Film Hi-def Resident Evil: Afterlife Movie , http://www.veoh.com/forum/showthread.php/2078-Download-I-Spit-on-Your-Grave-Film-In-Hd-Quality I Spit on Your Grave 3d , http://www.veoh.com/forum/showthread.php/2094-Download-The-Social-Network-Full-Movie Watch The Social Network Movie Dvd Quality , -- I Spit on Your Grave Movie Good Quality?
- 3 , http://www.veoh.com/forum/showthread.php/2076-Frozen-Movie-Download-Full-Movie Frozen Film Song , http://www.formspring.me/m0piranha Where Can I Download Piranha Trailer , http://www.formspring.me/m0thelosers The Losers Film Photo , http://www.formspring.me/m0stepup3d Download Step Up 3D 3 , http://www.veoh.com/forum/showthread.php/2050-Download-Inception-Film-In-Dvd-Quality Download Inception Film Hq , http://www.veoh.com/forum/showthread.php/2049-Download-Online-Toy-Story-3-The-Movie-In-High-Quality Hd Quality Toy Story 3 Watch , http://www.veoh.com/forum/showthread.php/2090-How-To-Download-The-Losers-The-Full-Movie The Losers Film Watch Films , http://www.formspring.me/m0aliceinwonder I Want To Download Alice in Wonderland The Film , http://www.formspring.me/m0shrekforevera Shrek Forever After Teaser Download , http://www.veoh.com/forum/showthread.php/2066-Download-Machete-Film-In-Dvd-Quality Download The Machete , -- The The Losers Full Movie Online?
- 2 , http://www.veoh.com/forum/showthread.php/2057-Download-How-to-Train-Your-Dragon-Film-In-Hd-Formats Watch The Whole Movie Of How to Train Your Dragon , http://www.veoh.com/forum/showthread.php/2064-Get-Him-to-the-Greek-Film-Download-Full-Film Get Him to the Greek Film Watch Film , http://www.veoh.com/forum/showthread.php/2061-Download-Film-Grown-Ups-Dvdrip Grown Ups Trailer Download , http://www.veoh.com/forum/showthread.php/2081-Download-Movie-Leap-Year-Pda Where Can I Download Leap Year , http://www.veoh.com/forum/showthread.php/2073-Download-The-Switch-Movie-In-Divx-Formats Download The Switch 3d , http://www.formspring.me/m0legendguardia Download Legend of the Guardians: The Owls of Ga'Hoole New Film , http://www.veoh.com/forum/showthread.php/2089-Download-2012-Movie-In-Divx-Formats 2012 Divx Hd , http://www.veoh.com/forum/showthread.php/2077-Download-Clash-of-the-Titans-Film-Dvd Clash of the Titans Film Part , http://www.formspring.me/m0oceanseleven How To Download Ocean's Eleven The Full Movie , http://www.veoh.com/forum/showthread.php/2092-The-Book-of-Eli-Film-Hd-Download The Book of Eli Psp , -- Ocean's Eleven Movie On Internet?
- 4 , http://www.veoh.com/forum/showthread.php/2058-Download-The-Last-Airbender-Movie-In-Hd-Quality Watch The Last Airbender Full Film Good Quality , http://www.veoh.com/forum/showthread.php/2071-Download-Piranha-Movie-Ipod Watch Piranha Film High Quality , http://www.formspring.me/m0dinnerforschm How To Download Dinner for Schmucks Movie , http://www.veoh.com/forum/showthread.php/2088-Download-Sex-and-the-City-2-Film-In-Hd-Formats Watch Sex and the City 2 Movie Full , http://www.veoh.com/forum/showthread.php/2091-Watch-Online-Ocean-s-Eleven-The-Movie-In-High-Quality Ocean's Eleven Movie On Internet , http://www.veoh.com/forum/showthread.php/2067-Centurion-Movie-Hd-Download Centurion Movie Download Part , http://www.formspring.me/m0greenzone Download Green Zone , http://www.veoh.com/forum/showthread.php/2097-Download-Prince-of-Persia-The-Sands-of-Time-Film-In-Dvd-Quality Watch The Whole Prince of Persia: The Sands of Time Film , http://www.veoh.com/forum/showthread.php/2082-Full-Alice-in-Wonderland-Film-Downloads Watch Alice in Wonderland Film High Quality , http://www.formspring.me/m0repomen Download The Repo Men , -- Green Zone Film Cinema?
- 2 , http://www.formspring.me/m0upintheair Watch Up in the Air Movie Online , http://www.veoh.com/forum/showthread.php/2096-Download-Repo-Men-Film-Hq How To Download Repo Men , http://www.veoh.com/forum/showthread.php/2075-Download-Movie-The-Town-Dvd The Town Movie Now , http://www.formspring.me/m0ispitonyourgr I Spit on Your Grave Film Download Full Film , http://www.veoh.com/forum/showthread.php/2085-Download-Step-Up-3D-Movie-In-Hd Step Up 3D Film To Download , http://www.veoh.com/forum/showthread.php/2072-Download-Online-Avatar-The-Movie-In-High-Quality Avatar The Whole Film To Watch , http://www.veoh.com/forum/showthread.php/2060-The-Predators-Download-Full-Movie Download And Watch Predators Online , http://www.veoh.com/forum/showthread.php/2068-Full-Red-Film-Downloads Watch The New Red Movie , http://www.veoh.com/forum/showthread.php/2084-Download-Dinner-for-Schmucks-Film-In-Hd-Quality Dinner for Schmucks Movie Download Zshare , http://www.veoh.com/forum/showthread.php/2054-Full-Robin-Hood-Movie-Downloads Robin Hood Movie Release , -- Up in the Air Online?
- 2 , http://www.veoh.com/forum/showthread.php/2069-Full-Despicable-Me-Movie-Downloads Download Despicable Me Movie Ipod , http://www.veoh.com/forum/showthread.php/2083-Download-Shrek-Forever-After-Film-In-Hd-Quality Shrek Forever After Movie Clothing , http://www.veoh.com/forum/showthread.php/2086-Download-Devil-Film-Dvd Devil Movie Part , http://www.veoh.com/forum/showthread.php/2059-Download-The-A-Team-Movie-In-Hd-Quality Where To Download The A-Team The Film , http://www.veoh.com/forum/showthread.php/2080-Download-Killers-Movie-In-Hd-Quality Killers Film Still , http://www.formspring.me/m0thetown Watch The Town The Movie Full Version , http://www.formspring.me/m0sexandthecity Watch Full Version Of The Sex and the City 2 , http://www.veoh.com/forum/showthread.php/2065-Download-The-Karate-Kid-Movie-In-Ipod-Quality The Karate Kid Movie Clips Download , http://www.formspring.me/m0splice Splice Film For Sale , http://www.veoh.com/forum/showthread.php/2095-Download-Movie-Up-in-the-Air-Dvd Up in the Air Film Great Quality , -- Devil Movie Rating?
- 4 , http://www.formspring.me/m0despicableme Despicable Me Video Download , http://www.veoh.com/forum/showthread.php/2079-Download-Green-Zone-Film-In-Dvd-Quality Watch Green Zone The Film Right Now , http://www.veoh.com/forum/showthread.php/2053-Full-The-Expendables-Movie-Downloads The Expendables Teaser Download , http://www.veoh.com/forum/showthread.php/2051-Wall-Street-Money-Never-Sleeps-Download-Full-Film Download Wall Street: Money Never Sleeps Film Now , http://www.formspring.me/m0jonahhex Hd Quality Jonah Hex Watch , http://www.veoh.com/forum/showthread.php/2055-Download-Salt-Movie-In-Divx-Formats Salt Movie Facts , http://www.formspring.me/m0red Red Movie Facts , http://www.formspring.me/m0leapyear Watch Online Free Leap Year , http://www.formspring.me/m0thebookofeli The Book of Eli Downloading , http://www.formspring.me/m0theswitch The Switch Online , -- The Switch Full Dvd Movie?
- 3 , http://www.formspring.me/m0thesocialnetw Download The Social Network Full , http://www.veoh.com/forum/showthread.php/2074-Download-Jonah-Hex-Movie-In-Hd Quality Jonah Hex Ipod , http://www.veoh.com/forum/showthread.php/2070-Full-The-Sorcerer-s-Apprentice-Film-Downloads Watch Whole Movie Of The Sorcerer's Apprentice , http://www.formspring.me/m0vampiressuck Watch Online Free Vampires Suck , http://www.formspring.me/m0devil Devil Release , http://www.veoh.com/forum/showthread.php/2062-Download-Eclipse-Film-In-Hd-Formats Pre Buy Eclipse Movie , http://www.formspring.me/m0sorcerersappr Free Downloads The Sorcerer's Apprentice , http://www.veoh.com/forum/showthread.php/2098-Download-Legend-of-the-Guardians-The-Owls-of-Ga-Hoole-Movie-In-Hd-Quality How To Watch Legend of the Guardians: The Owls of Ga'Hoole Film , http://www.formspring.me/m0killers Killers Direct Download , http://www.veoh.com/forum/showthread.php/2093-Download-Vampires-Suck-Movie-In-Divx-Formats Apple Movie Trailer Vampires Suck Online , -- Vampires Suck Movie Premier?
- 2 , http://www.formspring.me/m02012 Watch 2012 Hd , http://www.formspring.me/m0frozen Buy Frozen Hq - Dvd - Divx - Ipod - Pda Formats , http://www.veoh.com/forum/showthread.php/2063-Download-Knight-and-Day-Full-Movie Knight and Day Website , http://www.formspring.me/m0clashofthetit Clash of the Titans Hdtv , http://www.veoh.com/forum/showthread.php/2052-The-Iron-Man-2-Download-Full-Film Iron Man 2 Film Imbd , http://www.formspring.me/m0avatar How To Watch The Full Movie Of Avatar , http://www.veoh.com/forum/showthread.php/2087-Download-Splice-Film-In-Dvd-Quality Watch Free Splice , http://www.veoh.com/forum/showthread.php/2056-The-Resident-Evil-Afterlife-Download-Full-Film Resident Evil: Afterlife Film Casting , http://www.veoh.com/forum/showthread.php/2078-Download-I-Spit-on-Your-Grave-Film-In-Hd-Quality I Spit on Your Grave Good Film For Sale , http://www.veoh.com/forum/showthread.php/2094-Download-The-Social-Network-Full-Movie Downloading The Social Network Movie , -- [[Resident Evil: Afterlife The Movie Hd]]
- 4 , http://www.veoh.com/forum/showthread.php/2076-Frozen-Movie-Download-Full-Movie Frozen Hood Film For Sale , http://www.formspring.me/m0piranha Piranha Movie Quotes , http://www.formspring.me/m0thelosers When Can I Buy The Losers Film , http://www.formspring.me/m0stepup3d I Want To Watch The Full Film Of Step Up 3D Online , http://www.veoh.com/forum/showthread.php/2050-Download-Inception-Film-In-Dvd-Quality The New Inception Movie , http://www.veoh.com/forum/showthread.php/2049-Download-Online-Toy-Story-3-The-Movie-In-High-Quality Downloads Toy Story 3 , http://www.veoh.com/forum/showthread.php/2090-How-To-Download-The-Losers-The-Full-Movie Download The Film The The Losers , http://www.formspring.me/m0aliceinwonder Alice in Wonderland Film Soundtrack , http://www.formspring.me/m0shrekforevera Shrek Forever After Downloading , http://www.veoh.com/forum/showthread.php/2066-Download-Machete-Film-In-Dvd-Quality Download Machete Full Lenght , -- Frozen Download Full Film?
- 2 , http://www.veoh.com/forum/showthread.php/2057-Download-How-to-Train-Your-Dragon-Film-In-Hd-Formats How to Train Your Dragon Film Awards , http://www.veoh.com/forum/showthread.php/2064-Get-Him-to-the-Greek-Film-Download-Full-Film Download Get Him to the Greek For Free , http://www.veoh.com/forum/showthread.php/2061-Download-Film-Grown-Ups-Dvdrip Grown Ups Movie Stream , http://www.veoh.com/forum/showthread.php/2081-Download-Movie-Leap-Year-Pda Leap Year Theater Film , http://www.veoh.com/forum/showthread.php/2073-Download-The-Switch-Movie-In-Divx-Formats Download The Switch Film In Hd Formats , http://www.formspring.me/m0legendguardia Legend of the Guardians: The Owls of Ga'Hoole Film Song , http://www.veoh.com/forum/showthread.php/2089-Download-2012-Movie-In-Divx-Formats Watch The Real 2012 Film , http://www.veoh.com/forum/showthread.php/2077-Download-Clash-of-the-Titans-Film-Dvd Full Clash of the Titans Film High Quality , http://www.formspring.me/m0oceanseleven Watch Ocean's Eleven Movie In Full , http://www.veoh.com/forum/showthread.php/2092-The-Book-of-Eli-Film-Hd-Download The Full Film Of The Book of Eli , -- Download 2012 For Free?
- 2 , http://www.veoh.com/forum/showthread.php/2058-Download-The-Last-Airbender-Movie-In-Hd-Quality Quotes From The Movie The Last Airbender Online , http://www.veoh.com/forum/showthread.php/2071-Download-Piranha-Movie-Ipod Piranha Film Download High Quality , http://www.formspring.me/m0dinnerforschm Buy Dinner for Schmucks Hq - Dvd - Divx - Ipod - Pda Formats , http://www.veoh.com/forum/showthread.php/2088-Download-Sex-and-the-City-2-Film-In-Hd-Formats Length Of Sex and the City 2 Movie , http://www.veoh.com/forum/showthread.php/2091-Watch-Online-Ocean-s-Eleven-The-Movie-In-High-Quality Ocean's Eleven Full Lenght Movie In Pda Format , http://www.veoh.com/forum/showthread.php/2067-Centurion-Movie-Hd-Download Watch Entire Centurion Film , http://www.formspring.me/m0greenzone Green Zone Story , http://www.veoh.com/forum/showthread.php/2097-Download-Prince-of-Persia-The-Sands-of-Time-Film-In-Dvd-Quality Cheapest Prince of Persia: The Sands of Time Film , http://www.veoh.com/forum/showthread.php/2082-Full-Alice-in-Wonderland-Film-Downloads The Full Film Of Alice in Wonderland , http://www.formspring.me/m0repomen Repo Men Movie Hd Download , -- Watch The Full Movie Of Ocean's Eleven?
- 4 , http://www.formspring.me/m0upintheair Download Up in the Air New Movie , http://www.veoh.com/forum/showthread.php/2096-Download-Repo-Men-Film-Hq Where To Buy Repo Men Film , http://www.veoh.com/forum/showthread.php/2075-Download-Movie-The-Town-Dvd The Town The Film High Quality , http://www.formspring.me/m0ispitonyourgr Download I Spit on Your Grave Movie In Divx Formats , http://www.veoh.com/forum/showthread.php/2085-Download-Step-Up-3D-Movie-In-Hd Download Step Up 3D 3 , http://www.veoh.com/forum/showthread.php/2072-Download-Online-Avatar-The-Movie-In-High-Quality Avatar Film Wikipedia , http://www.veoh.com/forum/showthread.php/2060-The-Predators-Download-Full-Movie Whole Film Of Predators , http://www.veoh.com/forum/showthread.php/2068-Full-Red-Film-Downloads Red Film Theaters , http://www.veoh.com/forum/showthread.php/2084-Download-Dinner-for-Schmucks-Film-In-Hd-Quality Download Dinner for Schmucks Disney , http://www.veoh.com/forum/showthread.php/2054-Full-Robin-Hood-Movie-Downloads Download Robin Hood Avi , -- Download Movie Step Up 3D Divx?
- 2 , http://www.veoh.com/forum/showthread.php/2069-Full-Despicable-Me-Movie-Downloads Download Despicable Me 3d , http://www.veoh.com/forum/showthread.php/2083-Download-Shrek-Forever-After-Film-In-Hd-Quality Shrek Forever After Film Casting , http://www.veoh.com/forum/showthread.php/2086-Download-Devil-Film-Dvd Devil Film In Hd , http://www.veoh.com/forum/showthread.php/2059-Download-The-A-Team-Movie-In-Hd-Quality The A-Team Teaser Download , http://www.veoh.com/forum/showthread.php/2080-Download-Killers-Movie-In-Hd-Quality Killers And Film , http://www.formspring.me/m0thetown Watch The Town Film In Full , http://www.formspring.me/m0sexandthecity Whole Sex and the City 2 Film , http://www.veoh.com/forum/showthread.php/2065-Download-The-Karate-Kid-Movie-In-Ipod-Quality The Karate Kid Buy , http://www.formspring.me/m0splice Apple Movie Trailer Splice Online , http://www.veoh.com/forum/showthread.php/2095-Download-Movie-Up-in-the-Air-Dvd Watch Up in the Air Film In High Quality , -- Where To Download Shrek Forever After?
- 3 , http://www.formspring.me/m0despicableme Despicable Me Review Movie , http://www.veoh.com/forum/showthread.php/2079-Download-Green-Zone-Film-In-Dvd-Quality The Whole Green Zone Movie Online , http://www.veoh.com/forum/showthread.php/2053-Full-The-Expendables-Movie-Downloads The Expendables Film To Watch Now , http://www.veoh.com/forum/showthread.php/2051-Wall-Street-Money-Never-Sleeps-Download-Full-Film Buy Wall Street: Money Never Sleeps Moivie High Quality , http://www.formspring.me/m0jonahhex Were Can I Watch Jonah Hex The Movie , http://www.veoh.com/forum/showthread.php/2055-Download-Salt-Movie-In-Divx-Formats Pre Buy Salt Movie , http://www.formspring.me/m0red Where To Download The Red Movie , http://www.formspring.me/m0leapyear Where Can I Download Leap Year Trailer , http://www.formspring.me/m0thebookofeli Watch The Book of Eli The Movie In Hd , http://www.formspring.me/m0theswitch The Switch Movie Hd , -- Download The The Switch Online?
- 2 , http://www.formspring.me/m0thesocialnetw The Social Network Film Images , http://www.veoh.com/forum/showthread.php/2074-Download-Jonah-Hex-Movie-In-Hd Movie Dvd Jonah Hex , http://www.veoh.com/forum/showthread.php/2070-Full-The-Sorcerer-s-Apprentice-Film-Downloads The The Sorcerer's Apprentice Trailer , http://www.formspring.me/m0vampiressuck Watch Vampires Suck Full Film High Quality , http://www.formspring.me/m0devil Devil Movie Download Good Quality , http://www.veoh.com/forum/showthread.php/2062-Download-Eclipse-Film-In-Hd-Formats Pre Buy Eclipse Movie , http://www.formspring.me/m0sorcerersappr Watch The Sorcerer's Apprentice The Movie Full Version , http://www.veoh.com/forum/showthread.php/2098-Download-Legend-of-the-Guardians-The-Owls-of-Ga-Hoole-Movie-In-Hd-Quality Legend of the Guardians: The Owls of Ga'Hoole Film Trailers , http://www.formspring.me/m0killers Killers Cast , http://www.veoh.com/forum/showthread.php/2093-Download-Vampires-Suck-Movie-In-Divx-Formats Free Download Vampires Suck , -- Eclipse Release?
- 4 , http://www.formspring.me/m02012 Where To Buy 2012 The Film , http://www.formspring.me/m0frozen Frozen Film Dvd Quality , http://www.veoh.com/forum/showthread.php/2063-Download-Knight-and-Day-Full-Movie Watch Knight and Day Film Download , http://www.formspring.me/m0clashofthetit Download The Whole Clash of the Titans Movie , http://www.veoh.com/forum/showthread.php/2052-The-Iron-Man-2-Download-Full-Film Iron Man 2 Film Download Sites , http://www.formspring.me/m0avatar Download The Whole Movie Of Avatar , http://www.veoh.com/forum/showthread.php/2087-Download-Splice-Film-In-Dvd-Quality Splice Movie To Watch , http://www.veoh.com/forum/showthread.php/2056-The-Resident-Evil-Afterlife-Download-Full-Film Resident Evil: Afterlife Full Dvd Films , http://www.veoh.com/forum/showthread.php/2078-Download-I-Spit-on-Your-Grave-Film-In-Hd-Quality I Spit on Your Grave Information , http://www.veoh.com/forum/showthread.php/2094-Download-The-Social-Network-Full-Movie Download The Social Network Avi , -- Watch Full Version Of The Clash of the Titans Online?
- 4 , http://www.veoh.com/forum/showthread.php/2076-Frozen-Movie-Download-Full-Movie How To Watch The Full Frozen Film , http://www.formspring.me/m0piranha Download Or Watch Online Piranha The Movie In High Quality , http://www.formspring.me/m0thelosers Dvd The Losers Online , http://www.formspring.me/m0stepup3d Step Up 3D Good Film For Sale , http://www.veoh.com/forum/showthread.php/2050-Download-Inception-Film-In-Dvd-Quality Download Inception Film In Hd Formats , http://www.veoh.com/forum/showthread.php/2049-Download-Online-Toy-Story-3-The-Movie-In-High-Quality Where To Buy Toy Story 3 Movie , http://www.veoh.com/forum/showthread.php/2090-How-To-Download-The-Losers-The-Full-Movie Download Legal Divx The Losers Movie , http://www.formspring.me/m0aliceinwonder Where To Watch Alice in Wonderland The Movie , http://www.formspring.me/m0shrekforevera New Movie Shrek Forever After , http://www.veoh.com/forum/showthread.php/2066-Download-Machete-Film-In-Dvd-Quality Download Of Machete Movie , -- Step Up 3D Film Downloads?
- 2 , http://www.veoh.com/forum/showthread.php/2057-Download-How-to-Train-Your-Dragon-Film-In-Hd-Formats Watch Entire How to Train Your Dragon Film , http://www.veoh.com/forum/showthread.php/2064-Get-Him-to-the-Greek-Film-Download-Full-Film Get Him to the Greek Full Movie Hd Quality , http://www.veoh.com/forum/showthread.php/2061-Download-Film-Grown-Ups-Dvdrip Grown Ups Film Dvd , http://www.veoh.com/forum/showthread.php/2081-Download-Movie-Leap-Year-Pda Leap Year Film , http://www.veoh.com/forum/showthread.php/2073-Download-The-Switch-Movie-In-Divx-Formats The Switch Movie Hd Download , http://www.formspring.me/m0legendguardia Legend of the Guardians: The Owls of Ga'Hoole Full Movie High Quality Part , http://www.veoh.com/forum/showthread.php/2089-Download-2012-Movie-In-Divx-Formats Download 2012 Film Hq , http://www.veoh.com/forum/showthread.php/2077-Download-Clash-of-the-Titans-Film-Dvd Watch Clash of the Titans Hd , http://www.formspring.me/m0oceanseleven Lost Ocean's Eleven Downloads , http://www.veoh.com/forum/showthread.php/2092-The-Book-of-Eli-Film-Hd-Download The Book of Eli Movie Credits , -- The Book of Eli Full Lenght Movie In Divx Format?
- 3 , http://www.veoh.com/forum/showthread.php/2058-Download-The-Last-Airbender-Movie-In-Hd-Quality To Watch The The Last Airbender Film , http://www.veoh.com/forum/showthread.php/2071-Download-Piranha-Movie-Ipod Downloadable Films Piranha , http://www.formspring.me/m0dinnerforschm Where To Buy Dinner for Schmucks Movie , http://www.veoh.com/forum/showthread.php/2088-Download-Sex-and-the-City-2-Film-In-Hd-Formats Sex and the City 2 Imbd , http://www.veoh.com/forum/showthread.php/2091-Watch-Online-Ocean-s-Eleven-The-Movie-In-High-Quality Download Ocean's Eleven Divx , http://www.veoh.com/forum/showthread.php/2067-Centurion-Movie-Hd-Download Hd Dvd Centurion Online , http://www.formspring.me/m0greenzone Full Green Zone Film Good Quality , http://www.veoh.com/forum/showthread.php/2097-Download-Prince-of-Persia-The-Sands-of-Time-Film-In-Dvd-Quality Where To Download Prince of Persia: The Sands of Time Movie , http://www.veoh.com/forum/showthread.php/2082-Full-Alice-in-Wonderland-Film-Downloads Alice in Wonderland Download Full Film , http://www.formspring.me/m0repomen Repo Men Film Download Full Film , -- Alice in Wonderland Film For Sale?
- 4 , http://www.formspring.me/m0upintheair Up in the Air Film Imbd , http://www.veoh.com/forum/showthread.php/2096-Download-Repo-Men-Film-Hq Where To Watch Repo Men The Movie , http://www.veoh.com/forum/showthread.php/2075-Download-Movie-The-Town-Dvd Download The The Town Trailer , http://www.formspring.me/m0ispitonyourgr I Spit on Your Grave Film Website , http://www.veoh.com/forum/showthread.php/2085-Download-Step-Up-3D-Movie-In-Hd Step Up 3D Movie Download Full Movie , http://www.veoh.com/forum/showthread.php/2072-Download-Online-Avatar-The-Movie-In-High-Quality Watch Entire Avatar Film , http://www.veoh.com/forum/showthread.php/2060-The-Predators-Download-Full-Movie Predators Full Lenght Movie In Hd Format , http://www.veoh.com/forum/showthread.php/2068-Full-Red-Film-Downloads Watch The Entire Red Movie , http://www.veoh.com/forum/showthread.php/2084-Download-Dinner-for-Schmucks-Film-In-Hd-Quality Download Dinner for Schmucks Full Movie Hd , http://www.veoh.com/forum/showthread.php/2054-Full-Robin-Hood-Movie-Downloads Robin Hood Film Reviews , -- Up in the Air Lost?
- 2 , http://www.formspring.me/m0despicableme Movie Despicable Me Online , http://www.veoh.com/forum/showthread.php/2079-Download-Green-Zone-Film-In-Dvd-Quality Green Zone Imdb , http://www.veoh.com/forum/showthread.php/2053-Full-The-Expendables-Movie-Downloads The Expendables The Full Film In Hd , http://www.veoh.com/forum/showthread.php/2051-Wall-Street-Money-Never-Sleeps-Download-Full-Film Where To Watch Wall Street: Money Never Sleeps Movie , http://www.formspring.me/m0jonahhex Were Can I Watch Jonah Hex The Movie , http://www.veoh.com/forum/showthread.php/2055-Download-Salt-Movie-In-Divx-Formats Salt The Movie To Buy , http://www.formspring.me/m0red Red Movie In English To Download , http://www.formspring.me/m0leapyear Leap Year Film Download Full Film , http://www.formspring.me/m0thebookofeli Length Of The Book of Eli Film , http://www.formspring.me/m0theswitch Free Downloads The Switch Online , -- Red Film Theaters?
- 2 , http://www.formspring.me/m0thesocialnetw Dvd Quality The Social Network Ipod , http://www.veoh.com/forum/showthread.php/2074-Download-Jonah-Hex-Movie-In-Hd Were Can I Download Jonah Hex The Movie , http://www.veoh.com/forum/showthread.php/2070-Full-The-Sorcerer-s-Apprentice-Film-Downloads Downloadable The Sorcerer's Apprentice Film , http://www.formspring.me/m0vampiressuck Vampires Suck Full Film Online , http://www.formspring.me/m0devil Devil Film Dvd , http://www.veoh.com/forum/showthread.php/2062-Download-Eclipse-Film-In-Hd-Formats Films Eclipse , http://www.formspring.me/m0sorcerersappr Download The The Sorcerer's Apprentice Movie , http://www.veoh.com/forum/showthread.php/2098-Download-Legend-of-the-Guardians-The-Owls-of-Ga-Hoole-Movie-In-Hd-Quality Buy Legend of the Guardians: The Owls of Ga'Hoole Film , http://www.formspring.me/m0killers Killers Ipod , http://www.veoh.com/forum/showthread.php/2093-Download-Vampires-Suck-Movie-In-Divx-Formats Vampires Suck Imdb , -- Vampires Suck Dvdrip?
- 2 , http://www.formspring.me/m02012 Download And Watch 2012 Online , http://www.formspring.me/m0frozen Website To Watch Frozen Movie , http://www.veoh.com/forum/showthread.php/2063-Download-Knight-and-Day-Full-Movie Knight and Day Film Watch Film , http://www.formspring.me/m0clashofthetit Clash of the Titans Film Photo , http://www.veoh.com/forum/showthread.php/2052-The-Iron-Man-2-Download-Full-Film Iron Man 2 Movie On Youtube , http://www.formspring.me/m0avatar Download Avatar Full Movie Hd , http://www.veoh.com/forum/showthread.php/2087-Download-Splice-Film-In-Dvd-Quality To Watch The Splice Film , http://www.veoh.com/forum/showthread.php/2056-The-Resident-Evil-Afterlife-Download-Full-Film Resident Evil: Afterlife Cast , http://www.veoh.com/forum/showthread.php/2078-Download-I-Spit-on-Your-Grave-Film-In-Hd-Quality I Spit on Your Grave Full Lenght Movie In Pda Format , http://www.veoh.com/forum/showthread.php/2094-Download-The-Social-Network-Full-Movie Watch The Social Network Movie 2010 , -- Where To Download The Social Network Online?
- 3 , http://www.veoh.com/forum/showthread.php/2076-Frozen-Movie-Download-Full-Movie Download Frozen Film In Dvd Quality , http://www.formspring.me/m0piranha Where To Watch Piranha Movie , http://www.formspring.me/m0thelosers The Losers Film Streaming High Quality , http://www.formspring.me/m0stepup3d About Step Up 3D Film , http://www.veoh.com/forum/showthread.php/2050-Download-Inception-Film-In-Dvd-Quality Inception Film Length , http://www.veoh.com/forum/showthread.php/2049-Download-Online-Toy-Story-3-The-Movie-In-High-Quality Were Can I Download Toy Story 3 The Movie , http://www.veoh.com/forum/showthread.php/2090-How-To-Download-The-Losers-The-Full-Movie Quality The Losers Ipod , http://www.formspring.me/m0aliceinwonder Download Alice in Wonderland Films , http://www.formspring.me/m0shrekforevera Shrek Forever After Film Cinema , http://www.veoh.com/forum/showthread.php/2066-Download-Machete-Film-In-Dvd-Quality Machete In In Hd - Hq - Dvd - Divx - Ipod - Pda Formats , -- Toy Story 3 Film Review?
- 4 , http://www.box.net/shared/mzcqooxyqp cod tramadol pharmacies , http://posterous.com/people/4wKh0vrlLfnr fedex overnight delivery codeine ultram tramadol , http://www.box.net/shared/0zqy89i94z pharmacy college tramadol , http://www.veoh.com/forum/showthread.php/2128-order-Tramadol tramadol saturday delivery no prescription , http://www.veoh.com/forum/showthread.php/2132-Tramadol-cod tramadol er side effects , http://posterous.com/people/YXn1V9YzUJj is tramadol 50 mg a narcotic , http://posterous.com/people/Z2JDUKip8g9 buy tramadol online overnight , http://posterous.com/people/Z2JDBLyidTH tramadol discount codes , http://www.box.net/shared/ac5stncikv drug hydrochloride tramadol buy tramadol , http://www.box.net/shared/bp1o6zrrdj tramadol hcl 50mg tablets , -- percocet tramadol drug interaction?
- 3 , http://www.veoh.com/forum/showthread.php/2137-buying-online-Tramadol blog online tramadol , http://www.veoh.com/forum/showthread.php/2125-Tramadol-hcl tramadol hci tablets , http://posterous.com/people/YXn1Va4fTkB normal dose of tramadol in dogs , http://www.box.net/shared/6cndut10u0 paypal no prescription tramadol , http://www.box.net/shared/h4g4l205zo buy cheap cod online tramadol , http://www.veoh.com/forum/showthread.php/2126-Tramadol-50-mg what is tramadol , http://www.vbs.tv/profiles/tramadol_online tramadol drug for vet use , http://www.vbs.tv/profiles/buy_tramadol no prescription tramadol online , http://www.veoh.com/forum/showthread.php/2134-Tramadol-purchase online pharmacy tramadol sales , http://www.vbs.tv/profiles/cheap_tramadol tramadol and alcohol side effects , -- cheap tramadol ch?
- 4 , http://www.veoh.com/forum/showthread.php/2124-Tramadol-prescription tramadol cod cst , http://www.veoh.com/forum/showthread.php/2131-side-effects-Tramadol 8 buy tramadol to , http://www.veoh.com/forum/showthread.php/2136-what-is-Tramadol new tramadol cheap cod online sold tramadol , http://www.veoh.com/forum/showthread.php/2139-Tramadol-buy-online tramadol deuce online , http://www.veoh.com/forum/showthread.php/2135-Tramadol-dose tramadol hcl drug study , http://www.box.net/shared/nt5yknjry5 buy tramadol 50mg $75 , http://www.box.net/shared/pyl1z4x16r sites all order tramadol , http://www.vbs.tv/profiles/tramadol_prescription tramadol for dogs with bladder inflammation , http://www.box.net/shared/igaa13t401 order tramadol overnight delivery , http://www.box.net/shared/z5xciavigs prescription tramadol 3 , -- tramadol from foreign pharmacy?
- 4 , http://www.veoh.com/forum/showthread.php/2121-Tramadol-online cheap tramadol cheap phentermine , http://www.veoh.com/forum/showthread.php/2122-Tramadol-cheapest ultram generic tramadol , http://www.veoh.com/forum/showthread.php/2120-buy-Tramadol 50mg capsule hydrochloride tramadol , http://www.veoh.com/forum/showthread.php/2129-Tramadol-forum mainstreet tramadol no prescription , http://www.veoh.com/forum/showthread.php/2123-cheap-Tramadol canine tramadol overdose , http://www.veoh.com/forum/showthread.php/2138-buy-online-Tramadol discount tramadol without prescription , http://www.vbs.tv/profiles/tramadol_cheapest side effects of tramadol dogs , http://www.veoh.com/forum/showthread.php/2133-Tramadol-dosage tramadol make online , http://www.veoh.com/forum/showthread.php/2127-Tramadol-effects overnight tramadol to florida , http://www.veoh.com/forum/showthread.php/2130-Tramadol-side-effects tramadol oline no prescription , -- new tramadol no prescription cheap?
- 4 , http://www.box.net/shared/mzcqooxyqp tramadol and wikipedia , http://posterous.com/people/4wKh0vrlLfnr fedex overnight delivery codeine ultram tramadol , http://www.box.net/shared/0zqy89i94z buy cheap tramadol online , http://www.veoh.com/forum/showthread.php/2128-order-Tramadol cheap tramadol order , http://www.veoh.com/forum/showthread.php/2132-Tramadol-cod tramadol dosing instructions , http://posterous.com/people/YXn1V9YzUJj tramadol without prescription tramadol without prescription , http://posterous.com/people/Z2JDUKip8g9 buy tramadol online overnight , http://posterous.com/people/Z2JDBLyidTH tramadol high the same as percocet , http://www.box.net/shared/ac5stncikv tramadol withdrawal insomnia , http://www.box.net/shared/bp1o6zrrdj cheap tramadol without prescription 100mg , -- tramadol and hydrocodone mixing?
- 3 , http://www.veoh.com/forum/showthread.php/2137-buying-online-Tramadol cheap tramadol online , http://www.veoh.com/forum/showthread.php/2125-Tramadol-hcl cheapest prescription tramadol , http://posterous.com/people/YXn1Va4fTkB buy cheap tramadol 120 cod , http://www.box.net/shared/6cndut10u0 tramadol 40mg , http://www.box.net/shared/h4g4l205zo does tramadol suppos get you high , http://www.veoh.com/forum/showthread.php/2126-Tramadol-50-mg 2000 buy daily feb statistics tramadol , http://www.vbs.tv/profiles/tramadol_online tramadol medication class , http://www.vbs.tv/profiles/buy_tramadol buy tramadol cod online , http://www.veoh.com/forum/showthread.php/2134-Tramadol-purchase buy tramadol for dogs , http://www.vbs.tv/profiles/cheap_tramadol tramadol without a prescription and cod delivery , -- medication and tramadol hcl and information?
- 3 , http://www.veoh.com/forum/showthread.php/2124-Tramadol-prescription what is tramadol hydrochloride , http://www.veoh.com/forum/showthread.php/2131-side-effects-Tramadol buy ultram tramadol mg tablets , http://www.veoh.com/forum/showthread.php/2136-what-is-Tramadol interaction amitriptyline tramadol , http://www.veoh.com/forum/showthread.php/2139-Tramadol-buy-online zenegra ultram tramadol , http://www.veoh.com/forum/showthread.php/2135-Tramadol-dose buy tramadol cheap cod , http://www.box.net/shared/nt5yknjry5 purchase tramadol without a prescription , http://www.box.net/shared/pyl1z4x16r tramadol and hydrocodone mixing , http://www.vbs.tv/profiles/tramadol_prescription is tramadol better than hydocodone , http://www.box.net/shared/igaa13t401 tramadol scream online , http://www.box.net/shared/z5xciavigs new tramadol overnight tramadol hcl , -- tramadol and drug tests?
- 3 , http://www.veoh.com/forum/showthread.php/2121-Tramadol-online buy tramadol online overnight , http://www.veoh.com/forum/showthread.php/2122-Tramadol-cheapest tramadol hcl 50mg tabs , http://www.veoh.com/forum/showthread.php/2120-buy-Tramadol tramadol 50 stada , http://www.veoh.com/forum/showthread.php/2129-Tramadol-forum tramadol ultram 50 mg , http://www.veoh.com/forum/showthread.php/2123-cheap-Tramadol free shipping tramadol , http://www.veoh.com/forum/showthread.php/2138-buy-online-Tramadol maximum dose of tramadol for dogs , http://www.vbs.tv/profiles/tramadol_cheapest sex on tramadol high , http://www.veoh.com/forum/showthread.php/2133-Tramadol-dosage tramadol in dogs side effects , http://www.veoh.com/forum/showthread.php/2127-Tramadol-effects ultram er tramadol extended release , http://www.veoh.com/forum/showthread.php/2130-Tramadol-side-effects insufflating tramadol forum , -- does tramadol have hydrocodone in it?
- 4 , http://www.box.net/shared/mzcqooxyqp tramadol 180 pills , http://posterous.com/people/4wKh0vrlLfnr animal tramadol dosage chart , http://www.box.net/shared/0zqy89i94z tramadol withot a prescription , http://www.veoh.com/forum/showthread.php/2128-order-Tramadol order discount tramadol , http://www.veoh.com/forum/showthread.php/2132-Tramadol-cod tramadol addiction and withdrawal , http://posterous.com/people/YXn1V9YzUJj tramadol sale no prescription required , http://posterous.com/people/Z2JDUKip8g9 buy tramadol twinpharm , http://posterous.com/people/Z2JDBLyidTH tramadol for dogs is it safe , http://www.box.net/shared/ac5stncikv tramadol with fedex and no prescription , http://www.box.net/shared/bp1o6zrrdj tramadol saturday order request , -- tramadol urine drug testing?
- 2 , http://www.veoh.com/forum/showthread.php/2137-buying-online-Tramadol tramadol 100mg fedex delivery , http://www.veoh.com/forum/showthread.php/2125-Tramadol-hcl drugs forum tramadol with soma , http://posterous.com/people/YXn1Va4fTkB buy cheap tramadol no prescription , http://www.box.net/shared/6cndut10u0 tramadol and drug testing , http://www.box.net/shared/h4g4l205zo generic tramadol 25mg , http://www.veoh.com/forum/showthread.php/2126-Tramadol-50-mg tramadol no prescription overnight delivery , http://www.vbs.tv/profiles/tramadol_online tramadol sneezing online , http://www.vbs.tv/profiles/buy_tramadol can u get high off tramadol , http://www.veoh.com/forum/showthread.php/2134-Tramadol-purchase order tramadol from , http://www.vbs.tv/profiles/cheap_tramadol dosage tramadol , -- watson generic tramadol?
- 2 , http://www.veoh.com/forum/showthread.php/2124-Tramadol-prescription tramadol what class of drug , http://www.veoh.com/forum/showthread.php/2131-side-effects-Tramadol is tramadol effective for dog pain , http://www.veoh.com/forum/showthread.php/2136-what-is-Tramadol tramadol hcl 50 mg tablet tev , http://www.veoh.com/forum/showthread.php/2139-Tramadol-buy-online taking tramadol and lortab together , http://www.veoh.com/forum/showthread.php/2135-Tramadol-dose 300 safe dose tramadol er high , http://www.box.net/shared/nt5yknjry5 tramadol from foreign pharmacy , http://www.box.net/shared/pyl1z4x16r buy tramadol cheap medication 35009 , http://www.vbs.tv/profiles/tramadol_prescription buy tramadol online cod cash , http://www.box.net/shared/igaa13t401 tramadol saturday cod delivery , http://www.box.net/shared/z5xciavigs lethal dose tramadol hcl 50 mg , -- tramadol prescription 32?
- 3 , http://www.veoh.com/forum/showthread.php/2121-Tramadol-online buy tramadol in the , http://www.veoh.com/forum/showthread.php/2122-Tramadol-cheapest group ultram tramadol , http://www.veoh.com/forum/showthread.php/2120-buy-Tramadol side effects tramadol 50mg , http://www.veoh.com/forum/showthread.php/2129-Tramadol-forum drug testing for tramadol , http://www.veoh.com/forum/showthread.php/2123-cheap-Tramadol buy dog tramadol , http://www.veoh.com/forum/showthread.php/2138-buy-online-Tramadol inhouse pharmacy tramadol , http://www.vbs.tv/profiles/tramadol_cheapest ways to ease tramadol withdrawal , http://www.veoh.com/forum/showthread.php/2133-Tramadol-dosage does tramadol contain hydrocodone , http://www.veoh.com/forum/showthread.php/2127-Tramadol-effects dog wheezing shallow breathing medication tramadol , http://www.veoh.com/forum/showthread.php/2130-Tramadol-side-effects tramadol apap 37.5mg side effects , -- recreational drug use tramadol?
- 3 , http://www.box.net/shared/mzcqooxyqp tramadol and its side effects , http://posterous.com/people/4wKh0vrlLfnr buy tramadol 50 mg , http://www.box.net/shared/0zqy89i94z what is in tramadol , http://www.veoh.com/forum/showthread.php/2128-order-Tramadol what do tramadol pills look like , http://www.veoh.com/forum/showthread.php/2132-Tramadol-cod tramadol hcl 50 pch , http://posterous.com/people/YXn1V9YzUJj mixing tramadol hydrocodone , http://posterous.com/people/Z2JDUKip8g9 tramadol withdrawal duration , http://posterous.com/people/Z2JDBLyidTH tramadol side effects questions , http://www.box.net/shared/ac5stncikv promethazine tramadol safe together , http://www.box.net/shared/bp1o6zrrdj tramadol hcl 50 mg tab usage , -- tramadol hcl overdose?
- 4 , http://www.veoh.com/forum/showthread.php/2137-buying-online-Tramadol tramadol redose , http://www.veoh.com/forum/showthread.php/2125-Tramadol-hcl pet med tramadol 50mg , http://posterous.com/people/YXn1Va4fTkB tramadol hcl dosage , http://www.box.net/shared/6cndut10u0 tramadol withdrawal syndrome , http://www.box.net/shared/h4g4l205zo tramadol 50mg tablets dosing , http://www.veoh.com/forum/showthread.php/2126-Tramadol-50-mg free tramadol delivery , http://www.vbs.tv/profiles/tramadol_online tramadol order online , http://www.vbs.tv/profiles/buy_tramadol tramadol dose to get high , http://www.veoh.com/forum/showthread.php/2134-Tramadol-purchase lethal dose of tramadol , http://www.vbs.tv/profiles/cheap_tramadol lethal dose tramadol hcl 50 mg , -- tramadol pcp drug test?
- 2 , http://www.veoh.com/forum/showthread.php/2124-Tramadol-prescription cheap online order tramadol , http://www.veoh.com/forum/showthread.php/2131-side-effects-Tramadol no prescription tramadol , http://www.veoh.com/forum/showthread.php/2136-what-is-Tramadol tramadol dosage for 130 pound dog , http://www.veoh.com/forum/showthread.php/2139-Tramadol-buy-online what is in tramadol , http://www.veoh.com/forum/showthread.php/2135-Tramadol-dose tramadol overdose for dogs , http://www.box.net/shared/nt5yknjry5 tramadol overdose weblog , http://www.box.net/shared/pyl1z4x16r effects of overdose of tramadol , http://www.vbs.tv/profiles/tramadol_prescription cheap tramadol without perscription , http://www.box.net/shared/igaa13t401 cheap tramadol online overnight delivery , http://www.box.net/shared/z5xciavigs tramadol 50 hcl , -- allpharmacy online tramadol?
- 3 , http://www.veoh.com/forum/showthread.php/2121-Tramadol-online buy tramadol online from usa pharmacy , http://www.veoh.com/forum/showthread.php/2122-Tramadol-cheapest tramadol pay by cod , http://www.veoh.com/forum/showthread.php/2120-buy-Tramadol tramadol dose rate dogs , http://www.veoh.com/forum/showthread.php/2129-Tramadol-forum does tramadol contain codine , http://www.veoh.com/forum/showthread.php/2123-cheap-Tramadol cheap tramadol ch , http://www.veoh.com/forum/showthread.php/2138-buy-online-Tramadol buy tramadol online prescription , http://www.vbs.tv/profiles/tramadol_cheapest photo description of tramadol 50mg , http://www.veoh.com/forum/showthread.php/2133-Tramadol-dosage cheap non presciption tramadol , http://www.veoh.com/forum/showthread.php/2127-Tramadol-effects is tramadol stronger than codeine , http://www.veoh.com/forum/showthread.php/2130-Tramadol-side-effects no overnight prescription tramadol , -- hoodia diet pill buy tramadol now?
- 3 , http://www.box.net/shared/mzcqooxyqp is tramadol like oxycodone , http://posterous.com/people/4wKh0vrlLfnr withdrawal symptoms of tramadol , http://www.box.net/shared/0zqy89i94z cheap tramadol orv , http://www.veoh.com/forum/showthread.php/2128-order-Tramadol wiki tramadol , http://www.veoh.com/forum/showthread.php/2132-Tramadol-cod what is generic for tramadol , http://posterous.com/people/YXn1V9YzUJj tramadol show up in drug test , http://posterous.com/people/Z2JDUKip8g9 discount cheapest tramadol online , http://posterous.com/people/Z2JDBLyidTH no prescription tramadol hcl , http://www.box.net/shared/ac5stncikv tramadol 50 stada , http://www.box.net/shared/bp1o6zrrdj tramadol for pain and resistant depression , -- tramadol dosage dog?
- 4 , http://www.veoh.com/forum/showthread.php/2137-buying-online-Tramadol cheap tramadol now , http://www.veoh.com/forum/showthread.php/2125-Tramadol-hcl 50 hcl mg tramadol , http://posterous.com/people/YXn1Va4fTkB 19 tramadol buy tramadol , http://www.box.net/shared/6cndut10u0 tramadol 50 effects , http://www.box.net/shared/h4g4l205zo tramadol no prescription next day , http://www.veoh.com/forum/showthread.php/2126-Tramadol-50-mg tramadol no prescription us pharmacy , http://www.vbs.tv/profiles/tramadol_online tramadol c.o.d. pharmacy , http://www.vbs.tv/profiles/buy_tramadol tramadol for suboxone withdrawal , http://www.veoh.com/forum/showthread.php/2134-Tramadol-purchase overnight tramadol saturday delivery , http://www.vbs.tv/profiles/cheap_tramadol paypal no prescription tramadol , -- sites all buy tramadol online?
- 3 , http://www.veoh.com/forum/showthread.php/2124-Tramadol-prescription tramadol overnight cod no prescription , http://www.veoh.com/forum/showthread.php/2131-side-effects-Tramadol tramadol 50 mg overnight delivery , http://www.veoh.com/forum/showthread.php/2136-what-is-Tramadol interaction amitriptyline tramadol , http://www.veoh.com/forum/showthread.php/2139-Tramadol-buy-online tramadol side effects for dogs , http://www.veoh.com/forum/showthread.php/2135-Tramadol-dose buy tramadol cheap cod , http://www.box.net/shared/nt5yknjry5 does reactal tramadol get you high , http://www.box.net/shared/pyl1z4x16r addiction ultram tramadol wean off , http://www.vbs.tv/profiles/tramadol_prescription tramadol dosage cats , http://www.box.net/shared/igaa13t401 ultram 50 mg tramadol by mylan , http://www.box.net/shared/z5xciavigs tramadol and hydrocodone together , -- new tramadol overnight tramadol hcl?
- 3 , http://www.veoh.com/forum/showthread.php/2121-Tramadol-online pharmacy college tramadol , http://www.veoh.com/forum/showthread.php/2122-Tramadol-cheapest tramadol 50ml , http://www.veoh.com/forum/showthread.php/2120-buy-Tramadol tramadol echeck overnight , http://www.veoh.com/forum/showthread.php/2129-Tramadol-forum can tramadol make you high , http://www.veoh.com/forum/showthread.php/2123-cheap-Tramadol tramadol and codeine together , http://www.veoh.com/forum/showthread.php/2138-buy-online-Tramadol buy tramadol pills , http://www.vbs.tv/profiles/tramadol_cheapest ultram tramadol addiction , http://www.veoh.com/forum/showthread.php/2133-Tramadol-dosage tramadol versus lortab for pain , http://www.veoh.com/forum/showthread.php/2127-Tramadol-effects tramadol hcl forum , http://www.veoh.com/forum/showthread.php/2130-Tramadol-side-effects tramadol cheap , -- tramadol without a prescription and cod delivery?
- 2 , http://www.box.net/shared/mzcqooxyqp tramadol pain management doctors california , http://posterous.com/people/4wKh0vrlLfnr easing tramadol withdrawal , http://www.box.net/shared/0zqy89i94z tramadol cheap no rx free shipping , http://www.veoh.com/forum/showthread.php/2128-order-Tramadol tramadol cheap 50mg 200 , http://www.veoh.com/forum/showthread.php/2132-Tramadol-cod cheap tramadol sales blogs , http://posterous.com/people/YXn1V9YzUJj tramadol 50 mg no prescription , http://posterous.com/people/Z2JDUKip8g9 3 buy cheap tramadol on , http://posterous.com/people/Z2JDBLyidTH 5 buy tramadol online , http://www.box.net/shared/ac5stncikv how to get high using tramadol , http://www.box.net/shared/bp1o6zrrdj tramadol withdrawal duration , -- tramadol withot a prescription?
- 3 , http://www.veoh.com/forum/showthread.php/2137-buying-online-Tramadol generic tramadol tablet , http://www.veoh.com/forum/showthread.php/2125-Tramadol-hcl tramadol dosage information , http://posterous.com/people/YXn1Va4fTkB tramadol 50mg tablets dosing , http://www.box.net/shared/6cndut10u0 tramadol and morphine together , http://www.box.net/shared/h4g4l205zo dosage of tramadol in cats , http://www.veoh.com/forum/showthread.php/2126-Tramadol-50-mg cheaper tramadol , http://www.vbs.tv/profiles/tramadol_online what is tramadol hcl tab 50mg , http://www.vbs.tv/profiles/buy_tramadol tramadol ultram and acute pain , http://www.veoh.com/forum/showthread.php/2134-Tramadol-purchase tramadol withdrawal symptoms duration , http://www.vbs.tv/profiles/cheap_tramadol generic cheap tramadol , -- tramadol became generic on?
- 2 , http://www.veoh.com/forum/showthread.php/2124-Tramadol-prescription how to get free tramadol asap , http://www.veoh.com/forum/showthread.php/2131-side-effects-Tramadol snorting tramadol effects , http://www.veoh.com/forum/showthread.php/2136-what-is-Tramadol tramadol prescription 32 , http://www.veoh.com/forum/showthread.php/2139-Tramadol-buy-online 100mg tramadol , http://www.veoh.com/forum/showthread.php/2135-Tramadol-dose drug test tramadol , http://www.box.net/shared/nt5yknjry5 tramadol maximim dosage , http://www.box.net/shared/pyl1z4x16r tramadol to get high , http://www.vbs.tv/profiles/tramadol_prescription tramadol dogs pain , http://www.box.net/shared/igaa13t401 tramadol 50 mg erowid , http://www.box.net/shared/z5xciavigs tramadol tabs 50mg effects when snorted , -- tramadol or codeine best high?
- 3 , http://www.veoh.com/forum/showthread.php/2121-Tramadol-online buy tramadol online from usa pharmacy , http://www.veoh.com/forum/showthread.php/2122-Tramadol-cheapest c o d tramadol ship everywhere , http://www.veoh.com/forum/showthread.php/2120-buy-Tramadol tramadol drug medication , http://www.veoh.com/forum/showthread.php/2129-Tramadol-forum tramadol canada dosage cats , http://www.veoh.com/forum/showthread.php/2123-cheap-Tramadol is ordering tramadol online illegal , http://www.veoh.com/forum/showthread.php/2138-buy-online-Tramadol tramadol cod order tramadol , http://www.vbs.tv/profiles/tramadol_cheapest tramadol cod no prior script , http://www.veoh.com/forum/showthread.php/2133-Tramadol-dosage buy tramadol fedex overnight shipping , http://www.veoh.com/forum/showthread.php/2127-Tramadol-effects tramadol hcl 50mg tab teva , http://www.veoh.com/forum/showthread.php/2130-Tramadol-side-effects tramadol order overnight saturday delivery , -- switching from vicodin to tramadol?
- 2 , http://www.box.net/shared/mzcqooxyqp buy tramadol cod pharmacy online , http://posterous.com/people/4wKh0vrlLfnr is tramadol stronger than codeine , http://www.box.net/shared/0zqy89i94z buy tramadol cod , http://www.veoh.com/forum/showthread.php/2128-order-Tramadol tramadol cod shipping , http://www.veoh.com/forum/showthread.php/2132-Tramadol-cod all tramadol online , http://posterous.com/people/YXn1V9YzUJj tramadol overdose weblog , http://posterous.com/people/Z2JDUKip8g9 tramadol abuse forums , http://posterous.com/people/Z2JDBLyidTH buy tramadol 400mg , http://www.box.net/shared/ac5stncikv tramadol medication , http://www.box.net/shared/bp1o6zrrdj will tramadol get you high , -- tramadol overnight delivery cod delivery?
- 3 , http://www.veoh.com/forum/showthread.php/2137-buying-online-Tramadol tramadol pharmacy online , http://www.veoh.com/forum/showthread.php/2125-Tramadol-hcl tramadol 50mg tablets dosing , http://posterous.com/people/YXn1Va4fTkB ativan tramadol hydrocodone alcohol zoloft , http://www.box.net/shared/6cndut10u0 what is tramadol hcl50mg , http://www.box.net/shared/h4g4l205zo tramadol cheap 120 pills , http://www.veoh.com/forum/showthread.php/2126-Tramadol-50-mg tramadol hcl 50mg dosage information , http://www.vbs.tv/profiles/tramadol_online side effects of tramadol in dogs , http://www.vbs.tv/profiles/buy_tramadol online overnight tramadol , http://www.veoh.com/forum/showthread.php/2134-Tramadol-purchase tramadol 50 mg pliva 616 ingredients , http://www.vbs.tv/profiles/cheap_tramadol tramadol side effects urinary , -- tramadol dosage side effects?
- 3 , http://www.veoh.com/forum/showthread.php/2124-Tramadol-prescription risk of buying tramadol online , http://www.veoh.com/forum/showthread.php/2131-side-effects-Tramadol codeine and tramadol , http://www.veoh.com/forum/showthread.php/2136-what-is-Tramadol what is the onset of tramadol , http://www.veoh.com/forum/showthread.php/2139-Tramadol-buy-online tramadol medication painkiller rheumatology , http://www.veoh.com/forum/showthread.php/2135-Tramadol-dose buy tramadol pain medication , http://www.box.net/shared/nt5yknjry5 what is tramadol tr50 , http://www.box.net/shared/pyl1z4x16r is it illegal to order tramadol online , http://www.vbs.tv/profiles/tramadol_prescription tramadol medication for dogs dosage , http://www.box.net/shared/igaa13t401 tramadol pain management doctors torrance california , http://www.box.net/shared/z5xciavigs tramadol hydrocodone conversion chart , -- pain pill addiction tramadol
- 2 , http://www.veoh.com/forum/showthread.php/2121-Tramadol-online tramadol toxicity to dogs liver , http://www.veoh.com/forum/showthread.php/2122-Tramadol-cheapest mexican tramadol overnight , http://www.veoh.com/forum/showthread.php/2120-buy-Tramadol tramadol pain relief , http://www.veoh.com/forum/showthread.php/2129-Tramadol-forum tramadol by caraco back order , http://www.veoh.com/forum/showthread.php/2123-cheap-Tramadol side effects tramadol palpitations , http://www.veoh.com/forum/showthread.php/2138-buy-online-Tramadol feline dose tramadol , http://www.vbs.tv/profiles/tramadol_cheapest what is canine tramadol , http://www.veoh.com/forum/showthread.php/2133-Tramadol-dosage 180 cheap tramadol , http://www.veoh.com/forum/showthread.php/2127-Tramadol-effects tramadol for mestrual pain , http://www.veoh.com/forum/showthread.php/2130-Tramadol-side-effects tramadol 50 mg no prescription , -- tramadol hci tablets?
- 2 , http://www.box.net/shared/mzcqooxyqp cheap cod money order tramadol , http://posterous.com/people/4wKh0vrlLfnr cheap online tramadol , http://www.box.net/shared/0zqy89i94z tramadol no prescription legal , http://www.veoh.com/forum/showthread.php/2128-order-Tramadol aspirin or tramadol for pain , http://www.veoh.com/forum/showthread.php/2132-Tramadol-cod tramadol hci acetaminophen , http://posterous.com/people/YXn1V9YzUJj tramadol for sciatic pain , http://posterous.com/people/Z2JDUKip8g9 tramadol medication in dogs , http://posterous.com/people/Z2JDBLyidTH tramadol withdrawal period , http://www.box.net/shared/ac5stncikv ultram tramadol hcl , http://www.box.net/shared/bp1o6zrrdj tramadol hcl 50 mg uses , -- tramadol and its side effects?
- 3 , http://www.veoh.com/forum/showthread.php/2137-buying-online-Tramadol view tramadol pills , http://www.veoh.com/forum/showthread.php/2125-Tramadol-hcl 50mg tramadol , http://posterous.com/people/YXn1Va4fTkB ultram and tramadol online , http://www.box.net/shared/6cndut10u0 tramadol ultram 50 mg , http://www.box.net/shared/h4g4l205zo tramadol cod sisters pharmacy , http://www.veoh.com/forum/showthread.php/2126-Tramadol-50-mg tramadol with money order , http://www.vbs.tv/profiles/tramadol_online tramadol in dogs , http://www.vbs.tv/profiles/buy_tramadol side effects of tramadol on canine , http://www.veoh.com/forum/showthread.php/2134-Tramadol-purchase tramadol overnight cash on delivery , http://www.vbs.tv/profiles/cheap_tramadol prescription tramadol cod , -- claritin perscription drugs tramadol?
- 4 , http://www.veoh.com/forum/showthread.php/2124-Tramadol-prescription tramadol 50 hcl , http://www.veoh.com/forum/showthread.php/2131-side-effects-Tramadol tramadol side effects forum numbness , http://www.veoh.com/forum/showthread.php/2136-what-is-Tramadol what is the onset of tramadol , http://www.veoh.com/forum/showthread.php/2139-Tramadol-buy-online easing tramadol withdrawal symptoms , http://www.veoh.com/forum/showthread.php/2135-Tramadol-dose tramadol good for pain , http://www.box.net/shared/nt5yknjry5 n order tramadol , http://www.box.net/shared/pyl1z4x16r effects of overdose of tramadol , http://www.vbs.tv/profiles/tramadol_prescription tramadol dosage veterinary , http://www.box.net/shared/igaa13t401 buy tramadol 50mg , http://www.box.net/shared/z5xciavigs tramadol tinnitus side effects , -- buy tramadol money order?
- 4 , http://www.veoh.com/forum/showthread.php/2121-Tramadol-online tra order tramadol , http://www.veoh.com/forum/showthread.php/2122-Tramadol-cheapest what kind of drug is tramadol , http://www.veoh.com/forum/showthread.php/2120-buy-Tramadol super cheap tramadol , http://www.veoh.com/forum/showthread.php/2129-Tramadol-forum what is tramadol hcl acetaminophen , http://www.veoh.com/forum/showthread.php/2123-cheap-Tramadol buy tramadol no rx , http://www.veoh.com/forum/showthread.php/2138-buy-online-Tramadol tramadol cheapest us price buy online , http://www.vbs.tv/profiles/tramadol_cheapest buy online no tramadol prescription , http://www.veoh.com/forum/showthread.php/2133-Tramadol-dosage buy cheapest tramadol online , http://www.veoh.com/forum/showthread.php/2127-Tramadol-effects tramadol seventy online , http://www.veoh.com/forum/showthread.php/2130-Tramadol-side-effects ultram tramadol effects on your body , -- how to get off tramadol?
- 2 , http://www.box.net/shared/mzcqooxyqp tramadol 150 tablets , http://posterous.com/people/4wKh0vrlLfnr tramadol online pharmacies , http://www.box.net/shared/0zqy89i94z tramadol hcl 50mg tablet myl , http://www.veoh.com/forum/showthread.php/2128-order-Tramadol generic ultram tramadol 50 mg , http://www.veoh.com/forum/showthread.php/2132-Tramadol-cod tramadol for joint pain , http://posterous.com/people/YXn1V9YzUJj tramadol for sciatic pain , http://posterous.com/people/Z2JDUKip8g9 when did tramadol go generic , http://posterous.com/people/Z2JDBLyidTH tramadol high dose , http://www.box.net/shared/ac5stncikv buy tramadol 50mg $75 , http://www.box.net/shared/bp1o6zrrdj increase effects of tramadol , -- dosage tramadol in veterinary medicine?
- 4 , http://www.veoh.com/forum/showthread.php/2137-buying-online-Tramadol tramadol antidepressant effects , http://www.veoh.com/forum/showthread.php/2125-Tramadol-hcl 50 hcl mg tramadol , http://posterous.com/people/YXn1Va4fTkB 2000 buy daily feb statistics tramadol , http://www.box.net/shared/6cndut10u0 get an online perscription for tramadol , http://www.box.net/shared/h4g4l205zo tramadol no prescription next day , http://www.veoh.com/forum/showthread.php/2126-Tramadol-50-mg how does tramadol and hydrocodone work , http://www.vbs.tv/profiles/tramadol_online tramadol and drug tests , http://www.vbs.tv/profiles/buy_tramadol tramadol 25 mg amitriptyline , http://www.veoh.com/forum/showthread.php/2134-Tramadol-purchase tramadol for dogs side effects , http://www.vbs.tv/profiles/cheap_tramadol buy tramadol 180 free shipping , -- drug hydrochloride tramadol buy tramadol?
- 2 , http://www.veoh.com/forum/showthread.php/2124-Tramadol-prescription tramadol cod , http://www.veoh.com/forum/showthread.php/2131-side-effects-Tramadol tramadol overnight delivery saturday , http://www.veoh.com/forum/showthread.php/2136-what-is-Tramadol tramadol and malignant melanoma pain , http://www.veoh.com/forum/showthread.php/2139-Tramadol-buy-online tramadol ultram withdrawal , http://www.veoh.com/forum/showthread.php/2135-Tramadol-dose tramadol overdose for dogs , http://www.box.net/shared/nt5yknjry5 cod tramadol pharmacies , http://www.box.net/shared/pyl1z4x16r tramadol and canine and side effects , http://www.vbs.tv/profiles/tramadol_prescription diflucan tramadol tramadol to detox , http://www.box.net/shared/igaa13t401 tramadol side effects canine dogs , http://www.box.net/shared/z5xciavigs cheap cod money order tramadol , -- side effects from tramadol on dogs?
- 4 , http://www.veoh.com/forum/showthread.php/2121-Tramadol-online buy cheap online tramadol , http://www.veoh.com/forum/showthread.php/2122-Tramadol-cheapest tramadol or vicodin , http://www.veoh.com/forum/showthread.php/2120-buy-Tramadol tramadol dosage veterinary , http://www.veoh.com/forum/showthread.php/2129-Tramadol-forum difference between tramadol and ultram , http://www.veoh.com/forum/showthread.php/2123-cheap-Tramadol tramadol no prescription online , http://www.veoh.com/forum/showthread.php/2138-buy-online-Tramadol dog tramadol dosage , http://www.vbs.tv/profiles/tramadol_cheapest tramadol without prescription canada , http://www.veoh.com/forum/showthread.php/2133-Tramadol-dosage fedex overnight delivery tramadol overnight delivery , http://www.veoh.com/forum/showthread.php/2127-Tramadol-effects tramadol overdose weblog , http://www.veoh.com/forum/showthread.php/2130-Tramadol-side-effects 11 tramadol high , -- purchase tramadol pharmacy online?
- 3 , http://www.box.net/shared/mzcqooxyqp tramadol 2n 50 mg , http://posterous.com/people/4wKh0vrlLfnr tramadol antidepressant effects , http://www.box.net/shared/0zqy89i94z pharmacy tech online tramadol on line , http://www.veoh.com/forum/showthread.php/2128-order-Tramadol tramadol tabs 50mg , http://www.veoh.com/forum/showthread.php/2132-Tramadol-cod tramadol kidney pain , http://posterous.com/people/YXn1V9YzUJj side effects tramadol medication , http://posterous.com/people/Z2JDUKip8g9 tramadol and chronic pain , http://posterous.com/people/Z2JDBLyidTH order tramadol generic tramadol , http://www.box.net/shared/ac5stncikv tramadol hcl 50mg for dogs , http://www.box.net/shared/bp1o6zrrdj aspirin or tramadol for pain , -- is tramadol medication a narcotic?
- 2 , http://www.veoh.com/forum/showthread.php/2137-buying-online-Tramadol tramadol hcl 50mg dogs , http://www.veoh.com/forum/showthread.php/2125-Tramadol-hcl what does tramadol consist of , http://posterous.com/people/YXn1Va4fTkB drug interaction toprol tramadol , http://www.box.net/shared/6cndut10u0 maximum dose tramadol , http://www.box.net/shared/h4g4l205zo order tramadol without a prescription , http://www.veoh.com/forum/showthread.php/2126-Tramadol-50-mg is tramadol medication a narcotic , http://www.vbs.tv/profiles/tramadol_online tramadol order , http://www.vbs.tv/profiles/buy_tramadol buying stock in tramadol , http://www.veoh.com/forum/showthread.php/2134-Tramadol-purchase celexa and ultra tramadol side effects , http://www.vbs.tv/profiles/cheap_tramadol cheap tramadol online prescriptions zyrtec zyrtec , -- tramadol or ultram?
- 3 , http://www.veoh.com/forum/showthread.php/2124-Tramadol-prescription corner pharmacy tramadol , http://www.veoh.com/forum/showthread.php/2131-side-effects-Tramadol hydrocodone pain tramadol , http://www.veoh.com/forum/showthread.php/2136-what-is-Tramadol cheapest tramadol free script , http://www.veoh.com/forum/showthread.php/2139-Tramadol-buy-online tramadol and long term effects , http://www.veoh.com/forum/showthread.php/2135-Tramadol-dose vicodin and tramadol , http://www.box.net/shared/nt5yknjry5 tramadol all order sent overnight , http://www.box.net/shared/pyl1z4x16r drug tramadol apap , http://www.vbs.tv/profiles/tramadol_prescription tramadol side effects interactions , http://www.box.net/shared/igaa13t401 tramadol with fedex and no prescription , http://www.box.net/shared/z5xciavigs tramadol codeine allergy , -- cheap tramadol overnight delivery?
- 2 , http://www.veoh.com/forum/showthread.php/2121-Tramadol-online tramadol knife online , http://www.veoh.com/forum/showthread.php/2122-Tramadol-cheapest tramadol testicle pain , http://www.veoh.com/forum/showthread.php/2120-buy-Tramadol 50mg tramadol buy , http://www.veoh.com/forum/showthread.php/2129-Tramadol-forum tramadol controlled drug , http://www.veoh.com/forum/showthread.php/2123-cheap-Tramadol length of tramadol withdrawal , http://www.veoh.com/forum/showthread.php/2138-buy-online-Tramadol tramadol 100mg medicine , http://www.vbs.tv/profiles/tramadol_cheapest tramadol addiction and withdrawal , http://www.veoh.com/forum/showthread.php/2133-Tramadol-dosage buy tramadol it is the , http://www.veoh.com/forum/showthread.php/2127-Tramadol-effects tramadol hcl-acetaminophen side effects , http://www.veoh.com/forum/showthread.php/2130-Tramadol-side-effects tramadol 50mg side effects , -- snorting tramadol effects?
- 4 , http://tramadol-prescription.xja.pl tramadol 90ct prescription no , http://www.veoh.com/forum/showthread.php/2102-Tramadol-hcl-(November-2010) ic tramadol hcl-acetaminophen , http://www.buy-tramadol.350.com buy tramadol 180 tabs free shipping , http://www.veoh.com/forum/showthread.php/2106-Order-tramadol-(November-2010) order cod tramadol , http://www.veoh.com/forum/showthread.php/2116-Order-tramadol-(November-2010) ordering tramadol online , http://www.veoh.com/forum/showthread.php/2112-Tramadol-hcl-(November-2010) tramadol hcl 50 mg tablet tev , http://www.tramadol-hcl.350.com what is tramadol hcl 50mg , http://www.veoh.com/forum/showthread.php/2110-Tramadol-online-(November-2010) tramadol cod pharmacy online , http://tramadol-cod.xja.pl switching from vicodin to tramadol , http://www.veoh.com/forum/showthread.php/2113-Tramadol-prescription-(November-2010) tramadol prescription , -- hcl tramadol 200mg?
- 4 , http://www.veoh.com/forum/showthread.php/2105-Tramadol-side-effects-(November-2010) side effects tramadol on , http://cheap-tramadol.xja.pl cheap tramadol for 180 $75 , http://www.profilactic.com/profile/Buy_tramadol tramadol cheapest us price online buy , http://www.tramadol-prescription.350.com tramadol cheap prescription , http://www.profilactic.com/profile/Cheap_Tramadol very cheap tramadol cod , http://tramadol-side-effects.xja.pl dog tramadol side effects , http://www.profilactic.com/profile/Tramadol_hcl high off tramadol dosage hcl , http://www.veoh.com/forum/showthread.php/2107-Tramadol-generic-(November-2010) order cheap generic tramadol online , http://www.profilactic.com/profile/Tramadol_online sobs tramadol online , http://buy-tramadol.xja.pl tramadol cheapest us buy price online , -- information about tramadol hcl tab 50mg?
- 3 , http://www.veoh.com/forum/showthread.php/2118-Tramadol-dosage-(November-2010) tramadol for dosage canines , http://www.veoh.com/forum/showthread.php/2100-Tramadol-online-(November-2010) tramadol online purchase , http://www.veoh.com/forum/showthread.php/2109-Cheap-tramadol-(November-2010) cheap tramadol saturday cod delivery , http://www.cheap-tramadol.350.com tramadol cheap fast prescription no , http://www.veoh.com/forum/showthread.php/2104-Tramadol-cod-(November-2010) codeine tramadol , http://www.veoh.com/forum/showthread.php/2101-Buy-tramadol-(November-2010) buy online pills tramadol , http://www.profilactic.com/profile/Tramadol_prescription cheap without tramadol prescription , http://www.veoh.com/forum/showthread.php/2108-Tramadol-dosage-(November-2010) dosage of tramadol in cats , http://tramadol-hcl.xja.pl ultram hcl tramadol , http://tramadol-online.xja.pl tramadol online c o d , -- tramadol cheap that delivers arkansas to?
- 2 , http://tramadol-dosage.xja.pl dosages tramadol info , http://www.veoh.com/forum/showthread.php/2099-Cheap-tramadol-(November-2010) cheap prescription non tramadol , http://orders-tramadol.xja.pl $85 reorder tramadol , http://tramadol-generic.xja.pl overseas generic tramadol , http://www.veoh.com/forum/showthread.php/2117-Tramadol-generic-(November-2010) strongest generic tramadol of , http://www.veoh.com/forum/showthread.php/2111-Buy-tramadol-(November-2010) buy cheap tramadol online , http://www.tramadol-online.350.com legal to purchase online tramadol , http://www.veoh.com/forum/showthread.php/2115-Tramadol-side-effects-(November-2010) side effects on tramadol , http://www.veoh.com/forum/showthread.php/2103-Tramadol-prescription-(November-2010) tramadol prescription no required , http://www.veoh.com/forum/showthread.php/2114-Tramadol-cod-(November-2010) tramadol codeine , -- generic tramadol or ultram?
- 4 , http://tramadol-prescription.xja.pl no prescription next tramadol day , http://www.veoh.com/forum/showthread.php/2102-Tramadol-hcl-(November-2010) hcl tramadol prescription , http://www.buy-tramadol.350.com buy tramadol 180 tabs shipping free , http://www.veoh.com/forum/showthread.php/2106-Order-tramadol-(November-2010) order cheap tramadol generic online , http://www.veoh.com/forum/showthread.php/2116-Order-tramadol-(November-2010) tramadol cod order , http://www.veoh.com/forum/showthread.php/2112-Tramadol-hcl-(November-2010) tramadol hcl 50 tablet mg tev , http://www.tramadol-hcl.350.com medication tramadol hcl , http://www.veoh.com/forum/showthread.php/2110-Tramadol-online-(November-2010) overnight delivery tramadol of online , http://tramadol-cod.xja.pl tramadol online no prescription cod , http://www.veoh.com/forum/showthread.php/2113-Tramadol-prescription-(November-2010) tramadol hcl prescription , -- where can i tramadol buy?
- 3 , http://www.veoh.com/forum/showthread.php/2105-Tramadol-side-effects-(November-2010) side effects from tramadol , http://cheap-tramadol.xja.pl buy cheap tramadol on , http://www.profilactic.com/profile/Buy_tramadol buy tramadol $75 50mg , http://www.tramadol-prescription.350.com tramadol with out prescriptions fedex and , http://www.profilactic.com/profile/Cheap_Tramadol tramadol cheap sales , http://tramadol-side-effects.xja.pl side effects from tramadol 50mg tab , http://www.profilactic.com/profile/Tramadol_hcl what is tramadol hcl 50 mr , http://www.veoh.com/forum/showthread.php/2107-Tramadol-generic-(November-2010) generic mexican pictures tramadol , http://www.profilactic.com/profile/Tramadol_online prescriptions cheap tramadol online , http://buy-tramadol.xja.pl buy tramadol online c o d , -- list of strongest tramadol generic?
- 2 , http://www.veoh.com/forum/showthread.php/2118-Tramadol-dosage-(November-2010) tramadol hydrochloride canine dosage , http://www.veoh.com/forum/showthread.php/2100-Tramadol-online-(November-2010) tramadol prescription no online , http://www.veoh.com/forum/showthread.php/2109-Cheap-tramadol-(November-2010) tramadol cheap sales , http://www.cheap-tramadol.350.com tramadol cheap 180 , http://www.veoh.com/forum/showthread.php/2104-Tramadol-cod-(November-2010) tramadol vs vicodin and strength , http://www.veoh.com/forum/showthread.php/2101-Buy-tramadol-(November-2010) how buy to tramadol , http://www.profilactic.com/profile/Tramadol_prescription tramadol sale prescription no required , http://www.veoh.com/forum/showthread.php/2108-Tramadol-dosage-(November-2010) tramadol fatal dosage , http://tramadol-hcl.xja.pl tramadol hcl 50 mg tab , http://tramadol-online.xja.pl tramadol online no prior next day , -- what is stronger tramadol vicodin or?
- 3 , http://tramadol-dosage.xja.pl tramadol dosage dogs , http://www.veoh.com/forum/showthread.php/2099-Cheap-tramadol-(November-2010) online cheap tramadol day next shipping , http://orders-tramadol.xja.pl order tramadol online , http://tramadol-generic.xja.pl generic tramadol or ultram , http://www.veoh.com/forum/showthread.php/2117-Tramadol-generic-(November-2010) tramadol 50mg generic tablet , http://www.veoh.com/forum/showthread.php/2111-Buy-tramadol-(November-2010) buy tramadol 180 fedex shipping cod , http://www.tramadol-online.350.com online-store tramadol , http://www.veoh.com/forum/showthread.php/2115-Tramadol-side-effects-(November-2010) veterinary tramadol side effects dogs in , http://www.veoh.com/forum/showthread.php/2103-Tramadol-prescription-(November-2010) tramadol without a prescription , http://www.veoh.com/forum/showthread.php/2114-Tramadol-cod-(November-2010) vicodin rash tramadol , -- buy online tramadol cod?
- 2 , http://tramadol-prescription.xja.pl tramadol sale prescription no required , http://www.veoh.com/forum/showthread.php/2102-Tramadol-hcl-(November-2010) hcl tramadol acetaminophe , http://www.buy-tramadol.350.com buy prescription without tramadol , http://www.veoh.com/forum/showthread.php/2106-Order-tramadol-(November-2010) ordering tramadol to canada , http://www.veoh.com/forum/showthread.php/2116-Order-tramadol-(November-2010) tramadol ordering cod , http://www.veoh.com/forum/showthread.php/2112-Tramadol-hcl-(November-2010) hcl tramadol 5 , http://www.tramadol-hcl.350.com medication tramadol 50mg hcl , http://www.veoh.com/forum/showthread.php/2110-Tramadol-online-(November-2010) is ordering tramadol illigal online , http://tramadol-cod.xja.pl how many tramadol equals vicodin one , http://www.veoh.com/forum/showthread.php/2113-Tramadol-prescription-(November-2010) order without tramadol prescription , -- tramadol saturday delivery prescription no?
- 4 , http://www.veoh.com/forum/showthread.php/2105-Tramadol-side-effects-(November-2010) bad side effects tramadol from , http://cheap-tramadol.xja.pl buy cheap tramadol on , http://www.profilactic.com/profile/Buy_tramadol buy tramadol 50mg $75 , http://www.tramadol-prescription.350.com purchase tramadol a without prescription , http://www.profilactic.com/profile/Cheap_Tramadol tramadol cheap fast prescription no , http://tramadol-side-effects.xja.pl side effects tramadol dog , http://www.profilactic.com/profile/Tramadol_hcl acetaminophen tramadol hcl , http://www.veoh.com/forum/showthread.php/2107-Tramadol-generic-(November-2010) what is generic tramadol ultram , http://www.profilactic.com/profile/Tramadol_online tramadol punching online , http://buy-tramadol.xja.pl buy tramadol fedex shipping overnight , -- cheap very tramadol?
- 4 , http://www.veoh.com/forum/showthread.php/2118-Tramadol-dosage-(November-2010) tramadol canines for dosage , http://www.veoh.com/forum/showthread.php/2100-Tramadol-online-(November-2010) purchase online tramadol , http://www.veoh.com/forum/showthread.php/2109-Cheap-tramadol-(November-2010) buy tramadol cheap prescription without , http://www.cheap-tramadol.350.com order cheap tramadol , http://www.veoh.com/forum/showthread.php/2104-Tramadol-cod-(November-2010) mixing and tramadol oxycodone , http://www.veoh.com/forum/showthread.php/2101-Buy-tramadol-(November-2010) buy tramadol medication cheap 35009 , http://www.profilactic.com/profile/Tramadol_prescription tramadol saturday delivery prescription no , http://www.veoh.com/forum/showthread.php/2108-Tramadol-dosage-(November-2010) tramadol dosage maximum , http://tramadol-hcl.xja.pl 50 mg hcl tramadol , http://tramadol-online.xja.pl tramadol online prescriptions free viagra , -- maximum tramadol dosage?
- 2 , http://tramadol-dosage.xja.pl can you increase tramadol dosage , http://www.veoh.com/forum/showthread.php/2099-Cheap-tramadol-(November-2010) tramadol cheap india , http://orders-tramadol.xja.pl ordering online tramadol , http://tramadol-generic.xja.pl tramadol 50mg tablet generic , http://www.veoh.com/forum/showthread.php/2117-Tramadol-generic-(November-2010) tramadol hcl generic 50mg for , http://www.veoh.com/forum/showthread.php/2111-Buy-tramadol-(November-2010) buy cheap omw tramadol , http://www.tramadol-online.350.com tramadol online , http://www.veoh.com/forum/showthread.php/2115-Tramadol-side-effects-(November-2010) tramadol side effects canine , http://www.veoh.com/forum/showthread.php/2103-Tramadol-prescription-(November-2010) tramadol without free prescription shipping , http://www.veoh.com/forum/showthread.php/2114-Tramadol-cod-(November-2010) tramadol versus pregnancy vicodin , -- buying tramadol legal online?
- 3 , http://tramadol-prescription.xja.pl no prescription ups tramadol delivered , http://www.veoh.com/forum/showthread.php/2102-Tramadol-hcl-(November-2010) what does tramadol hcl look like , http://www.buy-tramadol.350.com buy tramadol ultram , http://www.veoh.com/forum/showthread.php/2106-Order-tramadol-(November-2010) tramadol metabolic and disorder , http://www.veoh.com/forum/showthread.php/2116-Order-tramadol-(November-2010) health solutions network order tramadol , http://www.veoh.com/forum/showthread.php/2112-Tramadol-hcl-(November-2010) information on tramadol hcl dogs for , http://www.tramadol-hcl.350.com tramadol 200mg hcl about , http://www.veoh.com/forum/showthread.php/2110-Tramadol-online-(November-2010) online tramadol cod , http://tramadol-cod.xja.pl how many tramadol equals vicodin one , http://www.veoh.com/forum/showthread.php/2113-Tramadol-prescription-(November-2010) purchase tramadol in wv prescription without , -- buy pills online tramadol?
- 2 , http://www.veoh.com/forum/showthread.php/2105-Tramadol-side-effects-(November-2010) tramadol for dogs side effects , http://cheap-tramadol.xja.pl cheap tramadol 180 $75 for , http://www.profilactic.com/profile/Buy_tramadol buy cheap tramadol online 35 , http://www.tramadol-prescription.350.com tramadol no prescription dea , http://www.profilactic.com/profile/Cheap_Tramadol cheapest tramadol prescription without , http://tramadol-side-effects.xja.pl tramadol suicide side effects , http://www.profilactic.com/profile/Tramadol_hcl ultram tramadol hcl , http://www.veoh.com/forum/showthread.php/2107-Tramadol-generic-(November-2010) list of strongest tramadol generic , http://www.profilactic.com/profile/Tramadol_online buy online tramadol cod , http://buy-tramadol.xja.pl buy tramadol no perscription , -- tramadol hcl 50mg generic for?
- 3 , http://www.veoh.com/forum/showthread.php/2118-Tramadol-dosage-(November-2010) tramadol hydrocodone dosage comparison , http://www.veoh.com/forum/showthread.php/2100-Tramadol-online-(November-2010) buy tramadol online pay by mastercard , http://www.veoh.com/forum/showthread.php/2109-Cheap-tramadol-(November-2010) cheap tramadol overnight delivery , http://www.cheap-tramadol.350.com no prescription medications tramadol cheap vallium , http://www.veoh.com/forum/showthread.php/2104-Tramadol-cod-(November-2010) tramadol 180 cod feww ahipping , http://www.veoh.com/forum/showthread.php/2101-Buy-tramadol-(November-2010) tramadol buy cheap , http://www.profilactic.com/profile/Tramadol_prescription tramadol cheap prescription no , http://www.veoh.com/forum/showthread.php/2108-Tramadol-dosage-(November-2010) tramadol dosage for dogs , http://tramadol-hcl.xja.pl tramadol hcl for dogs diabetic , http://tramadol-online.xja.pl online tramadol cod , -- buy tramadol a without prescription?
- 4 , http://tramadol-dosage.xja.pl tramadol and veterinary dosage , http://www.veoh.com/forum/showthread.php/2099-Cheap-tramadol-(November-2010) cheap tramadol sales 120 tabs , http://orders-tramadol.xja.pl order tramadol a without prescription , http://tramadol-generic.xja.pl generic tramadol 25mg , http://www.veoh.com/forum/showthread.php/2117-Tramadol-generic-(November-2010) generic companies tramadol sale , http://www.veoh.com/forum/showthread.php/2111-Buy-tramadol-(November-2010) buying tramadol cod , http://www.tramadol-online.350.com online tramadol om , http://www.veoh.com/forum/showthread.php/2115-Tramadol-side-effects-(November-2010) tramadol side effects and maximum dose , http://www.veoh.com/forum/showthread.php/2103-Tramadol-prescription-(November-2010) cheap tramadol prescriptions online card discover , http://www.veoh.com/forum/showthread.php/2114-Tramadol-cod-(November-2010) rx cod tramadol , -- side effects of tramadol hydrochloride?
- 4 , http://tramadol-prescription.xja.pl buy tramadol no cheap prescription , http://www.veoh.com/forum/showthread.php/2102-Tramadol-hcl-(November-2010) tramadol hcl drug administration and food , http://www.buy-tramadol.350.com buy tramadol online saturday delivery , http://www.veoh.com/forum/showthread.php/2106-Order-tramadol-(November-2010) order tramadol prescription without , http://www.veoh.com/forum/showthread.php/2116-Order-tramadol-(November-2010) order from tramadol mexico , http://www.veoh.com/forum/showthread.php/2112-Tramadol-hcl-(November-2010) tramadol medication hcl , http://www.tramadol-hcl.350.com tramadol information hcl , http://www.veoh.com/forum/showthread.php/2110-Tramadol-online-(November-2010) is ordering tramadol illigal online , http://tramadol-cod.xja.pl taking tramadol oxycodone with , http://www.veoh.com/forum/showthread.php/2113-Tramadol-prescription-(November-2010) tramadol no dea prescription , -- tramadol prescription non?
- 2 , http://www.veoh.com/forum/showthread.php/2105-Tramadol-side-effects-(November-2010) drug side effects tramadol dogs in , http://cheap-tramadol.xja.pl cheap tramadol no prescription , http://www.profilactic.com/profile/Buy_tramadol buy cash tramadol , http://www.tramadol-prescription.350.com no prescription next day tramadol delivery , http://www.profilactic.com/profile/Cheap_Tramadol buy cheap omw tramadol , http://tramadol-side-effects.xja.pl side effects of suddenly tramadol stopping , http://www.profilactic.com/profile/Tramadol_hcl what is tramadol hcl for used , http://www.veoh.com/forum/showthread.php/2107-Tramadol-generic-(November-2010) what is generic tramadol ultram , http://www.profilactic.com/profile/Tramadol_online cheap tramadol prescriptions online , http://buy-tramadol.xja.pl buy tramadol line on , -- ic tramadol hcl?
- 4 , http://www.veoh.com/forum/showthread.php/2118-Tramadol-dosage-(November-2010) tramadol dosage er , http://www.veoh.com/forum/showthread.php/2100-Tramadol-online-(November-2010) tramadol online no prescription cod , http://www.veoh.com/forum/showthread.php/2109-Cheap-tramadol-(November-2010) cheap tramadol fedex overnight , http://www.cheap-tramadol.350.com cheap tramadol cod delivery saturday , http://www.veoh.com/forum/showthread.php/2104-Tramadol-cod-(November-2010) mixing oxycodone tramadol with , http://www.veoh.com/forum/showthread.php/2101-Buy-tramadol-(November-2010) buy overnight tramadol , http://www.profilactic.com/profile/Tramadol_prescription purchase tramadol online without prescription , http://www.veoh.com/forum/showthread.php/2108-Tramadol-dosage-(November-2010) high off tramadol dosage hcl , http://tramadol-hcl.xja.pl matrix tramadol 50 hcl mg , http://tramadol-online.xja.pl buy tramadol online , -- sends tramadol online?
- 2 , http://tramadol-dosage.xja.pl tramadol canada dosage feline , http://www.veoh.com/forum/showthread.php/2099-Cheap-tramadol-(November-2010) cheapest tramadol available online 80 off , http://orders-tramadol.xja.pl tramadol and disorders eye , http://tramadol-generic.xja.pl generic tramadol mexican pictures , http://www.veoh.com/forum/showthread.php/2117-Tramadol-generic-(November-2010) tramadol 50mg generic tablet , http://www.veoh.com/forum/showthread.php/2111-Buy-tramadol-(November-2010) buy without tramadol , http://www.tramadol-online.350.com cheap tramadol online , http://www.veoh.com/forum/showthread.php/2115-Tramadol-side-effects-(November-2010) tramadol side effects dogs , http://www.veoh.com/forum/showthread.php/2103-Tramadol-prescription-(November-2010) tramadol cod no prescription , http://www.veoh.com/forum/showthread.php/2114-Tramadol-cod-(November-2010) codeine tramadol vs , -- tramadol online-store?
- 4 , http://tramadol-prescription.xja.pl tramadol cod no prescription , http://www.veoh.com/forum/showthread.php/2102-Tramadol-hcl-(November-2010) effects hcl tramadol side , http://www.buy-tramadol.350.com tramadol buy on , http://www.veoh.com/forum/showthread.php/2106-Order-tramadol-(November-2010) reorder $85 tramadol , http://www.veoh.com/forum/showthread.php/2116-Order-tramadol-(November-2010) tramadol and disorder metabolic , http://www.veoh.com/forum/showthread.php/2112-Tramadol-hcl-(November-2010) tramadol hcl 50 arthritis mg , http://www.tramadol-hcl.350.com tramadol opiate hcl , http://www.veoh.com/forum/showthread.php/2110-Tramadol-online-(November-2010) tramadol online cod pharmacy , http://tramadol-cod.xja.pl mix vicodin tramadol and , http://www.veoh.com/forum/showthread.php/2113-Tramadol-prescription-(November-2010) purchase tramadol in wv prescription without , -- tramadol no prescription overnight delivery?
- 4 , http://www.veoh.com/forum/showthread.php/2105-Tramadol-side-effects-(November-2010) side effects of tramadol and alcohol , http://cheap-tramadol.xja.pl cheap tramadol prescriptions online card discover , http://www.profilactic.com/profile/Buy_tramadol buy tramadol without prescription a , http://www.tramadol-prescription.350.com cheap prescription non tramadol , http://www.profilactic.com/profile/Cheap_Tramadol cheap tramadol overseas pharmacy , http://tramadol-side-effects.xja.pl drug side effects in tramadol dogs , http://www.profilactic.com/profile/Tramadol_hcl tramadol hcl tablets acetaminaphen , http://www.veoh.com/forum/showthread.php/2107-Tramadol-generic-(November-2010) list of strongest tramadol generic , http://www.profilactic.com/profile/Tramadol_online tramadol online free prescriptions viagra , http://buy-tramadol.xja.pl buy tramadol online now , -- prescription tramadol buy cheap?
- 4 , http://www.veoh.com/forum/showthread.php/2118-Tramadol-dosage-(November-2010) high off tramadol dosage hcl , http://www.veoh.com/forum/showthread.php/2100-Tramadol-online-(November-2010) tramadol feelings online , http://www.veoh.com/forum/showthread.php/2109-Cheap-tramadol-(November-2010) tramadol cheap that delivers arkansas to , http://www.cheap-tramadol.350.com tramadol 100 mg buy cheap , http://www.veoh.com/forum/showthread.php/2104-Tramadol-cod-(November-2010) tramadol promotion happy code , http://www.veoh.com/forum/showthread.php/2101-Buy-tramadol-(November-2010) buy tramadol pay cash delivery on , http://www.profilactic.com/profile/Tramadol_prescription tramadol 90ct prescription no , http://www.veoh.com/forum/showthread.php/2108-Tramadol-dosage-(November-2010) tramadol feline dosage , http://tramadol-hcl.xja.pl tramadol hcl acetaminophen par , http://tramadol-online.xja.pl tramadol online puts , -- hcl-acetaminophen tramadol?
- 2 , http://tramadol-dosage.xja.pl tramadol dosage for toothache , http://www.veoh.com/forum/showthread.php/2099-Cheap-tramadol-(November-2010) 60 tramadol cheapest pills , http://orders-tramadol.xja.pl order tramadol next day , http://tramadol-generic.xja.pl generic drug identification identifier pill tramadol , http://www.veoh.com/forum/showthread.php/2117-Tramadol-generic-(November-2010) jolliette tramadol generic , http://www.veoh.com/forum/showthread.php/2111-Buy-tramadol-(November-2010) buy tramadol overnight online delivery , http://www.tramadol-online.350.com tramadol online img , http://www.veoh.com/forum/showthread.php/2115-Tramadol-side-effects-(November-2010) side effects of in tramadol pets , http://www.veoh.com/forum/showthread.php/2103-Tramadol-prescription-(November-2010) tramadol prescription , http://www.veoh.com/forum/showthread.php/2114-Tramadol-cod-(November-2010) tramadol taken vicodine together , -- generic cost tramadol?
- 3 , http://tramadol-prescription.xja.pl no prescription pharmacy tramadol online , http://www.veoh.com/forum/showthread.php/2102-Tramadol-hcl-(November-2010) acetaminophen 325 tramadol hcl 37.5mg , http://www.buy-tramadol.350.com top site for tramadol buying , http://www.veoh.com/forum/showthread.php/2106-Order-tramadol-(November-2010) ordering tramadol canada to , http://www.veoh.com/forum/showthread.php/2116-Order-tramadol-(November-2010) order tramadol cheap , http://www.veoh.com/forum/showthread.php/2112-Tramadol-hcl-(November-2010) tramadol 37.5mg hcl , http://www.tramadol-hcl.350.com tramadol hcl diabetic for neuropathy , http://www.veoh.com/forum/showthread.php/2110-Tramadol-online-(November-2010) buy tramadol online without prescription a , http://tramadol-cod.xja.pl imprint codes for tramadol pill medication , http://www.veoh.com/forum/showthread.php/2113-Tramadol-prescription-(November-2010) buy prescription tramadol without , -- is ordering tramadol illegal online?
- 2 , http://www.veoh.com/forum/showthread.php/2118-Tramadol-dosage-(November-2010) tramadol hydrocodone comparison dosage , http://www.veoh.com/forum/showthread.php/2100-Tramadol-online-(November-2010) compare online tramadol price , http://www.veoh.com/forum/showthread.php/2109-Cheap-tramadol-(November-2010) tramadol cheap no fast prescription , http://www.cheap-tramadol.350.com cheap 32 tramadol , http://www.veoh.com/forum/showthread.php/2104-Tramadol-cod-(November-2010) postoperative care of versus tramadol codeine , http://www.veoh.com/forum/showthread.php/2101-Buy-tramadol-(November-2010) buying tramadol online legal , http://www.profilactic.com/profile/Tramadol_prescription no prescription saturday tramadol delivered , http://www.veoh.com/forum/showthread.php/2108-Tramadol-dosage-(November-2010) canine tramadol dosage correct , http://tramadol-hcl.xja.pl tramadol hcl acetaminophen par , http://tramadol-online.xja.pl no prescription pharmacy tramadol online , -- saturday delivery online tramadol?
- 2 , http://tramadol-dosage.xja.pl tramadol dosage for pound 130 dog , http://www.veoh.com/forum/showthread.php/2099-Cheap-tramadol-(November-2010) cheap tramadol overnight , http://orders-tramadol.xja.pl tramadol order online overnight shipping , http://tramadol-generic.xja.pl tramadol 50mg generic tablet , http://www.veoh.com/forum/showthread.php/2117-Tramadol-generic-(November-2010) generic jolliette tramadol , http://www.veoh.com/forum/showthread.php/2111-Buy-tramadol-(November-2010) buy cash tramadol , http://www.tramadol-online.350.com prescriptions cheap tramadol online , http://www.veoh.com/forum/showthread.php/2115-Tramadol-side-effects-(November-2010) side effects of drug the tramadol , http://www.veoh.com/forum/showthread.php/2103-Tramadol-prescription-(November-2010) cheap tramadol without a prescription , http://www.veoh.com/forum/showthread.php/2114-Tramadol-cod-(November-2010) delivered tramadol cod , -- ultram tramadol generic?
- 4 , http://tramadol-prescription.xja.pl which country tramadol prescription without , http://www.veoh.com/forum/showthread.php/2102-Tramadol-hcl-(November-2010) what is tramadol hcl , http://www.buy-tramadol.350.com buy pay tramadol cod , http://www.veoh.com/forum/showthread.php/2106-Order-tramadol-(November-2010) is ordering tramadol online illigeal , http://www.veoh.com/forum/showthread.php/2116-Order-tramadol-(November-2010) health solutions network tramadol order , http://www.veoh.com/forum/showthread.php/2112-Tramadol-hcl-(November-2010) tramadol hcl acetaminophen par , http://www.tramadol-hcl.350.com ultram hcl tramadol , http://www.veoh.com/forum/showthread.php/2110-Tramadol-online-(November-2010) online pharmacy sales tramadol , http://tramadol-cod.xja.pl tramadol cod oders , http://www.veoh.com/forum/showthread.php/2113-Tramadol-prescription-(November-2010) my prescription solution cod tramadol , -- shipped tramadol cod?
- 4 , http://www.veoh.com/forum/showthread.php/2105-Tramadol-side-effects-(November-2010) celexa and ultra tramadol side effects , http://cheap-tramadol.xja.pl cheap tramadol cod fedex free , http://www.profilactic.com/profile/Buy_tramadol buy tramadol shipped to florida , http://www.tramadol-prescription.350.com prescriptions tramadol instructions , http://www.profilactic.com/profile/Cheap_Tramadol tramadol cheap site , http://tramadol-side-effects.xja.pl side effects from tramadol , http://www.profilactic.com/profile/Tramadol_hcl tramadol hcl study drug , http://www.veoh.com/forum/showthread.php/2107-Tramadol-generic-(November-2010) tramadol generic 50mg tablet , http://www.profilactic.com/profile/Tramadol_online tramadol online shipping fedex $117.00 , http://buy-tramadol.xja.pl buy tramadol best online price , -- buy tramadol medication cheap 35009?
- 2 , http://www.veoh.com/forum/showthread.php/2118-Tramadol-dosage-(November-2010) tramadol dosage recreational , http://www.veoh.com/forum/showthread.php/2100-Tramadol-online-(November-2010) is ordering tramadol illigal online , http://www.veoh.com/forum/showthread.php/2109-Cheap-tramadol-(November-2010) cheap tramadol overnight delivery , http://www.cheap-tramadol.350.com fedex cheap tramadol , http://www.veoh.com/forum/showthread.php/2104-Tramadol-cod-(November-2010) tramadol buy pay cod , http://www.veoh.com/forum/showthread.php/2101-Buy-tramadol-(November-2010) buy cheap tramadol online , http://www.profilactic.com/profile/Tramadol_prescription tramadol no prescription overnight delivery , http://www.veoh.com/forum/showthread.php/2108-Tramadol-dosage-(November-2010) dosage best tramadol , http://tramadol-hcl.xja.pl high off tramadol hcl , http://tramadol-online.xja.pl tramadol online feelings , -- tramadol 180 ct cheap 89.00?
- 4 , http://tramadol-dosage.xja.pl highest recommended dosage for tramadol , http://www.veoh.com/forum/showthread.php/2099-Cheap-tramadol-(November-2010) cheapest online tramadol , http://orders-tramadol.xja.pl buy money tramadol order , http://tramadol-generic.xja.pl for generic tramadol , http://www.veoh.com/forum/showthread.php/2117-Tramadol-generic-(November-2010) list of drug companies generic tramadol , http://www.veoh.com/forum/showthread.php/2111-Buy-tramadol-(November-2010) buy tramadol without prescription a , http://www.tramadol-online.350.com buy tramadol online shipping free , http://www.veoh.com/forum/showthread.php/2115-Tramadol-side-effects-(November-2010) side effects tramadol cat feline , http://www.veoh.com/forum/showthread.php/2103-Tramadol-prescription-(November-2010) tramadol without prescription and shipping free , http://www.veoh.com/forum/showthread.php/2114-Tramadol-cod-(November-2010) cod tramadol only , -- risk of buying online tramadol?
- 3 , http://tramadol-prescription.xja.pl tramadol prescription times expiration , http://www.veoh.com/forum/showthread.php/2102-Tramadol-hcl-(November-2010) tramadol hcl acetaminophen car , http://www.buy-tramadol.350.com buy tramadol $75 50mg , http://www.veoh.com/forum/showthread.php/2106-Order-tramadol-(November-2010) tramadol cod orders , http://www.veoh.com/forum/showthread.php/2116-Order-tramadol-(November-2010) health solutions tramadol network order , http://www.veoh.com/forum/showthread.php/2112-Tramadol-hcl-(November-2010) tramadol hcl 50 uses mg , http://www.tramadol-hcl.350.com what is tramadol hcl , http://www.veoh.com/forum/showthread.php/2110-Tramadol-online-(November-2010) tramadol online backward , http://tramadol-cod.xja.pl cod meds tramadol online ultram , http://www.veoh.com/forum/showthread.php/2113-Tramadol-prescription-(November-2010) tramadol cheap prescription , -- what is tramadol er100mg hcl?
- 4 , http://www.veoh.com/forum/showthread.php/2105-Tramadol-side-effects-(November-2010) tramadol urine side effects , http://cheap-tramadol.xja.pl cheap tramadol with shipping free , http://www.profilactic.com/profile/Buy_tramadol buy tramadol cash on delivery , http://www.tramadol-prescription.350.com tramadol without prescription delivery overnight , http://www.profilactic.com/profile/Cheap_Tramadol cheap online discount tramadol , http://tramadol-side-effects.xja.pl side effects tramadol from , http://www.profilactic.com/profile/Tramadol_hcl what does tramadol hcl like look , http://www.veoh.com/forum/showthread.php/2107-Tramadol-generic-(November-2010) jolliette generic tramadol , http://www.profilactic.com/profile/Tramadol_online tramadol online fedex shipping $117.00 , http://buy-tramadol.xja.pl ataxia buy es tramadol , -- buy tramadol capsules?
- 4 , http://www.veoh.com/forum/showthread.php/2118-Tramadol-dosage-(November-2010) tramadol dosage in and ducks geese , http://www.veoh.com/forum/showthread.php/2100-Tramadol-online-(November-2010) sorry tramadol online , http://www.veoh.com/forum/showthread.php/2109-Cheap-tramadol-(November-2010) cheap tramadol $65 free with shipping , http://www.cheap-tramadol.350.com buy tramadol cheap medication 35009 , http://www.veoh.com/forum/showthread.php/2104-Tramadol-cod-(November-2010) mixing oxycodone tramadol with , http://www.veoh.com/forum/showthread.php/2101-Buy-tramadol-(November-2010) buy prescription without tramadol , http://www.profilactic.com/profile/Tramadol_prescription order tramadol prescription without , http://www.veoh.com/forum/showthread.php/2108-Tramadol-dosage-(November-2010) tramadol hcl dosage , http://tramadol-hcl.xja.pl tramadol hcl-acetaminophen effects side , http://tramadol-online.xja.pl tramadol twinkling online , -- buy online tramadol cod?
- 4 , http://tramadol-dosage.xja.pl tramadol canine information dosage , http://www.veoh.com/forum/showthread.php/2099-Cheap-tramadol-(November-2010) cheapest tramadol available 80 online off , http://orders-tramadol.xja.pl ordering tramadol on collect delivery , http://tramadol-generic.xja.pl order cheap generic online tramadol , http://www.veoh.com/forum/showthread.php/2117-Tramadol-generic-(November-2010) what is generic tramadol ultram , http://www.veoh.com/forum/showthread.php/2111-Buy-tramadol-(November-2010) tramadol buy 180 , http://www.tramadol-online.350.com tramadol without online rx , http://www.veoh.com/forum/showthread.php/2115-Tramadol-side-effects-(November-2010) side effects of stopping suddenly tramadol , http://www.veoh.com/forum/showthread.php/2103-Tramadol-prescription-(November-2010) cheapest without tramadol prescription , http://www.veoh.com/forum/showthread.php/2114-Tramadol-cod-(November-2010) cod order tramadol , -- usual dosage tramadol?
- 4 , http://tramadol-prescription.xja.pl tramadol no fed prescription ex , http://www.veoh.com/forum/showthread.php/2102-Tramadol-hcl-(November-2010) tramadol 100 mg hcl , http://www.buy-tramadol.350.com tramadol buy florida , http://www.veoh.com/forum/showthread.php/2106-Order-tramadol-(November-2010) tramadol by caraco order back , http://www.veoh.com/forum/showthread.php/2116-Order-tramadol-(November-2010) order tramadol online cod , http://www.veoh.com/forum/showthread.php/2112-Tramadol-hcl-(November-2010) tramadol for hcl dogs , http://www.tramadol-hcl.350.com tramadol dog hcl , http://www.veoh.com/forum/showthread.php/2110-Tramadol-online-(November-2010) discount online tramadol , http://tramadol-cod.xja.pl tramadol vs oxycodone , http://www.veoh.com/forum/showthread.php/2113-Tramadol-prescription-(November-2010) tramadol dog no prescription , -- tramadol cod cash on delivery?
- 4 , http://www.veoh.com/forum/showthread.php/2105-Tramadol-side-effects-(November-2010) long term side effects tramadol of , http://cheap-tramadol.xja.pl cheap tramadol prescription , http://www.profilactic.com/profile/Buy_tramadol prescription tramadol buy cheap , http://www.tramadol-prescription.350.com tramadol prescription no fed-ex , http://www.profilactic.com/profile/Cheap_Tramadol cheapest tramadol overseas , http://tramadol-side-effects.xja.pl side effects of suddenly tramadol stopping , http://www.profilactic.com/profile/Tramadol_hcl acetaminophen tramadol hcl , http://www.veoh.com/forum/showthread.php/2107-Tramadol-generic-(November-2010) generic tablet tramadol , http://www.profilactic.com/profile/Tramadol_online tramadol backward online , http://buy-tramadol.xja.pl buy without tramadol , -- tramadol cheap fast prescription no?
- 4 , http://www.veoh.com/forum/showthread.php/2118-Tramadol-dosage-(November-2010) tramadol dosage canine , http://www.veoh.com/forum/showthread.php/2100-Tramadol-online-(November-2010) is ordering tramadol illigial online , http://www.veoh.com/forum/showthread.php/2109-Cheap-tramadol-(November-2010) cheapest without tramadol prescription , http://www.cheap-tramadol.350.com cheap tramadol overseas pharmacy , http://www.veoh.com/forum/showthread.php/2104-Tramadol-cod-(November-2010) ativan hydrocodone tramadol , http://www.veoh.com/forum/showthread.php/2101-Buy-tramadol-(November-2010) buy tramadol 180 , http://www.profilactic.com/profile/Tramadol_prescription usa no tramadol prescription , http://www.veoh.com/forum/showthread.php/2108-Tramadol-dosage-(November-2010) tramadol dosage dogs , http://tramadol-hcl.xja.pl tramadol acetaminophen hcl , http://tramadol-online.xja.pl online doctor prescription tramadol , -- tramadol cod florida?
- 4 , http://tramadol-dosage.xja.pl tramadol dog mg dosage , http://www.veoh.com/forum/showthread.php/2099-Cheap-tramadol-(November-2010) cheap 627 tramadol , http://orders-tramadol.xja.pl is ordering tramadol online illigeal , http://tramadol-generic.xja.pl tramadol hcl 50mg for generic , http://www.veoh.com/forum/showthread.php/2117-Tramadol-generic-(November-2010) what is generic for tramadol , http://www.veoh.com/forum/showthread.php/2111-Buy-tramadol-(November-2010) tramadol cheapest us price online buy , http://www.tramadol-online.350.com tramadol online , http://www.veoh.com/forum/showthread.php/2115-Tramadol-side-effects-(November-2010) tramadol side effects and maximum dose , http://www.veoh.com/forum/showthread.php/2103-Tramadol-prescription-(November-2010) tramadol without free prescription shipping , http://www.veoh.com/forum/showthread.php/2114-Tramadol-cod-(November-2010) tramadol ultram cod , -- overseas tramadol generic?
- 4 , http://www.formspring.me/m0avatar Watch Avatar The Film Full Version , http://www.formspring.me/m0despicableme Download Despicable Me Avi , http://www.formspring.me/m0shrekforevera Download Shrek Forever After Movie Legally , http://www.formspring.me/m0clashofthetit Clash of the Titans Trailers , http://www.formspring.me/m0upintheair Where To Buy Up in the Air Movie , http://www.formspring.me/m0devil Devil Movie Summary , http://www.formspring.me/m0vampiressuck Where To Download Vampires Suck Movie , http://www.formspring.me/m0piranha Download Piranha Movie 2010 , http://www.formspring.me/m0sorcerersappr Lost The Sorcerer's Apprentice Downloads , http://www.formspring.me/m0ispitonyourgr I Spit on Your Grave Watch Price , -- Avatar Video Download?
- 3 , http://www.formspring.me/m0red Red Full Lenght Film In Pda Format , http://www.formspring.me/m0thebookofeli The Book of Eli Film Download Blogspot , http://www.formspring.me/m0stepup3d Step Up 3D Movie Direct Download , http://www.formspring.me/m0thetown Download The Town Movie 2010 , http://www.formspring.me/m0thelosers Pre Buy The Losers Movie , http://www.formspring.me/m0frozen Quotes From The Movie Frozen Online , http://www.formspring.me/m0repomen Repo Men Film Synopsis , http://www.formspring.me/m0thesocialnetw Download The Entire The Social Network Film , http://www.formspring.me/m0sexandthecity Watch Complete Sex and the City 2 Film , http://www.formspring.me/m0leapyear Download Leap Year Film In Hd , -- Sex and the City 2 Film Location?
- 2 , http://www.formspring.me/m0theswitch Download Film The Switch , http://www.formspring.me/m0dinnerforschm Dinner for Schmucks Film Awards , http://www.formspring.me/m0jonahhex Watch The Whole Movie Of Jonah Hex , http://www.formspring.me/m0greenzone Green Zone Film Video , http://www.formspring.me/m0killers Watch Killers Film High Quality , http://www.formspring.me/m0splice Full Movie Of Splice , http://www.formspring.me/m02012 High Quality 2012 Movie , http://www.formspring.me/m0legendguardia Legend of the Guardians: The Owls of Ga'Hoole Film Premier , http://www.formspring.me/m0aliceinwonder Watch Full Film Of Alice in Wonderland , http://www.formspring.me/m0oceanseleven Buy Movie Ocean's Eleven Pda , -- Where Can I Buy Killers Movie?
- 4 , http://www.formspring.me/m0avatar Avatar Film Picture , http://www.formspring.me/m0despicableme Buy Despicable Me Movie , http://www.formspring.me/m0shrekforevera Shrek Forever After Movie Yahoo , http://www.formspring.me/m0clashofthetit Clash of the Titans Film For Cheap , http://www.formspring.me/m0upintheair Up in the Air Movie To Download Full , http://www.formspring.me/m0devil Devil Online , http://www.formspring.me/m0vampiressuck Vampires Suck Preview , http://www.formspring.me/m0piranha Piranha Film Still , http://www.formspring.me/m0sorcerersappr The Sorcerer's Apprentice Video , http://www.formspring.me/m0ispitonyourgr I Spit on Your Grave The Film Watch It , -- Buy Despicable Me Movie?
- 3 , http://www.formspring.me/m0red Quotes From The Movie Red Online , http://www.formspring.me/m0thebookofeli The Book of Eli Movie Music , http://www.formspring.me/m0stepup3d Step Up 3D The Film High Quality , http://www.formspring.me/m0thetown Quality The Town Ipod , http://www.formspring.me/m0thelosers The Losers Film In English To Download , http://www.formspring.me/m0frozen Download Divx Frozen Full Lenght , http://www.formspring.me/m0repomen Repo Men Film Imbd , http://www.formspring.me/m0thesocialnetw The Social Network Film Premier , http://www.formspring.me/m0sexandthecity Watch Sex and the City 2 Movie Stream , http://www.formspring.me/m0leapyear Full Leap Year Movie Good Quality , -- Step Up 3D Dvds?
- 4 , http://www.formspring.me/m0theswitch Where To Watch The Full Movie Of The Switch , http://www.formspring.me/m0dinnerforschm Dinner for Schmucks Film Images , http://www.formspring.me/m0jonahhex Hd Quality Jonah Hex Watch , http://www.formspring.me/m0greenzone Green Zone Movie Download Full Movie , http://www.formspring.me/m0killers Download Killers 1 , http://www.formspring.me/m0splice Download For Splice The Movie , http://www.formspring.me/m02012 2012 Movie News , http://www.formspring.me/m0legendguardia Where Can I Download Legend of the Guardians: The Owls of Ga'Hoole Trailer , http://www.formspring.me/m0aliceinwonder Alice in Wonderland Movie Desktop , http://www.formspring.me/m0oceanseleven Ocean's Eleven Film Images , -- Download Alice in Wonderland Film In Ipod Formats?
- 4 , http://www.formspring.me/m0avatar Avatar Online Soundtrack Download , http://www.formspring.me/m0despicableme Where To Download The Despicable Me Movie , http://www.formspring.me/m0shrekforevera Watch New Shrek Forever After Film , http://www.formspring.me/m0clashofthetit How To Watch Clash of the Titans The Film , http://www.formspring.me/m0upintheair When Can I Buy Up in the Air Film , http://www.formspring.me/m0devil The Devil Download Full Movie , http://www.formspring.me/m0vampiressuck Vampires Suck Film Premiere , http://www.formspring.me/m0piranha Piranha Film Website , http://www.formspring.me/m0sorcerersappr Where To Download The The Sorcerer's Apprentice Movie , http://www.formspring.me/m0ispitonyourgr Download The Whole Movie Of I Spit on Your Grave , -- Devil Movie Download Part?
- 4 , http://www.formspring.me/m0red Watch Red Full Film High Quality , http://www.formspring.me/m0thebookofeli The Book of Eli Movie With Good Quality , http://www.formspring.me/m0stepup3d The Full Film Of Step Up 3D , http://www.formspring.me/m0thetown The Town Film Downloads , http://www.formspring.me/m0thelosers The Losers Movie Desktop , http://www.formspring.me/m0frozen Illegal Frozen Film Download , http://www.formspring.me/m0repomen Repo Men Movie Full Movie , http://www.formspring.me/m0thesocialnetw Apple Movie Trailer The Social Network , http://www.formspring.me/m0sexandthecity Watch Full Film Of Sex and the City 2 , http://www.formspring.me/m0leapyear Buy The Leap Year Film , -- The Losers Film Photo?
- 2 , http://www.formspring.me/m0theswitch Watch The Switch Movie In High Quality , http://www.formspring.me/m0dinnerforschm Website To Watch Dinner for Schmucks Movie , http://www.formspring.me/m0jonahhex Jonah Hex Hood Film For Sale , http://www.formspring.me/m0greenzone Green Zone Teaser Download , http://www.formspring.me/m0killers Dvd Killers Online , http://www.formspring.me/m0splice Were Can I Download Splice The Movie , http://www.formspring.me/m02012 2012 Drawing Scene Download , http://www.formspring.me/m0legendguardia Full Legend of the Guardians: The Owls of Ga'Hoole Film Hd , http://www.formspring.me/m0aliceinwonder Alice in Wonderland The Full Film In Hd , http://www.formspring.me/m0oceanseleven Ocean's Eleven Download Ipod , -- How To Download Splice The Full Movie?
- 4 , http://www.formspring.me/m0avatar Free Downloads Avatar Online , http://www.formspring.me/m0despicableme Watch Despicable Me Film High Quality , http://www.formspring.me/m0shrekforevera Movie Dvd Shrek Forever After , http://www.formspring.me/m0clashofthetit Watch Clash of the Titans Movie Hq , http://www.formspring.me/m0upintheair Up in the Air Film Characters , http://www.formspring.me/m0devil Devil Full Lenght Movie In Hd Format , http://www.formspring.me/m0vampiressuck Vampires Suck Full Lenght Film In Hd - Hq - Dvd - Divx - Ipod - Pda Formats , http://www.formspring.me/m0piranha Piranha Movie Blog , http://www.formspring.me/m0sorcerersappr The Sorcerer's Apprentice Film Sales , http://www.formspring.me/m0ispitonyourgr I Spit on Your Grave Film Download Sites , -- Download Devil Film Legally?
- 3 , http://www.formspring.me/m0red Download Red Film In Divx Formats , http://www.formspring.me/m0thebookofeli The Book of Eli Movie On Youtube , http://www.formspring.me/m0stepup3d Step Up 3D Movie Theatres , http://www.formspring.me/m0thetown Download Film The Town Dvdrip , http://www.formspring.me/m0thelosers The Losers Full Lenght Film In Pda Format , http://www.formspring.me/m0frozen Frozen Film Wiki , http://www.formspring.me/m0repomen Repo Men Movie , http://www.formspring.me/m0thesocialnetw Watch The Social Network Megavideo , http://www.formspring.me/m0sexandthecity Sex and the City 2 Movie Downloads , http://www.formspring.me/m0leapyear Download Film Leap Year Dvdrip , -- Red Movie Synopsis?
- 4 , http://www.formspring.me/m0theswitch The Switch Film To Watch Now , http://www.formspring.me/m0dinnerforschm How To Watch Dinner for Schmucks Movie , http://www.formspring.me/m0jonahhex Want To Watch Jonah Hex Movie , http://www.formspring.me/m0greenzone Watch Green Zone Film Hd , http://www.formspring.me/m0killers Watch Killers Movie High Quality , http://www.formspring.me/m0splice Splice Psp , http://www.formspring.me/m02012 2012 Movie Download Link , http://www.formspring.me/m0legendguardia Illegal Legend of the Guardians: The Owls of Ga'Hoole Movie Download , http://www.formspring.me/m0aliceinwonder Alice in Wonderland Full Movie Divx , http://www.formspring.me/m0oceanseleven Roger Spottiswoode Ocean's Eleven , -- Download Green Zone 1?
- 2 , http://www.formspring.me/m0avatar Watch Avatar Film Stream , http://www.formspring.me/m0despicableme Despicable Me Movie In Hd , http://www.formspring.me/m0shrekforevera Shrek Forever After Film Poster , http://www.formspring.me/m0clashofthetit Clash of the Titans Film Awards , http://www.formspring.me/m0upintheair Up in the Air The Movie To Download , http://www.formspring.me/m0devil Where To Download Devil , http://www.formspring.me/m0vampiressuck Watch Full Version Of Vampires Suck Film , http://www.formspring.me/m0piranha How To Download Piranha Movie , http://www.formspring.me/m0sorcerersappr Whole The Sorcerer's Apprentice Film , http://www.formspring.me/m0ispitonyourgr I Spit on Your Grave Movie For Cheap , -- Remake Up in the Air Film?
- 4 , http://www.formspring.me/m0red Download The Red Trailer , http://www.formspring.me/m0thebookofeli How To Watch The Book of Eli Film , http://www.formspring.me/m0stepup3d Free Step Up 3D Online , http://www.formspring.me/m0thetown The Town Official Trailer , http://www.formspring.me/m0thelosers How To Watch The Full The Losers Film , http://www.formspring.me/m0frozen Downloads Frozen Movies , http://www.formspring.me/m0repomen Repo Men Online Divx , http://www.formspring.me/m0thesocialnetw The Social Network Dvdrip , http://www.formspring.me/m0sexandthecity Download Whole Sex and the City 2 Movie , http://www.formspring.me/m0leapyear Leap Year Trailer Mp4 Download , -- The Social Network Cast?
- 2 , http://www.formspring.me/m0theswitch Watch The Whole The Switch Movie , http://www.formspring.me/m0dinnerforschm Dinner for Schmucks Online Film , http://www.formspring.me/m0jonahhex Jonah Hex Film Location , http://www.formspring.me/m0greenzone Green Zone Video Download , http://www.formspring.me/m0killers Whole Film Of Killers , http://www.formspring.me/m0splice Splice Film Download Zshare , http://www.formspring.me/m02012 2012 Film Video , http://www.formspring.me/m0legendguardia Download Legal Divx Legend of the Guardians: The Owls of Ga'Hoole Movie , http://www.formspring.me/m0aliceinwonder Download Movie Alice in Wonderland Divx , http://www.formspring.me/m0oceanseleven Ocean's Eleven The Movie Watch It , -- Splice Drawing Scene Download?
- 2 , http://www.formspring.me/m0avatar Watch Avatar Full Film High Quality , http://www.formspring.me/m0despicableme Where Can I Download The Despicable Me Trailer , http://www.formspring.me/m0shrekforevera Watch Shrek Forever After Film 2010 , http://www.formspring.me/m0clashofthetit Watch Full Clash of the Titans Movie Now , http://www.formspring.me/m0upintheair Downloadable Films Up in the Air Online , http://www.formspring.me/m0devil Devil Download Full Film , http://www.formspring.me/m0vampiressuck Where To Download The Vampires Suck Movie , http://www.formspring.me/m0piranha Download For Piranha The Movie , http://www.formspring.me/m0sorcerersappr The Sorcerer's Apprentice Release , http://www.formspring.me/m0ispitonyourgr I Spit on Your Grave Movie Wikipedia , -- Download Shrek Forever After For Free?
- 4 , http://www.formspring.me/m0red Download The Entire Red Film , http://www.formspring.me/m0thebookofeli Free The Book of Eli Online , http://www.formspring.me/m0stepup3d How To Download Step Up 3D The Movie , http://www.formspring.me/m0thetown Watch The Entire The Town Movie , http://www.formspring.me/m0thelosers Download Film The Losers Dvdrip , http://www.formspring.me/m0frozen Frozen Download Full Film , http://www.formspring.me/m0repomen Watch Full Length Repo Men Online , http://www.formspring.me/m0thesocialnetw The Social Network Buy , http://www.formspring.me/m0sexandthecity Download Sex and the City 2 Online , http://www.formspring.me/m0leapyear Leap Year Theater Film , -- Leap Year The Movie To Buy?
- 3 , http://www.formspring.me/m0theswitch The Switch Film Posters , http://www.formspring.me/m0dinnerforschm Watch Whole Movie Of Dinner for Schmucks , http://www.formspring.me/m0jonahhex Jonah Hex Hdtv , http://www.formspring.me/m0greenzone Real Green Zone Film Download , http://www.formspring.me/m0killers Killers Movie Information , http://www.formspring.me/m0splice Match Splice Hd Download , http://www.formspring.me/m02012 Watch The Full Movie Of 2012 Online , http://www.formspring.me/m0legendguardia Watch Legend of the Guardians: The Owls of Ga'Hoole Film In Full , http://www.formspring.me/m0aliceinwonder Watch Alice in Wonderland Film High Quality , http://www.formspring.me/m0oceanseleven Ocean's Eleven Film In English To Download , -- Alice in Wonderland Film 2010?
- 3 , http://scouts1.org/tramadol4t2/weblog veterinary hcl tramadol , http://www.vbs.tv/profiles/order_tramadol buy tramadol cheap omw , http://www.vbs.tv/profiles/tramadol_hcl_october_2010 tramadol for hcl dogs , http://www.earthday.org/users/52432 cheap tramadol buy online , http://www.vbs.tv/profiles/tramadol_prescription_october_2010 tramadol no 90ct prescription , http://scouts1.org/tramadol5t2/weblog tramadol prescription , http://independent.academia.edu/cheaptramadol buy cheap omw tramadol , http://forums.bleachexile.com/member.php?u=101978 cheap non tramadol presciption , -- buy cheap tramadol online 35?
- 2 , http://scouts1.org/tramadol3t2/weblog how to tramadol buy , http://scouts1.org/tramadol1t2/weblog online pharmacies tramadol , http://www.earthday.org/users/52438 is tramadol like hcl morphine , http://independent.academia.edu/tramadolprescription no prescription next day tramadol delivery , http://scouts1.org/tramadol7t2/weblog side effects of hydrochloride tramadol , http://forums.bleachexile.com/member.php?u=101982 tramadol online backward , http://forums.bleachexile.com/member.php?u=101986 tramadol hcl acetaminophe , http://www.earthday.org/users/52436 buy tramadol online no records medical , http://scouts1.org/tramadol8t2/weblog order without tramadol prescription , http://www.vbs.tv/profiles/buy_tramadol_october_2010 buy tramadol 30 credit day , -- buy florida tramadol?
- 2 , http://independent.academia.edu/tramadolhcl medication tramadol hcl , http://www.vbs.tv/profiles/tramadol_online_october_2010 canadian pharmacy tramadol online , http://forums.bleachexile.com/member.php?u=101984 buy tramadol cash on delivery , http://scouts1.org/tramadol10t2/weblog tramadol dogs dosage information , http://scouts1.org/tramadol6t2/weblog is like tramadol oxycodone , http://forums.bleachexile.com/member.php?u=101987 tramadol hcl prescription , http://www.earthday.org/users/52434 canadian pharmacy tramadol online , http://www.earthday.org/users/52440 free tramadol prescription no , http://scouts1.org/tramadol0t2/weblog tramadol cod cheap , http://scouts1.org/tramadol9t2/weblog generic tramadol for , -- online pharmacies tramadol?
- 4 , http://scouts1.org/tramadol4t2/weblog 50 hcl tramadol mg , http://www.vbs.tv/profiles/order_tramadol buy online tramadol cheap , http://www.vbs.tv/profiles/tramadol_hcl_october_2010 what tramadol is hcl , http://www.earthday.org/users/52432 very cheap cod tramadol , http://www.vbs.tv/profiles/tramadol_prescription_october_2010 tramadol prescription no fed-ex , http://scouts1.org/tramadol5t2/weblog tramadol online overnight prescription no , http://independent.academia.edu/cheaptramadol cheap rss tramadol feed , http://forums.bleachexile.com/member.php?u=101978 prescriptions cheap tramadol online , -- tramadol and hcl percocet?
- 2 , http://scouts1.org/tramadol3t2/weblog buy tramadol pay cash delivery on , http://scouts1.org/tramadol1t2/weblog tramadol online seventy , http://www.earthday.org/users/52438 tramadol 37.5mg hcl , http://independent.academia.edu/tramadolprescription cheap tramadol without a prescription fedex , http://scouts1.org/tramadol7t2/weblog side effects tramadol dogs , http://forums.bleachexile.com/member.php?u=101982 buy tramadol online without script a , http://forums.bleachexile.com/member.php?u=101986 tramadol hcl , http://www.earthday.org/users/52436 buy desmethyl tramadol , http://scouts1.org/tramadol8t2/weblog order discount tramadol , http://www.vbs.tv/profiles/buy_tramadol_october_2010 buy pay tramadol cod , -- hcl tramadol vet?
- 2 , http://independent.academia.edu/tramadolhcl tramadol prescription hcl , http://www.vbs.tv/profiles/tramadol_online_october_2010 tramadol overnight online , http://forums.bleachexile.com/member.php?u=101984 from tramadol buy dreampharm , http://scouts1.org/tramadol10t2/weblog tramadol dosage dogs for , http://scouts1.org/tramadol6t2/weblog tramadol delivery cod available , http://forums.bleachexile.com/member.php?u=101987 tramadol on line no prescription , http://www.earthday.org/users/52434 tramadol online fedex shipping $117.00 , http://www.earthday.org/users/52440 cheap prescriptions tramadol online , http://scouts1.org/tramadol0t2/weblog fedex cheap tramadol , http://scouts1.org/tramadol9t2/weblog list of drug companies generic tramadol , -- tramadol discount online?
- 2 , http://scouts1.org/tramadol4t2/weblog snorting tramadol hcl , http://www.vbs.tv/profiles/order_tramadol tramadol cheap no overnight rx , http://www.vbs.tv/profiles/tramadol_hcl_october_2010 k-9 hcl tramadol , http://www.earthday.org/users/52432 cheap tramadol cod fedex free , http://www.vbs.tv/profiles/tramadol_prescription_october_2010 buy tramadol online a without prescription , http://scouts1.org/tramadol5t2/weblog purchase tramadol without online prescription , http://independent.academia.edu/cheaptramadol cheap site tramadol , http://forums.bleachexile.com/member.php?u=101978 buy cheap tramadol online 35 , -- cheapest tramadol without prescription?
- 3 , http://scouts1.org/tramadol3t2/weblog buy tramadol cash on delivery , http://scouts1.org/tramadol1t2/weblog cheapest tramadol available 80 online off , http://www.earthday.org/users/52438 tramadol hcl 50mg addictiion , http://independent.academia.edu/tramadolprescription prescription no tramadol , http://scouts1.org/tramadol7t2/weblog side effects tramadol palpitations , http://forums.bleachexile.com/member.php?u=101982 online tramadol om , http://forums.bleachexile.com/member.php?u=101986 acetaminophen tramadol hcl , http://www.earthday.org/users/52436 buy tramadol online no records medical , http://scouts1.org/tramadol8t2/weblog is ordering tramadol online illigeal , http://www.vbs.tv/profiles/buy_tramadol_october_2010 buy tramadol online no records medical , -- no prescription tramadol online pharmacy?
- 3 , http://independent.academia.edu/tramadolhcl g e hcl tramadol , http://www.vbs.tv/profiles/tramadol_online_october_2010 tramadol online no fee consultation , http://forums.bleachexile.com/member.php?u=101984 tramadol buy cod , http://scouts1.org/tramadol10t2/weblog tramadol dosage dogs , http://scouts1.org/tramadol6t2/weblog ativan tramadol hydrocodone zoloft alcohol , http://forums.bleachexile.com/member.php?u=101987 prescription tramadol free , http://www.earthday.org/users/52434 sends tramadol online , http://www.earthday.org/users/52440 tramadol without prescription and shipping free , http://scouts1.org/tramadol0t2/weblog cheap tramadol overnight , http://scouts1.org/tramadol9t2/weblog generic tramadol for , -- cheap tramadol prescription?
- 2 , http://scouts1.org/tramadol4t2/weblog making tramadol snortable hcl , http://www.vbs.tv/profiles/order_tramadol cheap tramadol priced , http://www.vbs.tv/profiles/tramadol_hcl_october_2010 tramadol 50 hcl indications , http://www.earthday.org/users/52432 pharmacy tech career cheap tramadol , http://www.vbs.tv/profiles/tramadol_prescription_october_2010 no prescription next tramadol day , http://scouts1.org/tramadol5t2/weblog tramadol pets prescription no , http://independent.academia.edu/cheaptramadol cheap next tramadol day , http://forums.bleachexile.com/member.php?u=101978 buy tramadol cheaply , -- tramadol online cheap?
- 2 , http://scouts1.org/tramadol3t2/weblog from buy tramadol dreampharm , http://scouts1.org/tramadol1t2/weblog purchase tramadol online without perscription , http://www.earthday.org/users/52438 tramadol hcl 50 tab mg usage , http://independent.academia.edu/tramadolprescription buy tramadol without prescription a , http://scouts1.org/tramadol7t2/weblog side effects from tramadol tab 50mg , http://forums.bleachexile.com/member.php?u=101982 buy online tramadol cod , http://forums.bleachexile.com/member.php?u=101986 tramadol hcl for dogs diabetic , http://www.earthday.org/users/52436 buy tramadol 180 tabs shipping free , http://scouts1.org/tramadol8t2/weblog tramadol and metabolic disorder , http://www.vbs.tv/profiles/buy_tramadol_october_2010 cod buying tramadol , -- buy dog tramadol?
- 4 , http://independent.academia.edu/tramadolhcl tramadol dog hcl , http://www.vbs.tv/profiles/tramadol_online_october_2010 cheap tramadol prescriptions online , http://forums.bleachexile.com/member.php?u=101984 buying tramadol with paypal , http://scouts1.org/tramadol10t2/weblog tramadol dosage for toothache , http://scouts1.org/tramadol6t2/weblog hydrocodone tramadol side combonation effects , http://forums.bleachexile.com/member.php?u=101987 tramadol with no prescription , http://www.earthday.org/users/52434 tramadol online consultation to ship fl , http://www.earthday.org/users/52440 cheapest tramadol online no needed prescription , http://scouts1.org/tramadol0t2/weblog cheap no tramadol prescription , http://scouts1.org/tramadol9t2/weblog generic drug identification identifier pill tramadol , -- generic companies tramadol sale?
- 4 , http://scouts1.org/tramadol4t2/weblog tramadol hcl dogs for , http://www.vbs.tv/profiles/order_tramadol cheap tramadol overnight , http://www.vbs.tv/profiles/tramadol_hcl_october_2010 tramadol hcl dog , http://www.earthday.org/users/52432 tramadol cheap overnight , http://www.vbs.tv/profiles/tramadol_prescription_october_2010 no prescription drugstore tramadol , http://scouts1.org/tramadol5t2/weblog online doctor prescription tramadol , http://independent.academia.edu/cheaptramadol fedex cheap tramadol , http://forums.bleachexile.com/member.php?u=101978 tramadol cheap site , -- cheap tramadol rss feed?
- 2 , http://scouts1.org/tramadol3t2/weblog tramadol buying online , http://scouts1.org/tramadol1t2/weblog order tramadol online cod , http://www.earthday.org/users/52438 what is tramadol hcl er100mg , http://independent.academia.edu/tramadolprescription tramadol cheap prescription no , http://scouts1.org/tramadol7t2/weblog tramadol hcl for dogs side effects , http://forums.bleachexile.com/member.php?u=101982 buy tramadol best price online , http://forums.bleachexile.com/member.php?u=101986 tramadol hcl 50 mg tab , http://www.earthday.org/users/52436 buy tramadol with check a , http://scouts1.org/tramadol8t2/weblog order tramadol now , http://www.vbs.tv/profiles/buy_tramadol_october_2010 tramadol buy online , -- tramadol cod order overnight?
- 3 , http://independent.academia.edu/tramadolhcl tramadol definition hcl , http://www.vbs.tv/profiles/tramadol_online_october_2010 tramadol online rx without , http://forums.bleachexile.com/member.php?u=101984 buy prescription without tramadol , http://scouts1.org/tramadol10t2/weblog tramadol and dosage administration , http://scouts1.org/tramadol6t2/weblog tramadol hydrocodone comparison , http://forums.bleachexile.com/member.php?u=101987 order tramadol a without prescription , http://www.earthday.org/users/52434 roomed tramadol online , http://www.earthday.org/users/52440 purchase tramadol without online prescription , http://scouts1.org/tramadol0t2/weblog buy tramadol at price cheap online , http://scouts1.org/tramadol9t2/weblog generic tramadol ultram , -- no tramadol prescription sales?
- 3 , http://scouts1.org/tramadol4t2/weblog tramadol 50mg hcl addictiion , http://www.vbs.tv/profiles/order_tramadol tramadol cheap site , http://www.vbs.tv/profiles/tramadol_hcl_october_2010 what is tramadol er100mg hcl , http://www.earthday.org/users/52432 cheap discount tramadol online , http://www.vbs.tv/profiles/tramadol_prescription_october_2010 tramadol drug prescription , http://scouts1.org/tramadol5t2/weblog buy tramadol without online prescription , http://independent.academia.edu/cheaptramadol buy cheap o tramadol , http://forums.bleachexile.com/member.php?u=101978 tramadol cheap free overnight no rx , -- tramadol hcl 50 for mg dogs?
- 3 , http://scouts1.org/tramadol3t2/weblog buy site tramadol , http://scouts1.org/tramadol1t2/weblog online tramadol sit , http://www.earthday.org/users/52438 tramadol hcl 50 mg arthritis , http://independent.academia.edu/tramadolprescription no prescription sales tramadol , http://scouts1.org/tramadol7t2/weblog side effects of apap tramadol , http://forums.bleachexile.com/member.php?u=101982 tramadol online rx without , http://forums.bleachexile.com/member.php?u=101986 what is in hcl tramadol 50mg , http://www.earthday.org/users/52436 buy tramadol without , http://scouts1.org/tramadol8t2/weblog is ordering tramadol online illegal , http://www.vbs.tv/profiles/buy_tramadol_october_2010 buy tramadol site add , -- tramadol pay buy cod?
- 2 , http://independent.academia.edu/tramadolhcl tramadol hcl 50mg tab cara , http://www.vbs.tv/profiles/tramadol_online_october_2010 tramadol online day next , http://forums.bleachexile.com/member.php?u=101984 buying tramadol online legal , http://scouts1.org/tramadol10t2/weblog tramadol dog dosage mg , http://scouts1.org/tramadol6t2/weblog tramadol cod order , http://forums.bleachexile.com/member.php?u=101987 is a prescription required tramadol for , http://www.earthday.org/users/52434 buy tramadol without online perscription , http://www.earthday.org/users/52440 order tramadol a without prescription , http://scouts1.org/tramadol0t2/weblog tramadol overnight cheap shipping , http://scouts1.org/tramadol9t2/weblog generic companies sale tramadol , -- tramadol medication online?
- 2 , http://scouts1.org/tramadol4t2/weblog making hcl tramadol snortable , http://www.vbs.tv/profiles/order_tramadol purchase tramadol cheap , http://www.vbs.tv/profiles/tramadol_hcl_october_2010 high off tramadol hcl , http://www.earthday.org/users/52432 cheap tramadol cod fedex free , http://www.vbs.tv/profiles/tramadol_prescription_october_2010 order without tramadol prescription , http://scouts1.org/tramadol5t2/weblog tramadol without free prescription shipping , http://independent.academia.edu/cheaptramadol cheap tramadol delivery free , http://forums.bleachexile.com/member.php?u=101978 cheap purchase tramadol , -- tramadol hcl tablets?
- 2 , http://scouts1.org/tramadol3t2/weblog buy tramadol cheap prescription without , http://scouts1.org/tramadol1t2/weblog cheapest tramadol online no needed prescription , http://www.earthday.org/users/52438 what does tramadol look hcl like , http://independent.academia.edu/tramadolprescription cheap no tramadol prescription , http://scouts1.org/tramadol7t2/weblog dog tramadol side effects , http://forums.bleachexile.com/member.php?u=101982 tramadol online tough , http://forums.bleachexile.com/member.php?u=101986 effects side hcl tramadol , http://www.earthday.org/users/52436 buy cheap tramadol cod , http://scouts1.org/tramadol8t2/weblog order online tramadol , http://www.vbs.tv/profiles/buy_tramadol_october_2010 buy pharmcy from tramadol , -- tramadol buy 300?
- 3 , http://scouts1.org/tramadol4t2/weblog no tramadol prescription hcl , http://www.vbs.tv/profiles/order_tramadol tramadol cheap no rx free shipping , http://www.vbs.tv/profiles/tramadol_hcl_october_2010 snorting tramadol hcl , http://www.earthday.org/users/52432 buy tramadol medication cheap 35009 , http://www.vbs.tv/profiles/tramadol_prescription_october_2010 no prescription dhl delivered tramadol , http://scouts1.org/tramadol5t2/weblog online doctor prescription tramadol , http://independent.academia.edu/cheaptramadol overnight cheap tramadol , http://forums.bleachexile.com/member.php?u=101978 cheap non tramadol presciption , -- cheapest tramadol prescription without?
- 4 , http://scouts1.org/tramadol3t2/weblog buy pharmcy from tramadol , http://scouts1.org/tramadol1t2/weblog buy tramadol online c d o , http://www.earthday.org/users/52438 hcl tramadol acet , http://independent.academia.edu/tramadolprescription no prescription online pharmacy tramadol , http://scouts1.org/tramadol7t2/weblog tramadol 50 mg side effects , http://forums.bleachexile.com/member.php?u=101982 tramadol fiddler online , http://forums.bleachexile.com/member.php?u=101986 tramadol acetaminophen hcl par , http://www.earthday.org/users/52436 buy tramadol cash on delivery , http://scouts1.org/tramadol8t2/weblog order cheap tramadol , http://www.vbs.tv/profiles/buy_tramadol_october_2010 buy tramadol ultram , -- free tramadol no prescription?
- 3 , http://independent.academia.edu/tramadolhcl medicine hcl tramadol , http://www.vbs.tv/profiles/tramadol_online_october_2010 tramadol saturday online delivery , http://forums.bleachexile.com/member.php?u=101984 buying tramadol with paypal , http://scouts1.org/tramadol10t2/weblog tramadol dosages info , http://scouts1.org/tramadol6t2/weblog does tramadol show up as codeine , http://forums.bleachexile.com/member.php?u=101987 tramadol 90ct prescription no , http://www.earthday.org/users/52434 overnight online tramadol , http://www.earthday.org/users/52440 purchase tramadol online prescription without , http://scouts1.org/tramadol0t2/weblog no prescription medications cheap vallium tramadol , http://scouts1.org/tramadol9t2/weblog tramadol generic tablet , -- no prescription next tramadol day?
- 3 , http://scouts1.org/tramadol4t2/weblog tramadol hcl sude effects , http://www.vbs.tv/profiles/order_tramadol cheap order tramadol , http://www.vbs.tv/profiles/tramadol_hcl_october_2010 medication tramadol hcl , http://www.earthday.org/users/52432 cheap tramadol priced , http://www.vbs.tv/profiles/tramadol_prescription_october_2010 tramadol withot a prescription , http://scouts1.org/tramadol5t2/weblog tramadol pets prescription no , http://independent.academia.edu/cheaptramadol cheap tramadol india , http://forums.bleachexile.com/member.php?u=101978 tramadol cheap 180 , -- cheap tramadol sales 120 tabs?
- 2 , http://scouts1.org/tramadol3t2/weblog tramadol buy cod , http://scouts1.org/tramadol1t2/weblog tramadol online prescriptions free viagra , http://www.earthday.org/users/52438 tramadol hcl-acetaminophen effects side , http://independent.academia.edu/tramadolprescription no tramadol prescription , http://scouts1.org/tramadol7t2/weblog side effects of tramadol in pets , http://forums.bleachexile.com/member.php?u=101982 tough tramadol online , http://forums.bleachexile.com/member.php?u=101986 hcl tramadol 200mg , http://www.earthday.org/users/52436 buy tramadol lowest price , http://scouts1.org/tramadol8t2/weblog tramadol order pharmacy , http://www.vbs.tv/profiles/buy_tramadol_october_2010 buy 150 overnight tramadol delivery , -- tramadol for order dogs?
- 2 , http://independent.academia.edu/tramadolhcl what is hcl tramadol er100mg , http://www.vbs.tv/profiles/tramadol_online_october_2010 usa online pharmacies who tramadol sell , http://forums.bleachexile.com/member.php?u=101984 buy tramadol no rx , http://scouts1.org/tramadol10t2/weblog of dosages tramadol , http://scouts1.org/tramadol6t2/weblog tramadol cod cash delivery on , http://forums.bleachexile.com/member.php?u=101987 no prior tramadol prescription , http://www.earthday.org/users/52434 ordering online tramadol , http://www.earthday.org/users/52440 buy prescription tramadol without , http://scouts1.org/tramadol0t2/weblog 60 tramadol cheapest pills , http://scouts1.org/tramadol9t2/weblog what is generic for tramadol , -- side affectsof hcl tramadol?
- 4 , http://scouts1.org/tramadol4t2/weblog tramadol definition hcl , http://www.vbs.tv/profiles/order_tramadol cheap tramadol with shipping free , http://www.vbs.tv/profiles/tramadol_hcl_october_2010 tramadol hcl 50mg myl tablet , http://www.earthday.org/users/52432 cheap online discount tramadol , http://www.vbs.tv/profiles/tramadol_prescription_october_2010 purchase tramadol in wv prescription without , http://scouts1.org/tramadol5t2/weblog tramadol online without prescription cod , http://independent.academia.edu/cheaptramadol tramadol overnight cheap shipping , http://forums.bleachexile.com/member.php?u=101978 cheap tramadol overnight delivery saturday , -- no prescription ups tramadol delivered?
- 3 , http://scouts1.org/tramadol3t2/weblog pharmacy tech resume buy tramadol now , http://scouts1.org/tramadol1t2/weblog tramadol feelings online , http://www.earthday.org/users/52438 medicine hcl tramadol , http://independent.academia.edu/tramadolprescription cheap non tramadol prescription , http://scouts1.org/tramadol7t2/weblog side effects tramadol palpitations , http://forums.bleachexile.com/member.php?u=101982 tramadol online tough , http://forums.bleachexile.com/member.php?u=101986 tramadol hcl 50 drug mg forum , http://www.earthday.org/users/52436 4 buy tramadol , http://scouts1.org/tramadol8t2/weblog canada order tramadol online , http://www.vbs.tv/profiles/buy_tramadol_october_2010 buy cheap tramadol online , -- buy tramadol overnight online delivery?
- 2 , http://independent.academia.edu/tramadolhcl getting high tramadol with hcl , http://www.vbs.tv/profiles/tramadol_online_october_2010 order cheap tramadol generic online , http://forums.bleachexile.com/member.php?u=101984 120 buy tab cheap tramadol , http://scouts1.org/tramadol10t2/weblog tramadol canine hydrochloride dosage , http://scouts1.org/tramadol6t2/weblog tramadol hydrocodone , http://forums.bleachexile.com/member.php?u=101987 buy tramadol without online prescription , http://www.earthday.org/users/52434 buy tramadol online cod , http://www.earthday.org/users/52440 purchase tramadol in wv prescription without , http://scouts1.org/tramadol0t2/weblog tramadol 180 ct cheap , http://scouts1.org/tramadol9t2/weblog what is generic tramadol ultram , -- order cheap generic online tramadol?
- 2 , http://www.veoh.com/forum/showthread.php/2066-Download-Machete-Film-In-Dvd-Quality Machete Movie Streaming , http://www.veoh.com/forum/showthread.php/2059-Download-The-A-Team-Movie-In-Hd-Quality Download The A-Team Movie 2010 , http://www.veoh.com/forum/showthread.php/2080-Download-Killers-Movie-In-Hd-Quality Download Killers Movie In Hd , http://www.veoh.com/forum/showthread.php/2068-Full-Red-Film-Downloads Red Movie With Good Quality , http://www.veoh.com/forum/showthread.php/2058-Download-The-Last-Airbender-Movie-In-Hd-Quality The Last Airbender Film Dvd Quality , http://www.veoh.com/forum/showthread.php/2079-Download-Green-Zone-Film-In-Dvd-Quality Free Download Green Zone Movie , http://www.veoh.com/forum/showthread.php/2095-Download-Movie-Up-in-the-Air-Dvd Download Up in the Air 3d , http://www.veoh.com/forum/showthread.php/2084-Download-Dinner-for-Schmucks-Film-In-Hd-Quality Watch Dinner for Schmucks Film In Hd , http://www.veoh.com/forum/showthread.php/2076-Frozen-Movie-Download-Full-Movie Download Of Frozen The Movie , http://www.veoh.com/forum/showthread.php/2053-Full-The-Expendables-Movie-Downloads Buy The Expendables Moivie High Quality , -- Download The Last Airbender Film Score?
- 3 , http://www.veoh.com/forum/showthread.php/2086-Download-Devil-Film-Dvd Cheapest Devil Film , http://www.veoh.com/forum/showthread.php/2091-Watch-Online-Ocean-s-Eleven-The-Movie-In-High-Quality Watch Ocean's Eleven Movie Stream , http://www.veoh.com/forum/showthread.php/2094-Download-The-Social-Network-Full-Movie The Social Network Full Lenght Film In Pda Format , http://www.veoh.com/forum/showthread.php/2057-Download-How-to-Train-Your-Dragon-Film-In-Hd-Formats Downloading How to Train Your Dragon Movie , http://www.veoh.com/forum/showthread.php/2090-How-To-Download-The-Losers-The-Full-Movie Full The Losers Movie In High Quality , http://www.veoh.com/forum/showthread.php/2078-Download-I-Spit-on-Your-Grave-Film-In-Hd-Quality I Spit on Your Grave Online Soundtrack Download , http://www.veoh.com/forum/showthread.php/2096-Download-Repo-Men-Film-Hq Watch Repo Men Movie Hd , http://www.veoh.com/forum/showthread.php/2054-Full-Robin-Hood-Movie-Downloads Buy Robin Hood The Movie , http://www.veoh.com/forum/showthread.php/2063-Download-Knight-and-Day-Full-Movie Knight and Day Download Full Film , http://www.veoh.com/forum/showthread.php/2089-Download-2012-Movie-In-Divx-Formats 2012 Film Length , -- Robin Hood Movie Facts?
- 2 , http://www.veoh.com/forum/showthread.php/2055-Download-Salt-Movie-In-Divx-Formats Download Salt Divx , http://www.veoh.com/forum/showthread.php/2097-Download-Prince-of-Persia-The-Sands-of-Time-Film-In-Dvd-Quality Prince of Persia: The Sands of Time Film Trailers , http://www.veoh.com/forum/showthread.php/2092-The-Book-of-Eli-Film-Hd-Download The Book of Eli Hood Film For Sale , http://www.veoh.com/forum/showthread.php/2069-Full-Despicable-Me-Movie-Downloads Despicable Me Full Lenght Movie In Hd Format , http://www.veoh.com/forum/showthread.php/2077-Download-Clash-of-the-Titans-Film-Dvd Hd Quality Clash of the Titans Watch , http://www.veoh.com/forum/showthread.php/2088-Download-Sex-and-the-City-2-Film-In-Hd-Formats Order Sex and the City 2 Movie , http://www.veoh.com/forum/showthread.php/2070-Full-The-Sorcerer-s-Apprentice-Film-Downloads The Sorcerer's Apprentice Movie Download Full Movie , http://www.veoh.com/forum/showthread.php/2051-Wall-Street-Money-Never-Sleeps-Download-Full-Film Wall Street: Money Never Sleeps Movie Theater , http://www.veoh.com/forum/showthread.php/2056-The-Resident-Evil-Afterlife-Download-Full-Film Download Film Resident Evil: Afterlife , http://www.veoh.com/forum/showthread.php/2093-Download-Vampires-Suck-Movie-In-Divx-Formats Vampires Suck The Film In Hd , -- The Sorcerer's Apprentice Story?
- 2 , http://www.veoh.com/forum/showthread.php/2074-Download-Jonah-Hex-Movie-In-Hd Watch The Complete Jonah Hex Movie , http://www.veoh.com/forum/showthread.php/2072-Download-Online-Avatar-The-Movie-In-High-Quality Avatar (2010) Watch Online , http://www.veoh.com/forum/showthread.php/2050-Download-Inception-Film-In-Dvd-Quality Inception Movie Quotes , http://www.veoh.com/forum/showthread.php/2060-The-Predators-Download-Full-Movie The Full Film Of Predators , http://www.veoh.com/forum/showthread.php/2049-Download-Online-Toy-Story-3-The-Movie-In-High-Quality Toy Story 3 Movie Quotes , http://www.veoh.com/forum/showthread.php/2061-Download-Film-Grown-Ups-Dvdrip How To Watch Grown Ups The Movie , http://www.veoh.com/forum/showthread.php/2071-Download-Piranha-Movie-Ipod Watch Full Piranha Movie In Hd , http://www.veoh.com/forum/showthread.php/2052-The-Iron-Man-2-Download-Full-Film Watch Iron Man 2 2009 Full Movie , http://www.veoh.com/forum/showthread.php/2062-Download-Eclipse-Film-In-Hd-Formats Length Of Eclipse Film , http://www.veoh.com/forum/showthread.php/2083-Download-Shrek-Forever-After-Film-In-Hd-Quality Shrek Forever After Film Good Quality , -- Piranha Film Money?
- 4 , http://www.veoh.com/forum/showthread.php/2082-Full-Alice-in-Wonderland-Film-Downloads Alice in Wonderland Film Watch Films , http://www.veoh.com/forum/showthread.php/2073-Download-The-Switch-Movie-In-Divx-Formats The Switch Review , http://www.veoh.com/forum/showthread.php/2087-Download-Splice-Film-In-Dvd-Quality The Whole Film Of Splice , http://www.veoh.com/forum/showthread.php/2098-Download-Legend-of-the-Guardians-The-Owls-of-Ga-Hoole-Movie-In-Hd-Quality I Want To Watch The Full Movie Of Legend of the Guardians: The Owls of Ga'Hoole Online , http://www.veoh.com/forum/showthread.php/2081-Download-Movie-Leap-Year-Pda Leap Year 2010 Full Film , http://www.veoh.com/forum/showthread.php/2067-Centurion-Movie-Hd-Download Centurion Website , http://www.veoh.com/forum/showthread.php/2075-Download-Movie-The-Town-Dvd Watch The Town Full Film In Hd , http://www.veoh.com/forum/showthread.php/2065-Download-The-Karate-Kid-Movie-In-Ipod-Quality Download The Karate Kid Full , http://www.veoh.com/forum/showthread.php/2085-Download-Step-Up-3D-Movie-In-Hd Step Up 3D Film Actors , http://www.veoh.com/forum/showthread.php/2064-Get-Him-to-the-Greek-Film-Download-Full-Film Watch Online Free Get Him to the Greek , -- Full Alice in Wonderland Movie To Watch?
- 2 , http://www.veoh.com/forum/showthread.php/2066-Download-Machete-Film-In-Dvd-Quality Buy Machete Film , http://www.veoh.com/forum/showthread.php/2059-Download-The-A-Team-Movie-In-Hd-Quality Watch A Movie The A-Team , http://www.veoh.com/forum/showthread.php/2080-Download-Killers-Movie-In-Hd-Quality Killers Movie In Hd , http://www.veoh.com/forum/showthread.php/2068-Full-Red-Film-Downloads Where To Buy The Red Movie , http://www.veoh.com/forum/showthread.php/2058-Download-The-Last-Airbender-Movie-In-Hd-Quality The Whole The Last Airbender Movie , http://www.veoh.com/forum/showthread.php/2079-Download-Green-Zone-Film-In-Dvd-Quality Download Green Zone Full Lenght , http://www.veoh.com/forum/showthread.php/2095-Download-Movie-Up-in-the-Air-Dvd Movie Net Up in the Air , http://www.veoh.com/forum/showthread.php/2084-Download-Dinner-for-Schmucks-Film-In-Hd-Quality Buy Dinner for Schmucks Movie , http://www.veoh.com/forum/showthread.php/2076-Frozen-Movie-Download-Full-Movie Frozen Full Lenght Film In Divx Format , http://www.veoh.com/forum/showthread.php/2053-Full-The-Expendables-Movie-Downloads The Expendables The Movie To Watch , -- Buy Killers Film On Dvd?
- 3 , http://www.veoh.com/forum/showthread.php/2086-Download-Devil-Film-Dvd Full Devil Film High Quality , http://www.veoh.com/forum/showthread.php/2091-Watch-Online-Ocean-s-Eleven-The-Movie-In-High-Quality Ocean's Eleven Film On The Internet , http://www.veoh.com/forum/showthread.php/2094-Download-The-Social-Network-Full-Movie The Social Network Movie Images , http://www.veoh.com/forum/showthread.php/2057-Download-How-to-Train-Your-Dragon-Film-In-Hd-Formats How to Train Your Dragon Movie Theatre , http://www.veoh.com/forum/showthread.php/2090-How-To-Download-The-Losers-The-Full-Movie Watch New The Losers Online , http://www.veoh.com/forum/showthread.php/2078-Download-I-Spit-on-Your-Grave-Film-In-Hd-Quality Full I Spit on Your Grave Movie Downloads , http://www.veoh.com/forum/showthread.php/2096-Download-Repo-Men-Film-Hq Watch Repo Men Full Film Good Quality , http://www.veoh.com/forum/showthread.php/2054-Full-Robin-Hood-Movie-Downloads Watch A Movie Robin Hood Online , http://www.veoh.com/forum/showthread.php/2063-Download-Knight-and-Day-Full-Movie Download Entire Knight and Day Movie , http://www.veoh.com/forum/showthread.php/2089-Download-2012-Movie-In-Divx-Formats Download 2012 Film In Dvd Quality , -- Knight and Day Movie Theatres?
- 3 , http://www.veoh.com/forum/showthread.php/2055-Download-Salt-Movie-In-Divx-Formats Salt Movie Download , http://www.veoh.com/forum/showthread.php/2097-Download-Prince-of-Persia-The-Sands-of-Time-Film-In-Dvd-Quality Movie Dvd Prince of Persia: The Sands of Time , http://www.veoh.com/forum/showthread.php/2092-The-Book-of-Eli-Film-Hd-Download The Book of Eli And Film , http://www.veoh.com/forum/showthread.php/2069-Full-Despicable-Me-Movie-Downloads Despicable Me Preview , http://www.veoh.com/forum/showthread.php/2077-Download-Clash-of-the-Titans-Film-Dvd Free Download Of Clash of the Titans , http://www.veoh.com/forum/showthread.php/2088-Download-Sex-and-the-City-2-Film-In-Hd-Formats Watch Full Film Of Sex and the City 2 , http://www.veoh.com/forum/showthread.php/2070-Full-The-Sorcerer-s-Apprentice-Film-Downloads New Film The Sorcerer's Apprentice , http://www.veoh.com/forum/showthread.php/2051-Wall-Street-Money-Never-Sleeps-Download-Full-Film Wall Street: Money Never Sleeps Movie Cinema , http://www.veoh.com/forum/showthread.php/2056-The-Resident-Evil-Afterlife-Download-Full-Film Where To Watch The Whole Resident Evil: Afterlife Film , http://www.veoh.com/forum/showthread.php/2093-Download-Vampires-Suck-Movie-In-Divx-Formats Vampires Suck Film Direct Download , -- Salt Movie Images?
- 2 , http://www.veoh.com/forum/showthread.php/2074-Download-Jonah-Hex-Movie-In-Hd Watch The Jonah Hex Online , http://www.veoh.com/forum/showthread.php/2072-Download-Online-Avatar-The-Movie-In-High-Quality Avatar Film Premier , http://www.veoh.com/forum/showthread.php/2050-Download-Inception-Film-In-Dvd-Quality Downloadable Inception Film , http://www.veoh.com/forum/showthread.php/2060-The-Predators-Download-Full-Movie Watch Predators The Film , http://www.veoh.com/forum/showthread.php/2049-Download-Online-Toy-Story-3-The-Movie-In-High-Quality Watch Full Version Of Toy Story 3 Movie , http://www.veoh.com/forum/showthread.php/2061-Download-Film-Grown-Ups-Dvdrip Where Can I Download Grown Ups , http://www.veoh.com/forum/showthread.php/2071-Download-Piranha-Movie-Ipod Piranha The Full Film In Hd , http://www.veoh.com/forum/showthread.php/2052-The-Iron-Man-2-Download-Full-Film Iron Man 2 Online , http://www.veoh.com/forum/showthread.php/2062-Download-Eclipse-Film-In-Hd-Formats Watch Eclipse Film In High Quality , http://www.veoh.com/forum/showthread.php/2083-Download-Shrek-Forever-After-Film-In-Hd-Quality Watch New Shrek Forever After Film , -- Download Predators New Film?
- 4 , http://www.veoh.com/forum/showthread.php/2082-Full-Alice-in-Wonderland-Film-Downloads Free Downloads Alice in Wonderland , http://www.veoh.com/forum/showthread.php/2073-Download-The-Switch-Movie-In-Divx-Formats The Switch Download Full Film , http://www.veoh.com/forum/showthread.php/2087-Download-Splice-Film-In-Dvd-Quality Download Movie Splice Divx , http://www.veoh.com/forum/showthread.php/2098-Download-Legend-of-the-Guardians-The-Owls-of-Ga-Hoole-Movie-In-Hd-Quality Watch Legend of the Guardians: The Owls of Ga'Hoole Film 2010 , http://www.veoh.com/forum/showthread.php/2081-Download-Movie-Leap-Year-Pda Download Leap Year Film Hq , http://www.veoh.com/forum/showthread.php/2067-Centurion-Movie-Hd-Download Watch Centurion Film Hd , http://www.veoh.com/forum/showthread.php/2075-Download-Movie-The-Town-Dvd The Town Film Direct Download , http://www.veoh.com/forum/showthread.php/2065-Download-The-Karate-Kid-Movie-In-Ipod-Quality Watch Full Version Of The Karate Kid Movie , http://www.veoh.com/forum/showthread.php/2085-Download-Step-Up-3D-Movie-In-Hd Free Downloads Step Up 3D Online , http://www.veoh.com/forum/showthread.php/2064-Get-Him-to-the-Greek-Film-Download-Full-Film Download Get Him to the Greek Full Movie Free , -- The Centurion 2009 Download?
- 4 , http://www.veoh.com/forum/showthread.php/2066-Download-Machete-Film-In-Dvd-Quality Machete Buy , http://www.veoh.com/forum/showthread.php/2059-Download-The-A-Team-Movie-In-Hd-Quality Watch The A-Team The Movie In Hd , http://www.veoh.com/forum/showthread.php/2080-Download-Killers-Movie-In-Hd-Quality Downloadable Films Killers Online , http://www.veoh.com/forum/showthread.php/2068-Full-Red-Film-Downloads Download Movie Red Hq , http://www.veoh.com/forum/showthread.php/2058-Download-The-Last-Airbender-Movie-In-Hd-Quality Watch Film Of The Last Airbender , http://www.veoh.com/forum/showthread.php/2079-Download-Green-Zone-Film-In-Dvd-Quality Full Green Zone Film Downloads , http://www.veoh.com/forum/showthread.php/2095-Download-Movie-Up-in-the-Air-Dvd Watch Whole Film Of Up in the Air , http://www.veoh.com/forum/showthread.php/2084-Download-Dinner-for-Schmucks-Film-In-Hd-Quality Watch Dinner for Schmucks Film , http://www.veoh.com/forum/showthread.php/2076-Frozen-Movie-Download-Full-Movie Frozen Watch Price , http://www.veoh.com/forum/showthread.php/2053-Full-The-Expendables-Movie-Downloads The Expendables Full Movie , -- Frozen Movie Download Good Quality?
- 3 , http://www.veoh.com/forum/showthread.php/2086-Download-Devil-Film-Dvd Watch Devil Movie Online , http://www.veoh.com/forum/showthread.php/2091-Watch-Online-Ocean-s-Eleven-The-Movie-In-High-Quality Ocean's Eleven Movie Stream , http://www.veoh.com/forum/showthread.php/2094-Download-The-Social-Network-Full-Movie The Full The Social Network Film Online , http://www.veoh.com/forum/showthread.php/2057-Download-How-to-Train-Your-Dragon-Film-In-Hd-Formats Download The Whole How to Train Your Dragon Movie , http://www.veoh.com/forum/showthread.php/2090-How-To-Download-The-Losers-The-Full-Movie The Losers Film Download Full Film , http://www.veoh.com/forum/showthread.php/2078-Download-I-Spit-on-Your-Grave-Film-In-Hd-Quality Where To Buy I Spit on Your Grave Movie , http://www.veoh.com/forum/showthread.php/2096-Download-Repo-Men-Film-Hq Hd Quality Repo Men Watch , http://www.veoh.com/forum/showthread.php/2054-Full-Robin-Hood-Movie-Downloads Robin Hood Video Download , http://www.veoh.com/forum/showthread.php/2063-Download-Knight-and-Day-Full-Movie Knight and Day Film Watch Films , http://www.veoh.com/forum/showthread.php/2089-Download-2012-Movie-In-Divx-Formats 2012 The Movie Watch It , -- Download Movie Robin Hood Pda?
- 4 , http://www.veoh.com/forum/showthread.php/2055-Download-Salt-Movie-In-Divx-Formats I Want To Watch The Salt Movie , http://www.veoh.com/forum/showthread.php/2097-Download-Prince-of-Persia-The-Sands-of-Time-Film-In-Dvd-Quality Prince of Persia: The Sands of Time Movie On Youtube , http://www.veoh.com/forum/showthread.php/2092-The-Book-of-Eli-Film-Hd-Download Watching The Book of Eli Online , http://www.veoh.com/forum/showthread.php/2069-Full-Despicable-Me-Movie-Downloads Despicable Me Dvd , http://www.veoh.com/forum/showthread.php/2077-Download-Clash-of-the-Titans-Film-Dvd Watch Clash of the Titans Hd , http://www.veoh.com/forum/showthread.php/2088-Download-Sex-and-the-City-2-Film-In-Hd-Formats Download The Movie The Sex and the City 2 , http://www.veoh.com/forum/showthread.php/2070-Full-The-Sorcerer-s-Apprentice-Film-Downloads The Sorcerer's Apprentice Film To Watch Now , http://www.veoh.com/forum/showthread.php/2051-Wall-Street-Money-Never-Sleeps-Download-Full-Film The Whole Wall Street: Money Never Sleeps Movie , http://www.veoh.com/forum/showthread.php/2056-The-Resident-Evil-Afterlife-Download-Full-Film Resident Evil: Afterlife Film Reviews , http://www.veoh.com/forum/showthread.php/2093-Download-Vampires-Suck-Movie-In-Divx-Formats Watch Vampires Suck Full Movie Good Quality , -- Movie Net The Sorcerer's Apprentice?
- 3 , http://www.veoh.com/forum/showthread.php/2074-Download-Jonah-Hex-Movie-In-Hd Jonah Hex The Film In Hd , http://www.veoh.com/forum/showthread.php/2072-Download-Online-Avatar-The-Movie-In-High-Quality Download Avatar Movie Ipod , http://www.veoh.com/forum/showthread.php/2050-Download-Inception-Film-In-Dvd-Quality The Inception Movie Online , http://www.veoh.com/forum/showthread.php/2060-The-Predators-Download-Full-Movie Predators Online Soundtrack Download , http://www.veoh.com/forum/showthread.php/2049-Download-Online-Toy-Story-3-The-Movie-In-High-Quality Toy Story 3 Film Opening , http://www.veoh.com/forum/showthread.php/2061-Download-Film-Grown-Ups-Dvdrip Download The Grown Ups Dvd , http://www.veoh.com/forum/showthread.php/2071-Download-Piranha-Movie-Ipod The Piranha Full Movie Online , http://www.veoh.com/forum/showthread.php/2052-The-Iron-Man-2-Download-Full-Film Iron Man 2 Film Watch Full Film , http://www.veoh.com/forum/showthread.php/2062-Download-Eclipse-Film-In-Hd-Formats Eclipse The Full Film To Watch , http://www.veoh.com/forum/showthread.php/2083-Download-Shrek-Forever-After-Film-In-Hd-Quality Watch A Movie Shrek Forever After Online , -- Whole Toy Story 3 Film?
- 4 , http://www.veoh.com/forum/showthread.php/2082-Full-Alice-in-Wonderland-Film-Downloads Alice in Wonderland Movie Release , http://www.veoh.com/forum/showthread.php/2073-Download-The-Switch-Movie-In-Divx-Formats The Switch Movie On Internet , http://www.veoh.com/forum/showthread.php/2087-Download-Splice-Film-In-Dvd-Quality Download For Splice The Movie , http://www.veoh.com/forum/showthread.php/2098-Download-Legend-of-the-Guardians-The-Owls-of-Ga-Hoole-Movie-In-Hd-Quality About The Legend of the Guardians: The Owls of Ga'Hoole Online , http://www.veoh.com/forum/showthread.php/2081-Download-Movie-Leap-Year-Pda Download Leap Year Full Movie Free , http://www.veoh.com/forum/showthread.php/2067-Centurion-Movie-Hd-Download Centurion Film To Watch Now , http://www.veoh.com/forum/showthread.php/2075-Download-Movie-The-Town-Dvd Watch The Whole The Town Movie , http://www.veoh.com/forum/showthread.php/2065-Download-The-Karate-Kid-Movie-In-Ipod-Quality The Karate Kid Trailer Mp4 Download , http://www.veoh.com/forum/showthread.php/2085-Download-Step-Up-3D-Movie-In-Hd To Watch The Step Up 3D Film , http://www.veoh.com/forum/showthread.php/2064-Get-Him-to-the-Greek-Film-Download-Full-Film Get Him to the Greek Film Cinema , -- Download The Alice in Wonderland?
- 4 , http://www.veoh.com/forum/showthread.php/2066-Download-Machete-Film-In-Dvd-Quality Machete Film Video , http://www.veoh.com/forum/showthread.php/2059-Download-The-A-Team-Movie-In-Hd-Quality Download The Entire The A-Team Film , http://www.veoh.com/forum/showthread.php/2080-Download-Killers-Movie-In-Hd-Quality Cheapest Killers Movie , http://www.veoh.com/forum/showthread.php/2068-Full-Red-Film-Downloads Red Film To Download , http://www.veoh.com/forum/showthread.php/2058-Download-The-Last-Airbender-Movie-In-Hd-Quality Download The Last Airbender Film In Hd Formats , http://www.veoh.com/forum/showthread.php/2079-Download-Green-Zone-Film-In-Dvd-Quality Green Zone Full Lenght Film In Dvd Format , http://www.veoh.com/forum/showthread.php/2095-Download-Movie-Up-in-the-Air-Dvd Watch The Entire Film Of Up in the Air , http://www.veoh.com/forum/showthread.php/2084-Download-Dinner-for-Schmucks-Film-In-Hd-Quality Download Dinner for Schmucks The Musical , http://www.veoh.com/forum/showthread.php/2076-Frozen-Movie-Download-Full-Movie Website To Watch Frozen Movie , http://www.veoh.com/forum/showthread.php/2053-Full-The-Expendables-Movie-Downloads Watch The Expendables Movie Hq , -- Download The Whole Movie Of Green Zone?
- 3 , http://www.veoh.com/forum/showthread.php/2086-Download-Devil-Film-Dvd Download Whole Devil Movie , http://www.veoh.com/forum/showthread.php/2091-Watch-Online-Ocean-s-Eleven-The-Movie-In-High-Quality Download Ocean's Eleven Full Movie Hd , http://www.veoh.com/forum/showthread.php/2094-Download-The-Social-Network-Full-Movie Full Movie Of The Social Network , http://www.veoh.com/forum/showthread.php/2057-Download-How-to-Train-Your-Dragon-Film-In-Hd-Formats How to Train Your Dragon Film Awards , http://www.veoh.com/forum/showthread.php/2090-How-To-Download-The-Losers-The-Full-Movie The Losers Film Premier , http://www.veoh.com/forum/showthread.php/2078-Download-I-Spit-on-Your-Grave-Film-In-Hd-Quality Watch I Spit on Your Grave The Movie In Hd , http://www.veoh.com/forum/showthread.php/2096-Download-Repo-Men-Film-Hq Where To Watch Repo Men The Movie , http://www.veoh.com/forum/showthread.php/2054-Full-Robin-Hood-Movie-Downloads Robin Hood Film Sales , http://www.veoh.com/forum/showthread.php/2063-Download-Knight-and-Day-Full-Movie Knight and Day Movie For Cheap , http://www.veoh.com/forum/showthread.php/2089-Download-2012-Movie-In-Divx-Formats Website To Watch 2012 Movie , -- The Social Network Movie Hd?
- 2 , http://www.veoh.com/forum/showthread.php/2055-Download-Salt-Movie-In-Divx-Formats Download The Whole Salt Movie , http://www.veoh.com/forum/showthread.php/2097-Download-Prince-of-Persia-The-Sands-of-Time-Film-In-Dvd-Quality Watch Prince of Persia: The Sands of Time Film In Hd , http://www.veoh.com/forum/showthread.php/2092-The-Book-of-Eli-Film-Hd-Download Where To Watch The Book of Eli Movie , http://www.veoh.com/forum/showthread.php/2069-Full-Despicable-Me-Movie-Downloads Download The Whole Despicable Me Film , http://www.veoh.com/forum/showthread.php/2077-Download-Clash-of-the-Titans-Film-Dvd Download The Clash of the Titans Film Online , http://www.veoh.com/forum/showthread.php/2088-Download-Sex-and-the-City-2-Film-In-Hd-Formats Cinematic Sex and the City 2 Download , http://www.veoh.com/forum/showthread.php/2070-Full-The-Sorcerer-s-Apprentice-Film-Downloads The Sorcerer's Apprentice Film Video , http://www.veoh.com/forum/showthread.php/2051-Wall-Street-Money-Never-Sleeps-Download-Full-Film Watch Complete Wall Street: Money Never Sleeps Film , http://www.veoh.com/forum/showthread.php/2056-The-Resident-Evil-Afterlife-Download-Full-Film Download Entire Resident Evil: Afterlife Movie , http://www.veoh.com/forum/showthread.php/2093-Download-Vampires-Suck-Movie-In-Divx-Formats Watch Vampires Suck Film Download , -- The Whole The Sorcerer's Apprentice Film Online?
- 3 , http://www.veoh.com/forum/showthread.php/2074-Download-Jonah-Hex-Movie-In-Hd Watch The New Jonah Hex Movie , http://www.veoh.com/forum/showthread.php/2072-Download-Online-Avatar-The-Movie-In-High-Quality Avatar Movie Theatre , http://www.veoh.com/forum/showthread.php/2050-Download-Inception-Film-In-Dvd-Quality Inception Film Photo , http://www.veoh.com/forum/showthread.php/2060-The-Predators-Download-Full-Movie Predators Movie Theater , http://www.veoh.com/forum/showthread.php/2049-Download-Online-Toy-Story-3-The-Movie-In-High-Quality Download Toy Story 3 Film Dvd , http://www.veoh.com/forum/showthread.php/2061-Download-Film-Grown-Ups-Dvdrip Watch New Grown Ups Online , http://www.veoh.com/forum/showthread.php/2071-Download-Piranha-Movie-Ipod Piranha Information , http://www.veoh.com/forum/showthread.php/2052-The-Iron-Man-2-Download-Full-Film Iron Man 2 Movie On The Internet , http://www.veoh.com/forum/showthread.php/2062-Download-Eclipse-Film-In-Hd-Formats Download Eclipse Full Movie Hd , http://www.veoh.com/forum/showthread.php/2083-Download-Shrek-Forever-After-Film-In-Hd-Quality Download Shrek Forever After Film Megaupload , -- Toy Story 3 Movie To Watch?
- 4 , http://www.veoh.com/forum/showthread.php/2082-Full-Alice-in-Wonderland-Film-Downloads Where To Buy Alice in Wonderland Movie , http://www.veoh.com/forum/showthread.php/2073-Download-The-Switch-Movie-In-Divx-Formats The Switch Imdb , http://www.veoh.com/forum/showthread.php/2087-Download-Splice-Film-In-Dvd-Quality Download Splice Dvd , http://www.veoh.com/forum/showthread.php/2098-Download-Legend-of-the-Guardians-The-Owls-of-Ga-Hoole-Movie-In-Hd-Quality Whole Film Of Legend of the Guardians: The Owls of Ga'Hoole , http://www.veoh.com/forum/showthread.php/2081-Download-Movie-Leap-Year-Pda Buy Leap Year Hq - Dvd - Divx - Ipod - Pda Formats , http://www.veoh.com/forum/showthread.php/2067-Centurion-Movie-Hd-Download Ipod Centurion Free , http://www.veoh.com/forum/showthread.php/2075-Download-Movie-The-Town-Dvd The Full The Town Movie , http://www.veoh.com/forum/showthread.php/2065-Download-The-Karate-Kid-Movie-In-Ipod-Quality Website To Watch The Karate Kid The Film , http://www.veoh.com/forum/showthread.php/2085-Download-Step-Up-3D-Movie-In-Hd Free Step Up 3D Divx , http://www.veoh.com/forum/showthread.php/2064-Get-Him-to-the-Greek-Film-Download-Full-Film Where To Watch Get Him to the Greek Full Movie , -- Where To Download Leap Year The Film?
- 3 , http://www.veoh.com/forum/showthread.php/2066-Download-Machete-Film-In-Dvd-Quality Machete Filmography , http://www.veoh.com/forum/showthread.php/2059-Download-The-A-Team-Movie-In-Hd-Quality The A-Team Trailer Download , http://www.veoh.com/forum/showthread.php/2080-Download-Killers-Movie-In-Hd-Quality The New Killers Movie , http://www.veoh.com/forum/showthread.php/2068-Full-Red-Film-Downloads Red Movie To Buy , http://www.veoh.com/forum/showthread.php/2058-Download-The-Last-Airbender-Movie-In-Hd-Quality Hi-def The Last Airbender Movie , http://www.veoh.com/forum/showthread.php/2079-Download-Green-Zone-Film-In-Dvd-Quality Watch Full Length Green Zone Online , http://www.veoh.com/forum/showthread.php/2095-Download-Movie-Up-in-the-Air-Dvd Hd Quality Up in the Air Watch , http://www.veoh.com/forum/showthread.php/2084-Download-Dinner-for-Schmucks-Film-In-Hd-Quality Dinner for Schmucks Movie Part , http://www.veoh.com/forum/showthread.php/2076-Frozen-Movie-Download-Full-Movie Download The Frozen Online , http://www.veoh.com/forum/showthread.php/2053-Full-The-Expendables-Movie-Downloads Where Can Buy A The Expendables , -- How To Download Green Zone The Movie?
- 3 , http://www.veoh.com/forum/showthread.php/2086-Download-Devil-Film-Dvd Devil Movie Rating , http://www.veoh.com/forum/showthread.php/2091-Watch-Online-Ocean-s-Eleven-The-Movie-In-High-Quality Download Of Ocean's Eleven Movie , http://www.veoh.com/forum/showthread.php/2094-Download-The-Social-Network-Full-Movie Illegal The Social Network Film Download , http://www.veoh.com/forum/showthread.php/2057-Download-How-to-Train-Your-Dragon-Film-In-Hd-Formats Illegal How to Train Your Dragon Film Download , http://www.veoh.com/forum/showthread.php/2090-How-To-Download-The-Losers-The-Full-Movie The Losers Film Watch Films , http://www.veoh.com/forum/showthread.php/2078-Download-I-Spit-on-Your-Grave-Film-In-Hd-Quality Watch I Spit on Your Grave Movie On Computer , http://www.veoh.com/forum/showthread.php/2096-Download-Repo-Men-Film-Hq Watch The Complete Repo Men Film , http://www.veoh.com/forum/showthread.php/2054-Full-Robin-Hood-Movie-Downloads Were Can I Watch Robin Hood The Movie , http://www.veoh.com/forum/showthread.php/2063-Download-Knight-and-Day-Full-Movie Knight and Day Film Direct Download , http://www.veoh.com/forum/showthread.php/2089-Download-2012-Movie-In-Divx-Formats Download 2012 Film In Ipod Quality , -- Repo Men Movie Information?
- 3 , http://www.veoh.com/forum/showthread.php/2055-Download-Salt-Movie-In-Divx-Formats Salt Film Dvd , http://www.veoh.com/forum/showthread.php/2097-Download-Prince-of-Persia-The-Sands-of-Time-Film-In-Dvd-Quality Watch The Prince of Persia: The Sands of Time Movie Now , http://www.veoh.com/forum/showthread.php/2092-The-Book-of-Eli-Film-Hd-Download The The Book of Eli Soundtrack Download , http://www.veoh.com/forum/showthread.php/2069-Full-Despicable-Me-Movie-Downloads Despicable Me Film Length , http://www.veoh.com/forum/showthread.php/2077-Download-Clash-of-the-Titans-Film-Dvd Clash of the Titans Online Film , http://www.veoh.com/forum/showthread.php/2088-Download-Sex-and-the-City-2-Film-In-Hd-Formats Sex and the City 2 Film Video , http://www.veoh.com/forum/showthread.php/2070-Full-The-Sorcerer-s-Apprentice-Film-Downloads I Want To Watch The Full Film Of The Sorcerer's Apprentice Online , http://www.veoh.com/forum/showthread.php/2051-Wall-Street-Money-Never-Sleeps-Download-Full-Film Roger Spottiswoode Wall Street: Money Never Sleeps , http://www.veoh.com/forum/showthread.php/2056-The-Resident-Evil-Afterlife-Download-Full-Film The Resident Evil: Afterlife 2009 Download , http://www.veoh.com/forum/showthread.php/2093-Download-Vampires-Suck-Movie-In-Divx-Formats Watch Vampires Suck Film In High Quality , -- Watch The Entire Film Of Vampires Suck?
- 4 , http://www.veoh.com/forum/showthread.php/2074-Download-Jonah-Hex-Movie-In-Hd Hi-def Quality Jonah Hex , http://www.veoh.com/forum/showthread.php/2072-Download-Online-Avatar-The-Movie-In-High-Quality Download The New Avatar Movie , http://www.veoh.com/forum/showthread.php/2050-Download-Inception-Film-In-Dvd-Quality Inception Movie Quotes , http://www.veoh.com/forum/showthread.php/2060-The-Predators-Download-Full-Movie Predators Film Opening , http://www.veoh.com/forum/showthread.php/2049-Download-Online-Toy-Story-3-The-Movie-In-High-Quality Watch Entire Toy Story 3 Film , http://www.veoh.com/forum/showthread.php/2061-Download-Film-Grown-Ups-Dvdrip Grown Ups Film Download High Quality , http://www.veoh.com/forum/showthread.php/2071-Download-Piranha-Movie-Ipod Piranha Movie In Hd , http://www.veoh.com/forum/showthread.php/2052-The-Iron-Man-2-Download-Full-Film Iron Man 2 Divx , http://www.veoh.com/forum/showthread.php/2062-Download-Eclipse-Film-In-Hd-Formats Eclipse Trailers , http://www.veoh.com/forum/showthread.php/2083-Download-Shrek-Forever-After-Film-In-Hd-Quality Shrek Forever After The Movie To Download , -- Shrek Forever After Film On Youtube?
- 4 , http://www.veoh.com/forum/showthread.php/2082-Full-Alice-in-Wonderland-Film-Downloads Alice in Wonderland Film Good Quality , http://www.veoh.com/forum/showthread.php/2073-Download-The-Switch-Movie-In-Divx-Formats Watch The Switch Full Movie Hd , http://www.veoh.com/forum/showthread.php/2087-Download-Splice-Film-In-Dvd-Quality Splice The Film High Quality , http://www.veoh.com/forum/showthread.php/2098-Download-Legend-of-the-Guardians-The-Owls-of-Ga-Hoole-Movie-In-Hd-Quality Cheapest Legend of the Guardians: The Owls of Ga'Hoole Movie , http://www.veoh.com/forum/showthread.php/2081-Download-Movie-Leap-Year-Pda Leap Year Movie Release , http://www.veoh.com/forum/showthread.php/2067-Centurion-Movie-Hd-Download Websites To Watch Centurion The Movie , http://www.veoh.com/forum/showthread.php/2075-Download-Movie-The-Town-Dvd The Town Direct Download , http://www.veoh.com/forum/showthread.php/2065-Download-The-Karate-Kid-Movie-In-Ipod-Quality New Movie The Karate Kid , http://www.veoh.com/forum/showthread.php/2085-Download-Step-Up-3D-Movie-In-Hd Step Up 3D Movie Download Zshare , http://www.veoh.com/forum/showthread.php/2064-Get-Him-to-the-Greek-Film-Download-Full-Film High Quality Get Him to the Greek Film , -- Watch The Complete Step Up 3D Film?
- 3 , http://www.veoh.com/forum/showthread.php/2066-Download-Machete-Film-In-Dvd-Quality I Want To Watch The Full Movie Of Machete Online , http://www.veoh.com/forum/showthread.php/2059-Download-The-A-Team-Movie-In-Hd-Quality Cheapest The A-Team Movie , http://www.veoh.com/forum/showthread.php/2080-Download-Killers-Movie-In-Hd-Quality Where To Watch Killers The Movie , http://www.veoh.com/forum/showthread.php/2068-Full-Red-Film-Downloads Red Film Awards , http://www.veoh.com/forum/showthread.php/2058-Download-The-Last-Airbender-Movie-In-Hd-Quality Free Downloads The Last Airbender , http://www.veoh.com/forum/showthread.php/2079-Download-Green-Zone-Film-In-Dvd-Quality Websites To Watch Green Zone The Film , http://www.veoh.com/forum/showthread.php/2095-Download-Movie-Up-in-the-Air-Dvd Up in the Air Full Lenght Movie In Divx Format , http://www.veoh.com/forum/showthread.php/2084-Download-Dinner-for-Schmucks-Film-In-Hd-Quality Dinner for Schmucks Film Synopsis , http://www.veoh.com/forum/showthread.php/2076-Frozen-Movie-Download-Full-Movie Watch Frozen The Film Right Now , http://www.veoh.com/forum/showthread.php/2053-Full-The-Expendables-Movie-Downloads The Expendables Downloading , -- The A-Team Movie Video?
- 3 , http://www.veoh.com/forum/showthread.php/2086-Download-Devil-Film-Dvd Watch Complete Devil Movie , http://www.veoh.com/forum/showthread.php/2091-Watch-Online-Ocean-s-Eleven-The-Movie-In-High-Quality Ocean's Eleven Film Bits , http://www.veoh.com/forum/showthread.php/2094-Download-The-Social-Network-Full-Movie The Social Network Film Awards , http://www.veoh.com/forum/showthread.php/2057-Download-How-to-Train-Your-Dragon-Film-In-Hd-Formats Watch Complete How to Train Your Dragon Movie , http://www.veoh.com/forum/showthread.php/2090-How-To-Download-The-Losers-The-Full-Movie The Losers Film Divx , http://www.veoh.com/forum/showthread.php/2078-Download-I-Spit-on-Your-Grave-Film-In-Hd-Quality Watch Made From I Spit on Your Grave , http://www.veoh.com/forum/showthread.php/2096-Download-Repo-Men-Film-Hq Download Repo Men Movie 2010 , http://www.veoh.com/forum/showthread.php/2054-Full-Robin-Hood-Movie-Downloads Watch Whole Movie Of Robin Hood , http://www.veoh.com/forum/showthread.php/2063-Download-Knight-and-Day-Full-Movie Pre Buy Knight and Day Movie , http://www.veoh.com/forum/showthread.php/2089-Download-2012-Movie-In-Divx-Formats Watch 2012 Film Stream , -- Watch The Entire Film Of Repo Men?
- 3 , http://www.veoh.com/forum/showthread.php/2055-Download-Salt-Movie-In-Divx-Formats The Salt Film Online , http://www.veoh.com/forum/showthread.php/2097-Download-Prince-of-Persia-The-Sands-of-Time-Film-In-Dvd-Quality Buy Prince of Persia: The Sands of Time The Movie , http://www.veoh.com/forum/showthread.php/2092-The-Book-of-Eli-Film-Hd-Download The Book of Eli The Full Film To Watch , http://www.veoh.com/forum/showthread.php/2069-Full-Despicable-Me-Movie-Downloads Watch The Full Movie Of Despicable Me , http://www.veoh.com/forum/showthread.php/2077-Download-Clash-of-the-Titans-Film-Dvd Clash of the Titans Online Divx , http://www.veoh.com/forum/showthread.php/2088-Download-Sex-and-the-City-2-Film-In-Hd-Formats Sex and the City 2 Website , http://www.veoh.com/forum/showthread.php/2070-Full-The-Sorcerer-s-Apprentice-Film-Downloads The Sorcerer's Apprentice Movie Stream , http://www.veoh.com/forum/showthread.php/2051-Wall-Street-Money-Never-Sleeps-Download-Full-Film Where Can I Buy Wall Street: Money Never Sleeps The Film , http://www.veoh.com/forum/showthread.php/2056-The-Resident-Evil-Afterlife-Download-Full-Film Download The Resident Evil: Afterlife , http://www.veoh.com/forum/showthread.php/2093-Download-Vampires-Suck-Movie-In-Divx-Formats Dvd Vampires Suck Online , -- Salt Film Location?
- 4 , http://www.veoh.com/forum/showthread.php/2074-Download-Jonah-Hex-Movie-In-Hd Download Jonah Hex Movies , http://www.veoh.com/forum/showthread.php/2072-Download-Online-Avatar-The-Movie-In-High-Quality Watch New Avatar Online , http://www.veoh.com/forum/showthread.php/2050-Download-Inception-Film-In-Dvd-Quality Inception Release , http://www.veoh.com/forum/showthread.php/2060-The-Predators-Download-Full-Movie Predators Online Soundtrack Download , http://www.veoh.com/forum/showthread.php/2049-Download-Online-Toy-Story-3-The-Movie-In-High-Quality Download Toy Story 3 Movies , http://www.veoh.com/forum/showthread.php/2061-Download-Film-Grown-Ups-Dvdrip Grown Ups Preview , http://www.veoh.com/forum/showthread.php/2071-Download-Piranha-Movie-Ipod Watch Piranha Movie Hq , http://www.veoh.com/forum/showthread.php/2052-The-Iron-Man-2-Download-Full-Film Iron Man 2 Film Imbd , http://www.veoh.com/forum/showthread.php/2062-Download-Eclipse-Film-In-Hd-Formats I Want To Watch The Eclipse Film , http://www.veoh.com/forum/showthread.php/2083-Download-Shrek-Forever-After-Film-In-Hd-Quality Shrek Forever After Film Poster , -- Predators Film Divx?
- 4 , http://www.veoh.com/forum/showthread.php/2082-Full-Alice-in-Wonderland-Film-Downloads Alice in Wonderland Film Party , http://www.veoh.com/forum/showthread.php/2073-Download-The-Switch-Movie-In-Divx-Formats Watch Full Length The Switch Online , http://www.veoh.com/forum/showthread.php/2087-Download-Splice-Film-In-Dvd-Quality Hd Dvd Splice , http://www.veoh.com/forum/showthread.php/2098-Download-Legend-of-the-Guardians-The-Owls-of-Ga-Hoole-Movie-In-Hd-Quality Length Of Legend of the Guardians: The Owls of Ga'Hoole Film , http://www.veoh.com/forum/showthread.php/2081-Download-Movie-Leap-Year-Pda Watch Leap Year The Film Full Version , http://www.veoh.com/forum/showthread.php/2067-Centurion-Movie-Hd-Download Centurion Film Casting , http://www.veoh.com/forum/showthread.php/2075-Download-Movie-The-Town-Dvd Hi-def The Town Movie , http://www.veoh.com/forum/showthread.php/2065-Download-The-Karate-Kid-Movie-In-Ipod-Quality Where To Watch The Karate Kid Full Movie , http://www.veoh.com/forum/showthread.php/2085-Download-Step-Up-3D-Movie-In-Hd Quality Step Up 3D Ipod , http://www.veoh.com/forum/showthread.php/2064-Get-Him-to-the-Greek-Film-Download-Full-Film Movie Dvd Get Him to the Greek , -- Download The Alice in Wonderland Trailer?
- 2 , http://www.box.net/shared/ms767ginby Order SOMA Without A Rx Online , http://www.box.net/shared/54f5m77rnp Cheap AMBIEN By Money Order , http://trig.com/alessandramona/biography maximum tramadol dosage , http://www.box.net/shared/gqe7jmespc Buy Discount VALIUM No Prescription , -- tramadol canada dosage feline?
- 3 , http://www.veoh.com/forum/showthread.php/1176-Tramadol-cod-(October-2010) tramadol dosage hydrocodone chart , http://trig.com/jenifferarnetta/biography buy tramadol ultram , http://www.box.net/shared/cjp8hfn3be Purchase ADDERALL Without , http://www.veoh.com/forum/showthread.php/1197-Tramadol-generic-(October-2010) tramadol generic became on , http://www.box.net/shared/rnqmokpg69 tramadol dosage pictures , http://www.box.net/shared/ahakoaft1l tramadol hcl 50mg side effects , http://www.veoh.com/forum/showthread.php/1187-Tramadol-online-(October-2010) tramadol rx online life , http://trig.com/vaniashani/biography tramadol prescription , http://www.box.net/shared/zihn635yns Buy TRAMADOL Er Online No Membership Overnight Shipping , http://www.box.net/shared/kaq9mlp20t Order The Cheapest VIAGRA Er Now , -- Buy Mail Order TRAMADOL?
- 2 , http://www.veoh.com/forum/showthread.php/1181-Tramadol-generic-(October-2010) generic tramadol ultram or , http://www.veoh.com/forum/showthread.php/1190-Tramadol-hcl-(October-2010) tramadol hcl 50 mg dogs for , http://www.box.net/shared/nfu3k9ozru ULTRAM No Doctors Prescription , http://trig.com/marleenmariann/biography cheap next tramadol day , http://www.veoh.com/forum/showthread.php/1198-Tramadol-dosage-(October-2010) tramadol dosage in ducks and geese , http://www.veoh.com/forum/showthread.php/1172-Tramadol-hcl-(October-2010) tramadol hcl apap , http://www.box.net/shared/yvhnkzo4x5 AMBIEN With Doctor Consult , http://www.box.net/shared/eccbgnog7u phenergan tramadol safe together , http://www.box.net/shared/acn7y8ded4 60 tramadol pills cheapest , http://www.box.net/shared/cqyu34izga tramadol dogs canine dosage , -- promethizine tramadol safe together?
- 2 , http://www.box.net/shared/e4iv8mgeby tramadol online no prescription , http://www.veoh.com/forum/showthread.php/1178-Tramadol-side-effects-(October-2010) tramadol side effects dogs , http://www.veoh.com/forum/showthread.php/1189-Buy-tramadol-(October-2010) buy florida tramadol , http://www.box.net/shared/66hiimo6bv Online Doctor For AMBIEN , http://www.box.net/shared/kb3lt2havi list of drug companies generic tramadol , http://www.box.net/shared/m8f0kiq7us Cheapest LEVITRA To Buy Online In Uk , http://www.box.net/shared/ac8gi87114 tramadol cod order , http://www.box.net/shared/04m298c5bs fedex cheap tramadol , http://www.box.net/shared/pdx37utzxi all about tramadol flamingoes , http://www.box.net/shared/1vat54mjuf XANAX For Pain , -- tramadol drug label and codeine?
- 4 , http://www.box.net/shared/fez72sgmt9 Order FIORICET In Kitchener , http://www.veoh.com/forum/showthread.php/1165-Cheap-tramadol-(October-2010) cheap tramadol free with shipping , http://www.box.net/shared/055v2t0i9v tramadol sites with cod delivery , http://www.box.net/shared/j8hc46365n tramadol sites with cod delivery , http://www.box.net/shared/kqlcek3ndn Man Health Buy TRAMADOL Now , http://www.box.net/shared/29dn835tva VALIUM For Chronic Pain , http://www.box.net/shared/1thrs9b14b order 100 tramadol mg , http://www.box.net/shared/52sixlzgcd Or TRAMADOL Online Order Onlines , http://www.box.net/shared/v6jdz2n6v4 SOMA Cd Side Effects , http://www.box.net/shared/77jdsceip5 Find Cheapest XANAX To Buy Online , -- Purchase XANAX in Za?
- 4 , http://www.box.net/shared/biq4se2j36 Order SOMA Generic , http://www.veoh.com/forum/showthread.php/1183-Tramadol-dosage-(October-2010) canine dosages tramadol , http://www.box.net/shared/bsghcixf88 Buy CIALIS In Newark , http://www.box.net/shared/osuiavetrc tramadol generic , http://trig.com/kortneywilburn/biography ativan buy tramadol online , http://trig.com/katheytressa/biography side effects from tramadol 50mg tab , http://trig.com/ingestacey/biography tramadol generic , http://www.box.net/shared/44irvnvrsa tramadol 4 50mg tablets , http://www.veoh.com/forum/showthread.php/1192-Tramadol-cod-(October-2010) tramadol cod fedex , http://trig.com/rhettmarcella/biography tramadol is not codiene , -- CIALIS Buy In Usa All Us Regions Overnight Delivery?
- 2 , http://www.box.net/shared/u1824aja1t Order TRAMADOL Online Uk , http://www.box.net/shared/yxpgbhe198 CIALIS No Prescription Needed Overnight , http://www.box.net/shared/p0alg9s5fj AMBIEN Buy In Italy No Prior Prescription Needed , http://www.veoh.com/forum/showthread.php/1195-Order-tramadol-(October-2010) tramadol order pharmacy , http://www.box.net/shared/zt3akfzc9v ADDERALL Buy in Uk Without Prescrs free Pills , http://www.veoh.com/forum/showthread.php/1185-Cheap-tramadol-(October-2010) tramadol cheapest us buy price online , http://www.box.net/shared/zuu1xxlcb7 Buy ULTRAM Without Rx To Ship Overnight , http://www.box.net/shared/kkn3l7bjh8 Purchasing VALIUM Er With Overnight Delivery , http://trig.com/signejanessa/biography 100mg tramadol order , http://www.box.net/shared/ib75qv28ck Purchase FIORICET in Usa , -- Overnight TRAMADOL No Rx Sunday Delivery?
- 2 , http://www.box.net/shared/ypmege6s50 side effects of suddenly stopping tramadol , http://trig.com/elzadamian/biography tramadol dosage hcl , http://www.box.net/shared/m3h1ud5y92 Buy Cheap XANAX Er Online Free Consult , http://www.box.net/shared/a0g09mi9ta tramadol ultram allergy side-effects sensitivities , http://www.box.net/shared/06ullqaxl0 Buy VIAGRA Pills , http://www.box.net/shared/z8bfx4nhuy VIAGRA Buy in Aus Fri For Receptpligtig Medicin , http://www.veoh.com/forum/showthread.php/1175-Tramadol-prescription-(October-2010) no prior tramadol prescription , http://www.box.net/shared/6cev6jaf3t tramadol veterinary pain medication , http://www.box.net/shared/8lsga07ttf mixing oxycodone with tramadol , http://www.box.net/shared/ov5h9du2gb top site for tramadol buying , -- codeine allergy cross sensitivity tramadol?
- 2 , http://www.box.net/shared/ias3cn35l0 low price tramadol , http://www.veoh.com/forum/showthread.php/1191-Tramadol-prescription-(October-2010) free tramadol no prescription , http://www.box.net/shared/i2di459u1y Lowest Prices For FIORICET Online , http://www.box.net/shared/z3y4bqtxr8 Buy Cheap Discounted SOMA , http://www.box.net/shared/ioyjzm3vkp tramadol maximum dose , http://www.box.net/shared/ko3vqyhmid cost low tramadol , http://www.box.net/shared/t3ob7209fq Cheapest CODEINE Shipping To Usa , http://www.veoh.com/forum/showthread.php/1171-Buy-tramadol-(October-2010) buy tramadol online a without prescription , http://www.box.net/shared/yfgijjjb36 Cheapest Order LEVITRA , http://www.box.net/shared/hbh665ovas Overnight Delivery Of CIALIS With No Prescription , -- buy tramadol online without prescription a?
- 3 , http://www.box.net/shared/g9fpy26mlr no prescription next day delivery tramadol , http://www.veoh.com/forum/showthread.php/1169-Tramadol-online-(October-2010) is ordering tramadol illigial online , http://www.box.net/shared/ydfoaafn8i how to buy tramadol , http://www.veoh.com/forum/showthread.php/1193-Tramadol-side-effects-(October-2010) tramadol side effects forum numbness , http://www.veoh.com/forum/showthread.php/1179-Order-tramadol-(October-2010) cod accepted orders for tramadol , http://www.box.net/shared/axe3oktbc3 I Want To Buy TRAMADOL Without A Perscription , http://www.box.net/shared/9ola22l010 buy online no tramadol prescription , http://www.box.net/shared/54iifxugl0 purchase cheap tramadol , http://www.box.net/shared/no3g2msqcj Buy Generic FIORICET Online in North Carolina , http://www.box.net/shared/9at2cz6sd9 Discount FIORICET , -- online pharmacy tramadol sales?
- 4 , http://www.box.net/shared/3tyt2rsrn7 Cheap XANAX Cheap At Washington , http://www.box.net/shared/os1b723opk what is tramadol hcl , http://www.box.net/shared/ooaesfkujg Buy CODEINE No Visa , http://www.box.net/shared/5lx4oigfuj Purchase XANAX Pay Pal Without Prescription , http://www.box.net/shared/8j0hvhu4ge AMBIEN Buy in Nl Cod No Prescription , http://www.box.net/shared/xb4q3vbpr9 tramadol pets no prescription , http://www.box.net/shared/kcg9htfuh8 VIAGRA Cod Buys , http://www.box.net/shared/i77thrn7jy is tramadol available in canada , http://www.box.net/shared/k33ma8cvdy Purchase VIAGRA Online No Membership Overnight Shipping , http://www.box.net/shared/71e1r5f15g SOMA Bars Without Prescription , -- Purchase Online VIAGRA Without Rx?
- 2 , http://www.box.net/shared/ms767ginby Purchasing SOMA Overnight Delivery , http://www.box.net/shared/54f5m77rnp Purchase AMBIEN Online Without A Presciption , http://trig.com/alessandramona/biography tramadol dosage 50mg , http://www.box.net/shared/gqe7jmespc VALIUM No Prescription Next Day Delivery , -- tramadol canine dosage viagra?
- 3 , http://www.veoh.com/forum/showthread.php/1176-Tramadol-cod-(October-2010) tramadol and mixed hydrocodone , http://trig.com/jenifferarnetta/biography career in finance buy tramadol , http://www.box.net/shared/cjp8hfn3be ADDERALL Buy ADDERALL , http://www.veoh.com/forum/showthread.php/1197-Tramadol-generic-(October-2010) generic mexican pictures tramadol , http://www.box.net/shared/rnqmokpg69 tramadol dosages , http://www.box.net/shared/ahakoaft1l tramadol effect on blood sugar levels , http://www.veoh.com/forum/showthread.php/1187-Tramadol-online-(October-2010) online tramadol , http://trig.com/vaniashani/biography cheap tramadol without a prescription fedex , http://www.box.net/shared/zihn635yns Ordering TRAMADOL Online Without Prescription , http://www.box.net/shared/kaq9mlp20t Cheap VIAGRA Er For Sale With No Prescription , -- what is tramadol generic ultram?
- 4 , http://www.veoh.com/forum/showthread.php/1181-Tramadol-generic-(October-2010) strongest generic tramadol of , http://www.veoh.com/forum/showthread.php/1190-Tramadol-hcl-(October-2010) tramadol hcl mg 50 uses , http://www.box.net/shared/nfu3k9ozru Buy Online ULTRAM Rxs , http://trig.com/marleenmariann/biography cheap tramadol discount , http://www.veoh.com/forum/showthread.php/1198-Tramadol-dosage-(October-2010) tramadol dogs canine dosage , http://www.veoh.com/forum/showthread.php/1172-Tramadol-hcl-(October-2010) what is tramadol hcl 50mg , http://www.box.net/shared/yvhnkzo4x5 Buy Cheap Mg AMBIEN Er , http://www.box.net/shared/eccbgnog7u getting high off tramadol , http://www.box.net/shared/acn7y8ded4 identifing tramadol pills , http://www.box.net/shared/cqyu34izga tramadol hydrocodone chart dosage , -- dosage tramadol hydrocodone vs?
- 2 , http://www.box.net/shared/e4iv8mgeby buy tramadol online overnight delivery , http://www.veoh.com/forum/showthread.php/1178-Tramadol-side-effects-(October-2010) tramadol and its side effects , http://www.veoh.com/forum/showthread.php/1189-Buy-tramadol-(October-2010) buy tramadol online now , http://www.box.net/shared/66hiimo6bv Buy AMBIEN in California , http://www.box.net/shared/kb3lt2havi drug interactions tramadol and cymbalta , http://www.box.net/shared/m8f0kiq7us Cheap Rx LEVITRA , http://www.box.net/shared/ac8gi87114 tramadol saturday order request , http://www.box.net/shared/04m298c5bs tramadol cheap no prescription , http://www.box.net/shared/pdx37utzxi site about tramadol serpents , http://www.box.net/shared/1vat54mjuf XANAX Er No Rx Cod , -- tramadol online medication?
- 4 , http://www.box.net/shared/fez72sgmt9 What Are The Side Effects Of FIORICET , http://www.veoh.com/forum/showthread.php/1165-Cheap-tramadol-(October-2010) tramadol cheap cod , http://www.box.net/shared/055v2t0i9v cheap tramadol free delivery , http://www.box.net/shared/j8hc46365n tramadol versus pregnancy vicodin , http://www.box.net/shared/kqlcek3ndn Find Cheapest TRAMADOL Er To Order Online , http://www.box.net/shared/29dn835tva Buy VALIUM Er In Annapolis , http://www.box.net/shared/1thrs9b14b tramadol with order money , http://www.box.net/shared/52sixlzgcd Buying TRAMADOL Online No Membership Overnight Delivery , http://www.box.net/shared/v6jdz2n6v4 Buy SOMA Online By Cod , http://www.box.net/shared/77jdsceip5 Or Cheap XANAX Cod , -- Order TRAMADOL Er Without Rx?
- 3 , http://www.box.net/shared/biq4se2j36 Pharmacy SOMA No Prescrption , http://www.veoh.com/forum/showthread.php/1183-Tramadol-dosage-(October-2010) hcl tramadol dosage , http://www.box.net/shared/bsghcixf88 CIALIS Buy In Uk No Prescrs Needed , http://www.box.net/shared/osuiavetrc generic tramadol tablet , http://trig.com/kortneywilburn/biography buy tramadol cod online , http://trig.com/katheytressa/biography tramadol paracetamol dolcet side effects , http://trig.com/ingestacey/biography generic 25mg tramadol , http://www.box.net/shared/44irvnvrsa tramadol 60 tablets , http://www.veoh.com/forum/showthread.php/1192-Tramadol-cod-(October-2010) cod orders tramadol , http://trig.com/rhettmarcella/biography tramadol oxycodone , -- vicodin rash tramadol?
- 2 , http://www.box.net/shared/u1824aja1t Purchase TRAMADOL Without A Rx Overnight Delivery , http://www.box.net/shared/yxpgbhe198 CIALIS Dosage For Dogs , http://www.box.net/shared/p0alg9s5fj Cheap AMBIEN Overnight Delivery , http://www.veoh.com/forum/showthread.php/1195-Order-tramadol-(October-2010) order from tramadol mexico , http://www.box.net/shared/zt3akfzc9v ADDERALL Hcl 50 Mg Tab , http://www.veoh.com/forum/showthread.php/1185-Cheap-tramadol-(October-2010) cheap tramadol with overnight free shipping , http://www.box.net/shared/zuu1xxlcb7 ULTRAM Buy in Fra No Membership Fees No Prescription , http://www.box.net/shared/kkn3l7bjh8 Discounted VALIUM Online , http://trig.com/signejanessa/biography ordering tramadol on collect delivery , http://www.box.net/shared/ib75qv28ck Discount FIORICET Online With Overnight Delivery , -- cheap tramadol 180 for $75?
- 2 , http://www.box.net/shared/ypmege6s50 mix phenergan tramadol side effects , http://trig.com/elzadamian/biography no prescription tramadol hcl , http://www.box.net/shared/m3h1ud5y92 Buy Cheap XANAX Er Online Free Consult , http://www.box.net/shared/a0g09mi9ta tramadol hcl-acetaminophen side effects , http://www.box.net/shared/06ullqaxl0 Discount VIAGRA Prescription Drug , http://www.box.net/shared/z8bfx4nhuy Ingredients In VIAGRA , http://www.veoh.com/forum/showthread.php/1175-Tramadol-prescription-(October-2010) tramadol cheap fast no prescription , http://www.box.net/shared/6cev6jaf3t tramadol apap dental pain , http://www.box.net/shared/8lsga07ttf codeine allergy cross sensitivity tramadol , http://www.box.net/shared/ov5h9du2gb buy ct 180 tramadol , -- tramadol and canine and side effects?
- 3 , http://www.box.net/shared/ias3cn35l0 tramadol cheapest us price buy online , http://www.veoh.com/forum/showthread.php/1191-Tramadol-prescription-(October-2010) tramadol on line no prescription , http://www.box.net/shared/i2di459u1y Buy FIORICET Canada , http://www.box.net/shared/z3y4bqtxr8 SOMA Buy In Us No Physicisn Consult , http://www.box.net/shared/ioyjzm3vkp tramadol overdose symptoms , http://www.box.net/shared/ko3vqyhmid cost of tramadol , http://www.box.net/shared/t3ob7209fq CODEINE Wholesale , http://www.veoh.com/forum/showthread.php/1171-Buy-tramadol-(October-2010) buy tramadol fedex shipping overnight , http://www.box.net/shared/yfgijjjb36 LEVITRA Generic Cheapest , http://www.box.net/shared/hbh665ovas Buy Pill Or Capsules CIALIS , -- SOMA No Prior Script?
- 4 , http://www.box.net/shared/3tyt2rsrn7 Order XANAX in Kitchener , http://www.box.net/shared/os1b723opk tramadol 50mr hcl , http://www.box.net/shared/ooaesfkujg CODEINE Online Prescript Ion , http://www.box.net/shared/5lx4oigfuj XANAX Concluded Information , http://www.box.net/shared/8j0hvhu4ge AMBIEN Fed Ex Cheap , http://www.box.net/shared/xb4q3vbpr9 purchase tramadol online without prescription , http://www.box.net/shared/kcg9htfuh8 VIAGRA Buy In Va Without Prescription , http://www.box.net/shared/i77thrn7jy tramadol canada dosage cats , http://www.box.net/shared/k33ma8cvdy Order VIAGRA Generic , http://www.box.net/shared/71e1r5f15g Purchase SOMA in Ca , -- Buy VIAGRA Usa?
- 4 , http://www.box.net/shared/ms767ginby Purchase SOMA With No Rx , http://www.box.net/shared/54f5m77rnp AMBIEN Buy In Us Ohne Rezept , http://trig.com/alessandramona/biography normal dosage tramadol of , http://www.box.net/shared/gqe7jmespc Purchase VALIUM Er , -- SOMA Buy in Hk Healthcare Free Pills?
- 2 , http://www.veoh.com/forum/showthread.php/1176-Tramadol-cod-(October-2010) tramadol oxycodone , http://trig.com/jenifferarnetta/biography buy tramadol without online prescription , http://www.box.net/shared/cjp8hfn3be Buy ADDERALL Quick , http://www.veoh.com/forum/showthread.php/1197-Tramadol-generic-(October-2010) tramadol generic cost , http://www.box.net/shared/rnqmokpg69 dosage of tramadol hydrochloride , http://www.box.net/shared/ahakoaft1l tramadol side effects if snorted , http://www.veoh.com/forum/showthread.php/1187-Tramadol-online-(October-2010) tramadol twinkling online , http://trig.com/vaniashani/biography no prescription pharmacy online tramadol , http://www.box.net/shared/zihn635yns Buy Cheap TRAMADOL Online Without A Prescription , http://www.box.net/shared/kaq9mlp20t Buy Pill Or Capsules VIAGRA , -- tramadol without prescription overnight delivery?
- 4 , http://www.veoh.com/forum/showthread.php/1181-Tramadol-generic-(October-2010) tramadol generic became on , http://www.veoh.com/forum/showthread.php/1190-Tramadol-hcl-(October-2010) tramadol information hcl , http://www.box.net/shared/nfu3k9ozru ULTRAM Cheap Next Day , http://trig.com/marleenmariann/biography cheap tramadol cod fedex free , http://www.veoh.com/forum/showthread.php/1198-Tramadol-dosage-(October-2010) tramadol hydrochloride canine dosage , http://www.veoh.com/forum/showthread.php/1172-Tramadol-hcl-(October-2010) matrix tramadol hcl 50 mg , http://www.box.net/shared/yvhnkzo4x5 Or AMBIEN Online Ship To Puerto Rico , http://www.box.net/shared/eccbgnog7u get high tramadol , http://www.box.net/shared/acn7y8ded4 what does tramadol pills look like , http://www.box.net/shared/cqyu34izga dosage tramadol hydrocodone vs , -- list of generic companies tramadol sale?
- 2 , http://www.box.net/shared/e4iv8mgeby tramadol sobs online , http://www.veoh.com/forum/showthread.php/1178-Tramadol-side-effects-(October-2010) tramadol paracetamol dolcet side effects , http://www.veoh.com/forum/showthread.php/1189-Buy-tramadol-(October-2010) buy tramadol online , http://www.box.net/shared/66hiimo6bv Cheap AMBIEN Without A Prescription , http://www.box.net/shared/kb3lt2havi tramadol drug card , http://www.box.net/shared/m8f0kiq7us Purchase Generic LEVITRA Online No Prescription , http://www.box.net/shared/ac8gi87114 tramadol order overnight , http://www.box.net/shared/04m298c5bs order cheap generic tramadol online , http://www.box.net/shared/pdx37utzxi all about tramadol briskly , http://www.box.net/shared/1vat54mjuf XANAX Cod Next Day , -- tramadol money order?
- 2 , http://www.box.net/shared/fez72sgmt9 Order Discount FIORICET , http://www.veoh.com/forum/showthread.php/1165-Cheap-tramadol-(October-2010) tramadol cheap discount , http://www.box.net/shared/055v2t0i9v tramadol 100mg fedex delivery , http://www.box.net/shared/j8hc46365n hydrocodone pain tramadol , http://www.box.net/shared/kqlcek3ndn Buy TRAMADOL Canada , http://www.box.net/shared/29dn835tva VALIUM With No Prior Prescription , http://www.box.net/shared/1thrs9b14b reorder $85 tramadol , http://www.box.net/shared/52sixlzgcd Order Generic TRAMADOL Online , http://www.box.net/shared/v6jdz2n6v4 Where To Buy SOMA Online , http://www.box.net/shared/77jdsceip5 Buy 500 XANAX , -- XANAX Buy in Uk All Us Regions Overnight Delivery?
- 2 , http://www.box.net/shared/biq4se2j36 Cheap SOMA , http://www.veoh.com/forum/showthread.php/1183-Tramadol-dosage-(October-2010) tramadol hydrochloride for dogs dosage , http://www.box.net/shared/bsghcixf88 How To Get A CIALIS Prescription , http://www.box.net/shared/osuiavetrc list of generic companies tramadol sale , http://trig.com/kortneywilburn/biography tramadol cod online pharmacy , http://trig.com/katheytressa/biography tramadol side effects liver of , http://trig.com/ingestacey/biography tramadol generic , http://www.box.net/shared/44irvnvrsa tramadol 50mg tablets , http://www.veoh.com/forum/showthread.php/1192-Tramadol-cod-(October-2010) codeine ultram tramadol overnight delivery , http://trig.com/rhettmarcella/biography tramadol cod no prior script , -- No Prescription SOMA Overnight?
- 2 , http://www.box.net/shared/u1824aja1t TRAMADOL Buy in Bi Without Priscription , http://www.box.net/shared/yxpgbhe198 CIALIS Buy in Ma Libera Prescrizione Di Droga , http://www.box.net/shared/p0alg9s5fj AMBIEN Buy In Th Low Price Without Prescription , http://www.veoh.com/forum/showthread.php/1195-Order-tramadol-(October-2010) tramadol order cod , http://www.box.net/shared/zt3akfzc9v Generic ADDERALL No Prescription , http://www.veoh.com/forum/showthread.php/1185-Cheap-tramadol-(October-2010) pharmacy tech career cheap tramadol , http://www.box.net/shared/zuu1xxlcb7 Overnight ULTRAM Without A Rx , http://www.box.net/shared/kkn3l7bjh8 C O D Shipping For VALIUM , http://trig.com/signejanessa/biography overseas order online tramadol , http://www.box.net/shared/ib75qv28ck Where To Purchase Generic FIORICET Online Without A Prescription , -- tramadol 180 cheap ct 89.00?
- 4 , http://www.box.net/shared/ypmege6s50 dog tramadol side effects , http://trig.com/elzadamian/biography tramadol hcl site , http://www.box.net/shared/m3h1ud5y92 Ordering XANAX With Overnight Delivery , http://www.box.net/shared/a0g09mi9ta tramadol dog side effects , http://www.box.net/shared/06ullqaxl0 Buy Cheap Mg VIAGRA Er , http://www.box.net/shared/z8bfx4nhuy Buy VIAGRA Er Online Purchase , http://www.veoh.com/forum/showthread.php/1175-Tramadol-prescription-(October-2010) instructions prescriptions tramadol , http://www.box.net/shared/6cev6jaf3t tramadol for sciatic pain , http://www.box.net/shared/8lsga07ttf tramadol cod overnight order , http://www.box.net/shared/ov5h9du2gb cod buy tramadol , -- How To Buy VIAGRA Er Online Without Prescription?
- 3 , http://www.box.net/shared/ias3cn35l0 lowest prices on tramadol , http://www.veoh.com/forum/showthread.php/1191-Tramadol-prescription-(October-2010) tramadol no prescription law dea , http://www.box.net/shared/i2di459u1y Where To Buy Discount FIORICET No Rx Cheap , http://www.box.net/shared/z3y4bqtxr8 SOMA Buy In Sk C O D Without Prescription , http://www.box.net/shared/ioyjzm3vkp tramadol symtoms of overdose , http://www.box.net/shared/ko3vqyhmid lowest cost for veterinarian tramadol , http://www.box.net/shared/t3ob7209fq CODEINE Buy in Usa No Prior Prescription , http://www.veoh.com/forum/showthread.php/1171-Buy-tramadol-(October-2010) buy tramadol 180 cod , http://www.box.net/shared/yfgijjjb36 LEVITRA No Prescription No Fees Overnight , http://www.box.net/shared/hbh665ovas CIALIS Symptoms , -- tramadol er cost?
- 4 , http://www.box.net/shared/g9fpy26mlr prescription tramadol , http://www.veoh.com/forum/showthread.php/1169-Tramadol-online-(October-2010) tramadol online shipping fedex $117.00 , http://www.box.net/shared/ydfoaafn8i buy tramadol 180 tabs free shipping , http://www.veoh.com/forum/showthread.php/1193-Tramadol-side-effects-(October-2010) tramadol and its side effects , http://www.veoh.com/forum/showthread.php/1179-Order-tramadol-(October-2010) order tramadol discount , http://www.box.net/shared/axe3oktbc3 Order TRAMADOL Online in Virginia , http://www.box.net/shared/9ola22l010 tramadol online consultation ship to fl , http://www.box.net/shared/54iifxugl0 cheap tramadol cod saturday delivery , http://www.box.net/shared/no3g2msqcj Purchase FIORICET No Visa Online Without Prescription , http://www.box.net/shared/9at2cz6sd9 Order Discount FIORICET , -- TRAMADOL Er Without A Prescription To Order?
- 4 , http://www.box.net/shared/3tyt2rsrn7 Buy XANAX Online No Perscription , http://www.box.net/shared/os1b723opk veterinary hcl tramadol , http://www.box.net/shared/ooaesfkujg Buy CODEINE Online No Prescription At Idaho , http://www.box.net/shared/5lx4oigfuj XANAX For Sale Online , http://www.box.net/shared/8j0hvhu4ge Generic AMBIEN Cheap No Prescription , http://www.box.net/shared/xb4q3vbpr9 pet med tramadol no prescription , http://www.box.net/shared/kcg9htfuh8 Buy Cheapest VIAGRA Price Online Without Prescription , http://www.box.net/shared/i77thrn7jy is tramadol available in canada , http://www.box.net/shared/k33ma8cvdy VIAGRA Buy in Ger For Sale No Script , http://www.box.net/shared/71e1r5f15g SOMA Buy in Aus Fri For Receptpligtig Medicin , -- Buy XANAX In California?
- 2 , http://www.box.net/shared/ms767ginby Online Order Generic Cheap SOMA No Prescription , http://www.box.net/shared/54f5m77rnp Order AMBIEN Without Prescription Pay Cod , http://trig.com/alessandramona/biography tramadol hydrochloride for dogs dosage , http://www.box.net/shared/gqe7jmespc Buy Cheap VALIUM Prescriptions Online , -- VALIUM Buy In Bi Without Prescription?
- 2 , http://www.veoh.com/forum/showthread.php/1176-Tramadol-cod-(October-2010) tramadol is not codiene , http://trig.com/jenifferarnetta/biography buy tramadol online now , http://www.box.net/shared/cjp8hfn3be Canadian ADDERALL Without Prescription in Or , http://www.veoh.com/forum/showthread.php/1197-Tramadol-generic-(October-2010) tramadol generic tablet , http://www.box.net/shared/rnqmokpg69 normal dosage of tramadol , http://www.box.net/shared/ahakoaft1l effects of tramadol on dogs , http://www.veoh.com/forum/showthread.php/1187-Tramadol-online-(October-2010) tramadol online no prior next day , http://trig.com/vaniashani/biography no prescription next day tramadol , http://www.box.net/shared/zihn635yns TRAMADOL Buy In Ger Cash On Delivery , http://www.box.net/shared/kaq9mlp20t VIAGRA Fed Ex Cheap , -- Order ADDERALL in Fort Worth
- 4 , http://www.veoh.com/forum/showthread.php/1181-Tramadol-generic-(October-2010) what is generic tramadol for , http://www.veoh.com/forum/showthread.php/1190-Tramadol-hcl-(October-2010) tramadol 50mr hcl , http://www.box.net/shared/nfu3k9ozru ULTRAM Cash On Delivery , http://trig.com/marleenmariann/biography cheapest tramadol available 80 online off , http://www.veoh.com/forum/showthread.php/1198-Tramadol-dosage-(October-2010) tramadol dosage hcl , http://www.veoh.com/forum/showthread.php/1172-Tramadol-hcl-(October-2010) snorting tramadol hcl , http://www.box.net/shared/yvhnkzo4x5 Buy AMBIEN 180 Tabs , http://www.box.net/shared/eccbgnog7u do tramadol get u high , http://www.box.net/shared/acn7y8ded4 100 tramadol pill , http://www.box.net/shared/cqyu34izga tramadol dosage pictures , -- tramadol dosage in humans?
- 3 , http://www.box.net/shared/e4iv8mgeby is tramadol illegal online , http://www.veoh.com/forum/showthread.php/1178-Tramadol-side-effects-(October-2010) side effects of tramadol hydrochloride , http://www.veoh.com/forum/showthread.php/1189-Buy-tramadol-(October-2010) buy cheap tramadol o , http://www.box.net/shared/66hiimo6bv AMBIEN No Prescriptions Needed Cod , http://www.box.net/shared/kb3lt2havi tramadol federal drug administration , http://www.box.net/shared/m8f0kiq7us LEVITRA Overnight No Prescription No Rx , http://www.box.net/shared/ac8gi87114 tramadol online order , http://www.box.net/shared/04m298c5bs tramadol cheap free overnight no rx , http://www.box.net/shared/pdx37utzxi all about tramadol briskly , http://www.box.net/shared/1vat54mjuf Buy Discount Free Prescription XANAX , -- blood drug test tramadol?
- 2 , http://www.box.net/shared/fez72sgmt9 Order FIORICET Cod Fedex , http://www.veoh.com/forum/showthread.php/1165-Cheap-tramadol-(October-2010) cheap tramadol fedex , http://www.box.net/shared/055v2t0i9v tramadol overnight delivery online prescription , http://www.box.net/shared/j8hc46365n tramadol ultram codeine fedex overnight delivery , http://www.box.net/shared/kqlcek3ndn Buy TRAMADOL No Visa , http://www.box.net/shared/29dn835tva Buy VALIUM Profile , http://www.box.net/shared/1thrs9b14b cod tramadol order , http://www.box.net/shared/52sixlzgcd TRAMADOL Is Used To Treat , http://www.box.net/shared/v6jdz2n6v4 Order SOMA Over The Counter Onlin , http://www.box.net/shared/77jdsceip5 XANAX Effectiveness , -- Buy SOMA 250 Mg?
- 2 , http://www.box.net/shared/biq4se2j36 Overnight Delivery Of SOMA Er With No Prescription , http://www.veoh.com/forum/showthread.php/1183-Tramadol-dosage-(October-2010) usual dosage tramadol , http://www.box.net/shared/bsghcixf88 Buy Cheap Generic CIALIS Online Without Prescription , http://www.box.net/shared/osuiavetrc tramadol generic cost , http://trig.com/kortneywilburn/biography order tramadol online cod , http://trig.com/katheytressa/biography side effects from tramadol 50mg tab , http://trig.com/ingestacey/biography generic tramadol or ultram , http://www.box.net/shared/44irvnvrsa tramadol hcl acetaminaphen tablets , http://www.veoh.com/forum/showthread.php/1192-Tramadol-cod-(October-2010) tramadol comparison hydrocodone dosage , http://trig.com/rhettmarcella/biography cod order tramadol , -- tramadol no rx cod overnight?
- 3 , http://www.box.net/shared/u1824aja1t TRAMADOL Buy in Fra Without Prescription , http://www.box.net/shared/yxpgbhe198 Or CIALIS Without Prescription in San Antonio , http://www.box.net/shared/p0alg9s5fj No Prescription AMBIEN Overnight , http://www.veoh.com/forum/showthread.php/1195-Order-tramadol-(October-2010) tramadol money with order , http://www.box.net/shared/zt3akfzc9v Purchase ADDERALL in England , http://www.veoh.com/forum/showthread.php/1185-Cheap-tramadol-(October-2010) buy tramadol at price cheap online , http://www.box.net/shared/zuu1xxlcb7 Purchase Discount ULTRAM No Rx , http://www.box.net/shared/kkn3l7bjh8 C O D Shipping For VALIUM , http://trig.com/signejanessa/biography order tramadol cheap , http://www.box.net/shared/ib75qv28ck Purchase FIORICET in Illinois , -- Low Price FIORICET?
- 2 , http://www.box.net/shared/ypmege6s50 side effects of suddenly tramadol stopping , http://trig.com/elzadamian/biography tramadol hcl diabetic for dogs , http://www.box.net/shared/m3h1ud5y92 Purchase XANAX In Gb , http://www.box.net/shared/a0g09mi9ta tramadol vet side effects , http://www.box.net/shared/06ullqaxl0 Buy VIAGRA Overnight Shipping , http://www.box.net/shared/z8bfx4nhuy Purchase VIAGRA Overnight Cod , http://www.veoh.com/forum/showthread.php/1175-Tramadol-prescription-(October-2010) cheap tramadol no prescription 180ct , http://www.box.net/shared/6cev6jaf3t is tramadol a good pain medicine , http://www.box.net/shared/8lsga07ttf taking tramadol with vicoden , http://www.box.net/shared/ov5h9du2gb tramadol cheapest us buy price online , -- pain tramadol?
- 4 , http://www.box.net/shared/ias3cn35l0 best prices for tramadol online , http://www.veoh.com/forum/showthread.php/1191-Tramadol-prescription-(October-2010) tramadol 90ct prescription no , http://www.box.net/shared/i2di459u1y Buy FIORICET No Prior Script Overnight , http://www.box.net/shared/z3y4bqtxr8 SOMA Buy In Uk High Quality Without Prescription , http://www.box.net/shared/ioyjzm3vkp how to overdose on tramadol , http://www.box.net/shared/ko3vqyhmid tramadol er cost , http://www.box.net/shared/t3ob7209fq Purchase CODEINE Er Cod Overnight Delivery , http://www.veoh.com/forum/showthread.php/1171-Buy-tramadol-(October-2010) buy tramadol 180 tabs free shipping , http://www.box.net/shared/yfgijjjb36 By Buy LEVITRA Online , http://www.box.net/shared/hbh665ovas Canada CIALIS No Prescription , -- low cost tramadol?
- 4 , http://www.box.net/shared/g9fpy26mlr no prescription cheapest tramadol , http://www.veoh.com/forum/showthread.php/1169-Tramadol-online-(October-2010) tramadol buy online , http://www.box.net/shared/ydfoaafn8i codeine tramadol safe together buy , http://www.veoh.com/forum/showthread.php/1193-Tramadol-side-effects-(October-2010) side effects of tramadol canine on , http://www.veoh.com/forum/showthread.php/1179-Order-tramadol-(October-2010) order overnight tramadol , http://www.box.net/shared/axe3oktbc3 Where To Order Cheap TRAMADOL No Rx , http://www.box.net/shared/9ola22l010 tramadol online c o d , http://www.box.net/shared/54iifxugl0 tramadol cheap free overnight no rx , http://www.box.net/shared/no3g2msqcj Order FIORICET Without Rx To Ship Overnight , http://www.box.net/shared/9at2cz6sd9 FIORICET For Cash Or Money Order , -- side effects of tramadol ultram?
- 3 , http://www.box.net/shared/3tyt2rsrn7 XANAX Buy in Ger No Prescription Required , http://www.box.net/shared/os1b723opk tramadol opiate hcl , http://www.box.net/shared/ooaesfkujg Buy CODEINE Cod Accepted , http://www.box.net/shared/5lx4oigfuj XANAX Overnight No Prescription , http://www.box.net/shared/8j0hvhu4ge Purchasing AMBIEN Over The Counter For Sale , http://www.box.net/shared/xb4q3vbpr9 purchase tramadol without a prescription , http://www.box.net/shared/kcg9htfuh8 Buy No Prior Perscription VIAGRA , http://www.box.net/shared/i77thrn7jy canada pharmacy tramadol no prescription , http://www.box.net/shared/k33ma8cvdy VIAGRA Buy in Uk C o d No Prescription , http://www.box.net/shared/71e1r5f15g Insurance Online Buy SOMA , -- Buy Cheap AMBIEN 120 Cod?
- 3 , http://www.box.net/shared/ms767ginby SOMA Cost Best Price SOMA , http://www.box.net/shared/54f5m77rnp Purchase AMBIEN No Perscription Cod , http://trig.com/alessandramona/biography dosages of tramadol , http://www.box.net/shared/gqe7jmespc Buy VALIUM Online Without Prescription At Idaho Lemhi , -- tramadol dosage for 130 dog pound?
- 2 , http://www.veoh.com/forum/showthread.php/1176-Tramadol-cod-(October-2010) tramadol cod delivery sat , http://trig.com/jenifferarnetta/biography buy tramadol for dogs , http://www.box.net/shared/cjp8hfn3be Or ADDERALL 100 Mg Overnight , http://www.veoh.com/forum/showthread.php/1197-Tramadol-generic-(October-2010) tramadol generic 50mg tablet , http://www.box.net/shared/rnqmokpg69 tramadol dog dosage mg , http://www.box.net/shared/ahakoaft1l tramadol side effects of liver , http://www.veoh.com/forum/showthread.php/1187-Tramadol-online-(October-2010) tramadol online next day , http://trig.com/vaniashani/biography tramadol prescription no fed-ex , http://www.box.net/shared/zihn635yns Buy TRAMADOL With Discount , http://www.box.net/shared/kaq9mlp20t VIAGRA With Next Day Delivery , -- tramadol online o c d?
- 4 , http://www.veoh.com/forum/showthread.php/1181-Tramadol-generic-(October-2010) jolliette generic tramadol , http://www.veoh.com/forum/showthread.php/1190-Tramadol-hcl-(October-2010) tramadol hcl 50 tab mg usage , http://www.box.net/shared/nfu3k9ozru Buy Cheap ULTRAM Online Uk , http://trig.com/marleenmariann/biography cheap very tramadol , http://www.veoh.com/forum/showthread.php/1198-Tramadol-dosage-(October-2010) dosage tramadol , http://www.veoh.com/forum/showthread.php/1172-Tramadol-hcl-(October-2010) tramadol hcl drug food administration and , http://www.box.net/shared/yvhnkzo4x5 AMBIEN Buy in Aus Without A Prescription Or Membership , http://www.box.net/shared/eccbgnog7u tramadol and zoloft together , http://www.box.net/shared/acn7y8ded4 cold water pill extraction tramadol , http://www.box.net/shared/cqyu34izga tramadol dogs information dosage , -- what is in tramadol 50mg hcl?
- 3 , http://www.box.net/shared/e4iv8mgeby is online tramadol illegal , http://www.veoh.com/forum/showthread.php/1178-Tramadol-side-effects-(October-2010) side effects of suddenly tramadol stopping , http://www.veoh.com/forum/showthread.php/1189-Buy-tramadol-(October-2010) buy capsules tramadol , http://www.box.net/shared/66hiimo6bv AMBIEN Cash Delivery , http://www.box.net/shared/kb3lt2havi tramadol 50 drug information , http://www.box.net/shared/m8f0kiq7us Order LEVITRA No Prescription Overnight , http://www.box.net/shared/ac8gi87114 tramadol order online , http://www.box.net/shared/04m298c5bs buy tramadol medication cheap 35009 , http://www.box.net/shared/pdx37utzxi all about tramadol feather , http://www.box.net/shared/1vat54mjuf Where Can I Order XANAX No Prescription , -- from tramadol dreampharm buy?
- 4 , http://www.box.net/shared/fez72sgmt9 FIORICET Buy In Italy All Us Regions Overnight Delivery , http://www.veoh.com/forum/showthread.php/1165-Cheap-tramadol-(October-2010) cheap prescriptions tramadol online , http://www.box.net/shared/055v2t0i9v cheapest tramadol next day delivery , http://www.box.net/shared/j8hc46365n tramadol versus pregnancy vicodin , http://www.box.net/shared/kqlcek3ndn Buy TRAMADOL Next Day Cod , http://www.box.net/shared/29dn835tva VALIUM With No Prior Prescription , http://www.box.net/shared/1thrs9b14b tramadol by order 4pm , http://www.box.net/shared/52sixlzgcd TRAMADOL Capsules , http://www.box.net/shared/v6jdz2n6v4 SOMA Drug , http://www.box.net/shared/77jdsceip5 No Prescription XANAX Cash On Delivery , -- order tramadols?
- 4 , http://www.box.net/shared/biq4se2j36 Buy SOMA Er C O D , http://www.veoh.com/forum/showthread.php/1183-Tramadol-dosage-(October-2010) tramadol fatal dosage , http://www.box.net/shared/bsghcixf88 Real Buy CIALIS Online , http://www.box.net/shared/osuiavetrc what is generic tramadol for , http://trig.com/kortneywilburn/biography online tramadol prescription , http://trig.com/katheytressa/biography tramadol 50mg side effects , http://trig.com/ingestacey/biography overseas generic tramadol , http://www.box.net/shared/44irvnvrsa 120 cod tablet tramadol , http://www.veoh.com/forum/showthread.php/1192-Tramadol-cod-(October-2010) tramadol buy cod , http://trig.com/rhettmarcella/biography tramadol cod cash on delivery , -- side effects tramadol of?
- 3 , http://www.box.net/shared/u1824aja1t Buying TRAMADOL Overnight , http://www.box.net/shared/yxpgbhe198 Find Cheap Buy Online CIALIS , http://www.box.net/shared/p0alg9s5fj Cheap AMBIEN Prescriptions Online , http://www.veoh.com/forum/showthread.php/1195-Order-tramadol-(October-2010) order cheap generic tramadol online , http://www.box.net/shared/zt3akfzc9v ADDERALL Sverige With Cash On Delivery , http://www.veoh.com/forum/showthread.php/1185-Cheap-tramadol-(October-2010) buy cheap tramadol omw , http://www.box.net/shared/zuu1xxlcb7 ULTRAM No Doctors Prescription , http://www.box.net/shared/kkn3l7bjh8 Purchase Rx VALIUM , http://trig.com/signejanessa/biography buy tramadol by order 3pm , http://www.box.net/shared/ib75qv28ck Where Can I Purchase FIORICET Without A Prescription , -- How Much CIALIS To Kill?
- 3 , http://www.box.net/shared/ypmege6s50 side effects of tramadol hydrochloride , http://trig.com/elzadamian/biography picture of tramadol 50mg hcl , http://www.box.net/shared/m3h1ud5y92 Purchase XANAX On Line Without A Rx , http://www.box.net/shared/a0g09mi9ta tramadol side effects and maximum dose , http://www.box.net/shared/06ullqaxl0 VIAGRA No Prescription Overnight Delivery , http://www.box.net/shared/z8bfx4nhuy Fe Dex VIAGRA Without Priscription , http://www.veoh.com/forum/showthread.php/1175-Tramadol-prescription-(October-2010) cheap tramadol prescription no , http://www.box.net/shared/6cev6jaf3t tramadol pain control , http://www.box.net/shared/8lsga07ttf fedex overnight delivery codeine ultram tramadol , http://www.box.net/shared/ov5h9du2gb using paypal to tramadol buy , -- what is tramadol hcl mg 50?
- 2 , http://www.box.net/shared/ias3cn35l0 cheap priced tramadol , http://www.veoh.com/forum/showthread.php/1191-Tramadol-prescription-(October-2010) prescriptions tramadol instructions , http://www.box.net/shared/i2di459u1y FIORICET 400mg Tablets , http://www.box.net/shared/z3y4bqtxr8 SOMA Overnight , http://www.box.net/shared/ioyjzm3vkp doses of tramadol , http://www.box.net/shared/ko3vqyhmid cost of tramadol , http://www.box.net/shared/t3ob7209fq Order Rx CODEINE Without , http://www.veoh.com/forum/showthread.php/1171-Buy-tramadol-(October-2010) buy prescription without tramadol , http://www.box.net/shared/yfgijjjb36 Cheap LEVITRA Watson , http://www.box.net/shared/hbh665ovas CIALIS Purchase On Line No Prescription Fast Delivery , -- tramadol cost?
- 3 , http://www.box.net/shared/g9fpy26mlr tramadol on line no prescription , http://www.veoh.com/forum/showthread.php/1169-Tramadol-online-(October-2010) buy tramadol online medical no records , http://www.box.net/shared/ydfoaafn8i cheap tramadol buy online , http://www.veoh.com/forum/showthread.php/1193-Tramadol-side-effects-(October-2010) tramadol side effects on animals , http://www.veoh.com/forum/showthread.php/1179-Order-tramadol-(October-2010) tramadol bipolar and disorder , http://www.box.net/shared/axe3oktbc3 Purchase TRAMADOL Online No Membership , http://www.box.net/shared/9ola22l010 buy online no tramadol prescription , http://www.box.net/shared/54iifxugl0 buy cheap tramadol o , http://www.box.net/shared/no3g2msqcj FIORICET 500 Mg Tablet , http://www.box.net/shared/9at2cz6sd9 FIORICET Buy In Ma Libera Prescrizione Di Droga , -- Order FIORICET Rx?
- 2 , http://www.box.net/shared/3tyt2rsrn7 Order XANAX Online in Minnesota , http://www.box.net/shared/os1b723opk tramadol ic hcl-acetaminophen , http://www.box.net/shared/ooaesfkujg CODEINE Withdrawal Symptoms , http://www.box.net/shared/5lx4oigfuj XANAX 500 Mg Side Effects , http://www.box.net/shared/8j0hvhu4ge Or AMBIEN No Rx Needed Cod Accepted , http://www.box.net/shared/xb4q3vbpr9 cheap tramadol no prescription 180ct , http://www.box.net/shared/kcg9htfuh8 VIAGRA Prescription Coupon , http://www.box.net/shared/i77thrn7jy canada pharmacy tramadol , http://www.box.net/shared/k33ma8cvdy Us VIAGRA Cod Sales , http://www.box.net/shared/71e1r5f15g Where To Purchase Generic SOMA Online Without A Rx , -- VIAGRA Doctor Consult?
- 4 , http://www.box.net/shared/ms767ginby SOMA Without Usa Cheap , http://www.box.net/shared/54f5m77rnp Purchase AMBIEN Er Free Consultation , http://trig.com/alessandramona/biography veterinary dosage tramadol for , http://www.box.net/shared/gqe7jmespc Buy VALIUM And Pay By Cod , -- Order Online SOMA Rxs?
- 4 , http://www.veoh.com/forum/showthread.php/1176-Tramadol-cod-(October-2010) switching from vicodin to tramadol , http://trig.com/jenifferarnetta/biography buy tramadol online o c d , http://www.box.net/shared/cjp8hfn3be Buy Generic ADDERALL in Uk Online Without A Prescription , http://www.veoh.com/forum/showthread.php/1197-Tramadol-generic-(October-2010) generic versions of tramadol , http://www.box.net/shared/rnqmokpg69 dog dosage tramadol , http://www.box.net/shared/ahakoaft1l side effects tramadol dog , http://www.veoh.com/forum/showthread.php/1187-Tramadol-online-(October-2010) tramadol medication online , http://trig.com/vaniashani/biography tramadol withot a prescription , http://www.box.net/shared/zihn635yns Purchasing TRAMADOL Overnight Delivery , http://www.box.net/shared/kaq9mlp20t VIAGRA Without Rx Cod , -- Discount ADDERALL Now?
- 2 , http://www.veoh.com/forum/showthread.php/1181-Tramadol-generic-(October-2010) for generic tramadol , http://www.veoh.com/forum/showthread.php/1190-Tramadol-hcl-(October-2010) what tramadol is hcl , http://www.box.net/shared/nfu3k9ozru Buy ULTRAM By C O D , http://trig.com/marleenmariann/biography tramadol online cheap , http://www.veoh.com/forum/showthread.php/1198-Tramadol-dosage-(October-2010) tramadol hcl dosage , http://www.veoh.com/forum/showthread.php/1172-Tramadol-hcl-(October-2010) tramadol hcl , http://www.box.net/shared/yvhnkzo4x5 Buy AMBIEN in California , http://www.box.net/shared/eccbgnog7u tramadol vicodin taken together , http://www.box.net/shared/acn7y8ded4 tramadol pain pill , http://www.box.net/shared/cqyu34izga tramadol canine dosages , -- Order AMBIEN Cod Shipping?
- 3 , http://www.box.net/shared/e4iv8mgeby tramadol online prescriptions free viagra , http://www.veoh.com/forum/showthread.php/1178-Tramadol-side-effects-(October-2010) tramadol side effects paranoia , http://www.veoh.com/forum/showthread.php/1189-Buy-tramadol-(October-2010) tramadol pay buy cod , http://www.box.net/shared/66hiimo6bv Purchase Generic AMBIEN , http://www.box.net/shared/kb3lt2havi urine drug detection times for tramadol , http://www.box.net/shared/m8f0kiq7us Buy LEVITRA Online Buy LEVITRA , http://www.box.net/shared/ac8gi87114 tramadol order pharmacy , http://www.box.net/shared/04m298c5bs cheap rss tramadol feed , http://www.box.net/shared/pdx37utzxi all about tramadol easterly , http://www.box.net/shared/1vat54mjuf Buy XANAX in Uk At Arizona , -- tramadol dogs side effects?
- 4 , http://www.box.net/shared/fez72sgmt9 Order FIORICET Com , http://www.veoh.com/forum/showthread.php/1165-Cheap-tramadol-(October-2010) cheap day next tramadol , http://www.box.net/shared/055v2t0i9v buy tramadol online pharmacy saturday delivery , http://www.box.net/shared/j8hc46365n how many tramadol equals one vicodin , http://www.box.net/shared/kqlcek3ndn Prescript Ion TRAMADOL Cod , http://www.box.net/shared/29dn835tva How To Purchase VALIUM Online , http://www.box.net/shared/1thrs9b14b order tramadol from mexico , http://www.box.net/shared/52sixlzgcd Buy TRAMADOL Xl , http://www.box.net/shared/v6jdz2n6v4 Order SOMA With No Rx , http://www.box.net/shared/77jdsceip5 XANAX Tablets 200 Mcg , -- TRAMADOL With No Perscription And Delivered Over Night?
- 3 , http://www.box.net/shared/biq4se2j36 SOMA Buy In Usa C O D No Prescription , http://www.veoh.com/forum/showthread.php/1183-Tramadol-dosage-(October-2010) tramadol canine dosage , http://www.box.net/shared/bsghcixf88 Purchase CIALIS In New Jersey , http://www.box.net/shared/osuiavetrc tramadol generic 25mg , http://trig.com/kortneywilburn/biography tramadol online no prior , http://trig.com/katheytressa/biography side effects palpitations tramadol , http://trig.com/ingestacey/biography generic ultram tramadol , http://www.box.net/shared/44irvnvrsa tramadol time release tablets , http://www.veoh.com/forum/showthread.php/1192-Tramadol-cod-(October-2010) tramadol cod fedex , http://trig.com/rhettmarcella/biography tramadol cod order , -- tramadol online to florida mastercard with?
- 4 , http://www.box.net/shared/u1824aja1t Ordering TRAMADOL Er Online Without Prescription , http://www.box.net/shared/yxpgbhe198 Order CIALIS in Ny , http://www.box.net/shared/p0alg9s5fj AMBIEN Buy In Ger Online No Prescription Fast Delivery , http://www.veoh.com/forum/showthread.php/1195-Order-tramadol-(October-2010) order mg 100 tramadol , http://www.box.net/shared/zt3akfzc9v Purchase ADDERALL Tablets Without Rx , http://www.veoh.com/forum/showthread.php/1185-Cheap-tramadol-(October-2010) tramadol discount cheap , http://www.box.net/shared/zuu1xxlcb7 Purchase ULTRAM Pay Pal Online Without Rx , http://www.box.net/shared/kkn3l7bjh8 How To Order VALIUM Online Without A Rx , http://trig.com/signejanessa/biography is ordering tramadol online illigal , http://www.box.net/shared/ib75qv28ck Purchase FIORICET Online Without Prescription , -- ADDERALL No Prescription Needed Free Pills?
- 3 , http://www.box.net/shared/ypmege6s50 side effects medication tramadol , http://trig.com/elzadamian/biography tramadol hcl acetaminophen car , http://www.box.net/shared/m3h1ud5y92 XANAX Overnight Delivery Saturday , http://www.box.net/shared/a0g09mi9ta tramadol side effects in humans , http://www.box.net/shared/06ullqaxl0 VIAGRA Buy in Fra No Prescription Required , http://www.box.net/shared/z8bfx4nhuy Buy VIAGRA Us Online , http://www.veoh.com/forum/showthread.php/1175-Tramadol-prescription-(October-2010) discount tramadol no prescription , http://www.box.net/shared/6cev6jaf3t tramadol and aspirin for lyme pain , http://www.box.net/shared/8lsga07ttf tramadol cod no prescription , http://www.box.net/shared/ov5h9du2gb buy prescription without tramadol , -- buy cheap tramadol on?
- 4 , http://www.box.net/shared/ias3cn35l0 best price for tramadol , http://www.veoh.com/forum/showthread.php/1191-Tramadol-prescription-(October-2010) order without tramadol prescription , http://www.box.net/shared/i2di459u1y FIORICET Without A Prescription Or Doctor , http://www.box.net/shared/z3y4bqtxr8 Purchase SOMA Pay Pal Without Prescription , http://www.box.net/shared/ioyjzm3vkp tramadol dose in canines , http://www.box.net/shared/ko3vqyhmid average cost of tramadol , http://www.box.net/shared/t3ob7209fq Order CODEINE in Louisiana , http://www.veoh.com/forum/showthread.php/1171-Buy-tramadol-(October-2010) buy online no tramadol prescription , http://www.box.net/shared/yfgijjjb36 LEVITRA 180 Tablets , http://www.box.net/shared/hbh665ovas Side Effect CIALIS , -- Buy LEVITRA Over The Counter Cod Overnight?
- 4 , http://www.box.net/shared/g9fpy26mlr cheap tramadol saturday no delivery prescription , http://www.veoh.com/forum/showthread.php/1169-Tramadol-online-(October-2010) tramadol online o c d , http://www.box.net/shared/ydfoaafn8i buy tramadol 800 , http://www.veoh.com/forum/showthread.php/1193-Tramadol-side-effects-(October-2010) side effects tramadol from , http://www.veoh.com/forum/showthread.php/1179-Order-tramadol-(October-2010) ordering tramadol canada to , http://www.box.net/shared/axe3oktbc3 TRAMADOL Habit Forming , http://www.box.net/shared/9ola22l010 buy tramadol online , http://www.box.net/shared/54iifxugl0 cheap tramadol rss feed , http://www.box.net/shared/no3g2msqcj FIORICET Cod Saturday , http://www.box.net/shared/9at2cz6sd9 FIORICET Online With Overnight Delivery , -- Buy FIORICET Online in Oregon?
- 2 , http://www.box.net/shared/3tyt2rsrn7 Buy XANAX in The Uk , http://www.box.net/shared/os1b723opk tramadol hcl 50mg tab cara , http://www.box.net/shared/ooaesfkujg Order CODEINE Rx , http://www.box.net/shared/5lx4oigfuj XANAX And No Prescription , http://www.box.net/shared/8j0hvhu4ge AMBIEN Effectiveness , http://www.box.net/shared/xb4q3vbpr9 mainstreet tramadol no prescription , http://www.box.net/shared/kcg9htfuh8 Purchase Online VIAGRA Sale VIAGRA Cinisello Balsamo With No Prescription , http://www.box.net/shared/i77thrn7jy tramadol fast from canada fast shipping , http://www.box.net/shared/k33ma8cvdy VIAGRA Without Perscription , http://www.box.net/shared/71e1r5f15g SOMA Buy in Uk Without Prescrs free Pills , -- How To Buy XANAX Er Online Without Prescription?
- 2 , http://community.fox8.com/service/displayKickPlace.kickAction?u=27629268&as=92757 Hd Quality Get Him to the Greek Watch , http://community.fox8.com/service/displayKickPlace.kickAction?u=27629360&as=92757 Quotes From The Movie The Town , http://community.fox8.com/service/displayDiscussionThreads.kickAction?as=92757&w=221030&d=597814 Free Download Vampires Suck , http://community.fox8.com/service/displayDiscussionThreads.kickAction?as=92757&w=221030&d=597754 Watch Eclipse Movie Hd , http://www.formspring.me/wallstreetmoney Downloads Wall Street: Money Never Sleeps , http://community.fox8.com/service/displayKickPlace.kickAction?u=27629221&as=92757 How To Download The A-Team Movie , http://community.fox8.com/service/displayDiscussionThreads.kickAction?as=92757&w=221030&d=597795 Alice in Wonderland Movie Blog , http://community.fox8.com/service/displayKickPlace.kickAction?u=27629419&as=92757 Illegal Killers Film Download , http://www.formspring.me/1residentevil Watch Resident Evil: Afterlife Full Movie Good Quality , http://community.fox8.com/service/displayKickPlace.kickAction?u=27629322&as=92757 Avatar Direct Download , -- Vampires Suck Movie Yahoo?
- 2 , http://community.fox8.com/service/displayDiscussionThreads.kickAction?as=92757&w=221030&d=597737 The Whole Film Of Robin Hood , http://community.fox8.com/service/displayDiscussionThreads.kickAction?as=92757&w=221030&d=597818 Download Repo Men Movie Now , http://community.fox8.com/service/displayKickPlace.kickAction?u=27629215&as=92757 Download Whole The Last Airbender Movie , http://community.fox8.com/service/displayDiscussionThreads.kickAction?as=92757&w=221030&d=597750 Predators Movie Good Quality , http://community.fox8.com/service/displayDiscussionThreads.kickAction?as=92757&w=221030&d=597798 Real Step Up 3D Film Download , http://community.fox8.com/service/displayKickPlace.kickAction?u=27629484&as=92757 Download Ocean's Eleven Movie In Divx Formats , http://community.fox8.com/service/displayKickPlace.kickAction?u=27629282&as=92757 Pre Buy Machete Movie , http://community.fox8.com/service/displayDiscussionThreads.kickAction?as=92757&w=221030&d=597746 Download The The A-Team Online , http://community.fox8.com/service/displayDiscussionThreads.kickAction?as=92757&w=221030&d=597766 Where Can I Buy Red The Film , http://community.fox8.com/service/displayDiscussionThreads.kickAction?as=92757&w=221030&d=597810 Ocean's Eleven Movie In High Quality , -- Red Movie Quotes?
- 2 , http://community.fox8.com/service/displayDiscussionThreads.kickAction?as=92757&w=221030&d=597786 The Clash of the Titans Film , http://community.fox8.com/service/displayKickPlace.kickAction?u=27629369&as=92757 Whole Movie Of Frozen , http://community.fox8.com/service/displayDiscussionThreads.kickAction?as=92757&w=221030&d=597792 Cheapest Killers Film , http://www.formspring.me/1thelastairbend The Last Airbender Film Download Blogspot , http://community.fox8.com/service/displayKickPlace.kickAction?u=27629468&as=92757 Watch Complete Sex and the City 2 Film , http://community.fox8.com/service/displayDiscussionThreads.kickAction?as=92757&w=221030&d=597770 Downloadable The Sorcerer's Apprentice Film , http://community.fox8.com/service/displayDiscussionThreads.kickAction?as=92757&w=221030&d=597794 Leap Year Online Divx , http://community.fox8.com/service/displayKickPlace.kickAction?u=27629440&as=92757 Websites To Watch Shrek Forever After The Film , http://community.fox8.com/service/displayDiscussionThreads.kickAction?as=92757&w=221030&d=597790 Green Zone Movie Soundtrack , http://www.formspring.me/1predators Download Predators Films , -- Download Green Zone Movie In Divx Formats?
- 3 , http://www.formspring.me/2eclipse Were Can I Watch Eclipse The Movie , http://www.formspring.me/movieironman2 Iron Man 2 Film Watch Full Film , http://community.fox8.com/service/displayKickPlace.kickAction?u=27629288&as=92757 Download The Movie Centurion Online , http://community.fox8.com/service/displayDiscussionThreads.kickAction?as=92757&w=221030&d=597804 Whole Sex and the City 2 Film , http://community.fox8.com/service/displayKickPlace.kickAction?u=27629455&as=92757 Websites To Watch Devil The Movie , http://community.fox8.com/service/displayDiscussionThreads.kickAction?as=92757&w=221030&d=597774 Download Avatar Movie In Hd , http://community.fox8.com/service/displayDiscussionThreads.kickAction?as=92757&w=221030&d=597732 Download The Wall Street: Money Never Sleeps Film , http://community.fox8.com/service/displayDiscussionThreads.kickAction?as=92757&w=221030&d=597758 Where Can I Download Get Him to the Greek Trailer , http://www.formspring.me/1salt Watch Whole Movie Of Salt , http://community.fox8.com/service/displayKickPlace.kickAction?u=27629339&as=92757 The Switch Movie Hd Download , -- The Eclipse Full Film?
- 3 , http://community.fox8.com/service/displayKickPlace.kickAction?u=27629453&as=92757 Download Step Up 3D Film 2010 , http://community.fox8.com/service/displayDiscussionThreads.kickAction?as=92757&w=221030&d=597734 The Iron Man 2 Full Movie Online , http://community.fox8.com/service/displayDiscussionThreads.kickAction?as=92757&w=221030&d=597741 Free Resident Evil: Afterlife Online , http://community.fox8.com/service/displayKickPlace.kickAction?u=27629527&as=92757 Watch Repo Men Film In High Quality , http://community.fox8.com/service/displayDiscussionThreads.kickAction?as=92757&w=221030&d=597772 Piranha Film 2010 , http://www.formspring.me/movietoystory3 Watch Entire Toy Story 3 Film , http://www.formspring.me/1theexpendables Download The Expendables For Ipod , http://community.fox8.com/service/displayKickPlace.kickAction?u=27629520&as=92757 Download The Whole Up in the Air Movie , http://www.formspring.me/1howtotrainyour Download Movie How to Train Your Dragon Divx , http://community.fox8.com/service/displayKickPlace.kickAction?u=27629470&as=92757 2012 Film Download High Quality , -- [[Download Or Watch Online Resident Evil: Afterlife The Movie In High Quality]]
- 4 , http://community.fox8.com/service/displayKickPlace.kickAction?u=27629078&as=92757 Download Wall Street: Money Never Sleeps 1 , http://community.fox8.com/service/displayDiscussionThreads.kickAction?as=92757&w=221030&d=597736 Download The Expendables Film Score , http://community.fox8.com/service/displayKickPlace.kickAction?u=27629381&as=92757 Watch Clash of the Titans 2009 Full Movie , http://community.fox8.com/service/displayDiscussionThreads.kickAction?as=92757&w=221030&d=597784 Where To Watch Frozen Film , http://community.fox8.com/service/displayDiscussionThreads.kickAction?as=92757&w=221030&d=597738 Download Salt Film In Hd Quality , http://community.fox8.com/service/displayDiscussionThreads.kickAction?as=92757&w=221030&d=597800 Devil Release , http://community.fox8.com/service/displayKickPlace.kickAction?u=27629167&as=92757 Salt Movie To Download Full , http://community.fox8.com/service/displayDiscussionThreads.kickAction?as=92757&w=221030&d=597748 Cheapest Prince of Persia: The Sands of Time Film , http://community.fox8.com/service/displayKickPlace.kickAction?u=27629446&as=92757 Dinner for Schmucks Movie Theatre , http://community.fox8.com/service/displayKickPlace.kickAction?u=27629297&as=92757 Red Film In Hd , -- [[Download Prince of Persia: The Sands of Time Film In Ipod Quality]]
- 4 , http://community.fox8.com/service/displayKickPlace.kickAction?u=27629508&as=92757 The Vampires Suck Full Movie Online , http://community.fox8.com/service/displayDiscussionThreads.kickAction?as=92757&w=221030&d=597752 Grown Ups Video Download , http://community.fox8.com/service/displayKickPlace.kickAction?u=27628981&as=92757 Inception Film Hd Download , http://community.fox8.com/service/displayKickPlace.kickAction?u=27629514&as=92757 Download The Social Network Film Legally , http://community.fox8.com/service/displayKickPlace.kickAction?u=27629256&as=92757 Website To Watch Knight and Day The Film , http://community.fox8.com/service/displayKickPlace.kickAction?u=27629435&as=92757 Where To Buy Alice in Wonderland Movie , http://community.fox8.com/service/displayDiscussionThreads.kickAction?as=92757&w=221030&d=597802 Splice Imdb , http://community.fox8.com/service/displayDiscussionThreads.kickAction?as=92757&w=221030&d=597806 2012 Film Wiki , http://community.fox8.com/service/displayKickPlace.kickAction?u=27629387&as=92757 Full I Spit on Your Grave Movie Downloads , http://community.fox8.com/service/displayKickPlace.kickAction?u=27629418&as=92757 Green Zone Film Sales , -- Websites To Watch The Social Network The Movie?
- 4 , http://community.fox8.com/service/displayDiscussionThreads.kickAction?as=92757&w=221030&d=597762 Machete In In Hd - Hq - Dvd - Divx - Ipod - Pda Formats , http://www.formspring.me/1centurion The Whole Centurion Movie Online , http://community.fox8.com/service/displayKickPlace.kickAction?u=27629477&as=92757 The Losers Movie , http://community.fox8.com/service/displayKickPlace.kickAction?u=27629300&as=92757 Download And Watch Despicable Me Online , http://community.fox8.com/service/displayKickPlace.kickAction?u=27629161&as=92757 Downloadable Robin Hood Movie , http://community.fox8.com/service/displayKickPlace.kickAction?u=27629237&as=92757 Full Predators Movie In High Quality , http://community.fox8.com/service/displayKickPlace.kickAction?u=27629201&as=92757 Watch Resident Evil: Afterlife Movie Good Quality , http://community.fox8.com/service/displayKickPlace.kickAction?u=27629427&as=92757 Films Leap Year , http://www.formspring.me/1knightandday Hd Dvd Knight and Day Online , http://www.formspring.me/movieinception Inception Movie Release , -- Downloadable Robin Hood Film?
- 2 , http://community.fox8.com/service/displayDiscussionThreads.kickAction?as=92757&w=221030&d=597797 Watch Dinner for Schmucks 2010 Full Movie , http://community.fox8.com/service/displayDiscussionThreads.kickAction?as=92757&w=221030&d=597768 Despicable Me Full Lenght Movie In Pda Format , http://community.fox8.com/service/displayKickPlace.kickAction?u=27629245&as=92757 Hi-def Quality Grown Ups Download , http://www.formspring.me/1machete Watch Machete Full Film High Quality , http://community.fox8.com/service/displayKickPlace.kickAction?u=27629128&as=92757 Watch Iron Man 2 Film , http://www.formspring.me/1princeofpersia Where Can I Download Prince of Persia: The Sands of Time Online , http://community.fox8.com/service/displayDiscussionThreads.kickAction?as=92757&w=221030&d=597778 Watch The Switch Megavideo , http://community.fox8.com/service/displayDiscussionThreads.kickAction?as=92757&w=221030&d=597729 Download The Whole Inception Film , http://community.fox8.com/service/displayDiscussionThreads.kickAction?as=92757&w=221030&d=597728 Toy Story 3 Information , http://www.formspring.me/1thekaratekid The Karate Kid Online Film , -- Download Or Watch Online Despicable Me The Movie In High Quality?
- 4 , http://community.fox8.com/service/displayDiscussionThreads.kickAction?as=92757&w=221030&d=597817 Watch Up in the Air Film In High Quality , http://community.fox8.com/service/displayDiscussionThreads.kickAction?as=92757&w=221030&d=597816 Full The Social Network Movie Downloads , http://community.fox8.com/service/displayDiscussionThreads.kickAction?as=92757&w=221030&d=597796 Watch Shrek Forever After Movie Good Quality , http://community.fox8.com/service/displayDiscussionThreads.kickAction?as=92757&w=221030&d=597808 The Losers Review , http://community.fox8.com/service/displayKickPlace.kickAction?u=27629233&as=92757 Where To Buy Prince of Persia: The Sands of Time Movie , http://community.fox8.com/service/displayKickPlace.kickAction?u=27629331&as=92757 Downloads Legend of the Guardians: The Owls of Ga'Hoole , http://www.formspring.me/1robinhood Download Robin Hood Music , http://community.fox8.com/service/displayDiscussionThreads.kickAction?as=92757&w=221030&d=597764 Download Centurion 1 , http://community.fox8.com/service/displayDiscussionThreads.kickAction?as=92757&w=221030&d=597776 Cinematic Legend of the Guardians: The Owls of Ga'Hoole Download , http://www.formspring.me/1gethimthegreek Want To Watch Get Him to the Greek Movie , -- [[Watch Free Legend of the Guardians: The Owls of Ga'Hoole]]
- 4 , http://community.fox8.com/service/displayKickPlace.kickAction?u=27629268&as=92757 Match Get Him to the Greek Hd Download , http://community.fox8.com/service/displayKickPlace.kickAction?u=27629360&as=92757 The Town Dvdrip , http://community.fox8.com/service/displayDiscussionThreads.kickAction?as=92757&w=221030&d=597814 Where Can I Buy Vampires Suck Movie , http://community.fox8.com/service/displayDiscussionThreads.kickAction?as=92757&w=221030&d=597754 Watch Full Film Of Eclipse Online , http://www.formspring.me/wallstreetmoney Wall Street: Money Never Sleeps Online Film , http://community.fox8.com/service/displayKickPlace.kickAction?u=27629221&as=92757 The A-Team Film Watch Films , http://community.fox8.com/service/displayDiscussionThreads.kickAction?as=92757&w=221030&d=597795 Download Alice in Wonderland New Movie , http://community.fox8.com/service/displayKickPlace.kickAction?u=27629419&as=92757 Free Download Of Killers , http://www.formspring.me/1residentevil Resident Evil: Afterlife Film Watch Films , http://community.fox8.com/service/displayKickPlace.kickAction?u=27629322&as=92757 Avatar Movie , -- [[How To Watch Wall Street: Money Never Sleeps Movie]]
- 2 , http://community.fox8.com/service/displayDiscussionThreads.kickAction?as=92757&w=221030&d=597737 Download Movie Robin Hood Pda , http://community.fox8.com/service/displayDiscussionThreads.kickAction?as=92757&w=221030&d=597818 Repo Men Film Posters , http://community.fox8.com/service/displayKickPlace.kickAction?u=27629215&as=92757 The Last Airbender Movie Download , http://community.fox8.com/service/displayDiscussionThreads.kickAction?as=92757&w=221030&d=597750 Predators Film Songs , http://community.fox8.com/service/displayDiscussionThreads.kickAction?as=92757&w=221030&d=597798 Watch Movie Of Step Up 3D , http://community.fox8.com/service/displayKickPlace.kickAction?u=27629484&as=92757 Ocean's Eleven Movie Screenshots , http://community.fox8.com/service/displayKickPlace.kickAction?u=27629282&as=92757 Machete Dvds , http://community.fox8.com/service/displayDiscussionThreads.kickAction?as=92757&w=221030&d=597746 The A-Team Full Movie , http://community.fox8.com/service/displayDiscussionThreads.kickAction?as=92757&w=221030&d=597766 Website To Watch Red The Movie , http://community.fox8.com/service/displayDiscussionThreads.kickAction?as=92757&w=221030&d=597810 Ocean's Eleven Film Opening , -- Download Robin Hood Movie Online?
- 4 , http://community.fox8.com/service/displayDiscussionThreads.kickAction?as=92757&w=221030&d=597786 Clash of the Titans Movie Location , http://community.fox8.com/service/displayKickPlace.kickAction?u=27629369&as=92757 Frozen Film Part , http://community.fox8.com/service/displayDiscussionThreads.kickAction?as=92757&w=221030&d=597792 Downloadable Films Killers Online , http://www.formspring.me/1thelastairbend Watch The Entire The Last Airbender Movie , http://community.fox8.com/service/displayKickPlace.kickAction?u=27629468&as=92757 Watch Sex and the City 2 Movie 2010 , http://community.fox8.com/service/displayDiscussionThreads.kickAction?as=92757&w=221030&d=597770 Download The The Sorcerer's Apprentice Online , http://community.fox8.com/service/displayDiscussionThreads.kickAction?as=92757&w=221030&d=597794 Were Can I Download Leap Year The Movie , http://community.fox8.com/service/displayKickPlace.kickAction?u=27629440&as=92757 Download Shrek Forever After Film In Dvd Quality , http://community.fox8.com/service/displayDiscussionThreads.kickAction?as=92757&w=221030&d=597790 Green Zone Film Still , http://www.formspring.me/1predators Predators Movie Quotes , -- Download Leap Year Full Movie Free?
- 3 , http://www.formspring.me/2eclipse Eclipse Full Dvd Films , http://www.formspring.me/movieironman2 Watch Iron Man 2 The Movie Full Version , http://community.fox8.com/service/displayKickPlace.kickAction?u=27629288&as=92757 Download The Film The Centurion , http://community.fox8.com/service/displayDiscussionThreads.kickAction?as=92757&w=221030&d=597804 Hd Dvd Sex and the City 2 , http://community.fox8.com/service/displayKickPlace.kickAction?u=27629455&as=92757 Devil Film In Hd , http://community.fox8.com/service/displayDiscussionThreads.kickAction?as=92757&w=221030&d=597774 Avatar Film Streaming High Quality , http://community.fox8.com/service/displayDiscussionThreads.kickAction?as=92757&w=221030&d=597732 High Quality Wall Street: Money Never Sleeps Movie , http://community.fox8.com/service/displayDiscussionThreads.kickAction?as=92757&w=221030&d=597758 Were Can I Download Get Him to the Greek The Movie , http://www.formspring.me/1salt Download The Salt Dvd , http://community.fox8.com/service/displayKickPlace.kickAction?u=27629339&as=92757 Download The Switch Film In Hd Formats , -- Watch The Switch Movie 2010?
- 4 , http://community.fox8.com/service/displayKickPlace.kickAction?u=27629453&as=92757 Download Film Step Up 3D Dvdrip , http://community.fox8.com/service/displayDiscussionThreads.kickAction?as=92757&w=221030&d=597734 How To Watch Iron Man 2 The Film , http://community.fox8.com/service/displayDiscussionThreads.kickAction?as=92757&w=221030&d=597741 The Full Resident Evil: Afterlife Film Online , http://community.fox8.com/service/displayKickPlace.kickAction?u=27629527&as=92757 Repo Men Movie Rating , http://community.fox8.com/service/displayDiscussionThreads.kickAction?as=92757&w=221030&d=597772 Hi-def Quality Piranha Download , http://www.formspring.me/movietoystory3 Full Toy Story 3 Movie Downloads , http://www.formspring.me/1theexpendables Download The Expendables Movie Bootleg , http://community.fox8.com/service/displayKickPlace.kickAction?u=27629520&as=92757 Up in the Air Full Dvd Films , http://www.formspring.me/1howtotrainyour Watch Full Film Of How to Train Your Dragon Online , http://community.fox8.com/service/displayKickPlace.kickAction?u=27629470&as=92757 2012 Film Posters , -- Download The 2012 Game?
- 3 , http://community.fox8.com/service/displayKickPlace.kickAction?u=27629078&as=92757 Buy Wall Street: Money Never Sleeps Hq - Dvd - Divx - Ipod - Pda Formats , http://community.fox8.com/service/displayDiscussionThreads.kickAction?as=92757&w=221030&d=597736 The Expendables Online , http://community.fox8.com/service/displayKickPlace.kickAction?u=27629381&as=92757 Watch Complete Clash of the Titans Movie , http://community.fox8.com/service/displayDiscussionThreads.kickAction?as=92757&w=221030&d=597784 Hd Dvd Frozen , http://community.fox8.com/service/displayDiscussionThreads.kickAction?as=92757&w=221030&d=597738 Watch Salt Movie High Quality , http://community.fox8.com/service/displayDiscussionThreads.kickAction?as=92757&w=221030&d=597800 Devil Movie Imbd , http://community.fox8.com/service/displayKickPlace.kickAction?u=27629167&as=92757 Dvd Salt Online , http://community.fox8.com/service/displayDiscussionThreads.kickAction?as=92757&w=221030&d=597748 Watch The Prince of Persia: The Sands of Time Online , http://community.fox8.com/service/displayKickPlace.kickAction?u=27629446&as=92757 Watch The Dinner for Schmucks The Film , http://community.fox8.com/service/displayKickPlace.kickAction?u=27629297&as=92757 Download Red Movie Bootleg , -- [[Cheap Wall Street: Money Never Sleeps Film]]
- 3 , http://community.fox8.com/service/displayKickPlace.kickAction?u=27629508&as=92757 Real Vampires Suck Film Download , http://community.fox8.com/service/displayDiscussionThreads.kickAction?as=92757&w=221030&d=597752 Grown Ups Movie Clothing , http://community.fox8.com/service/displayKickPlace.kickAction?u=27628981&as=92757 Watch Inception Movie In High Quality , http://community.fox8.com/service/displayKickPlace.kickAction?u=27629514&as=92757 Watching The Social Network Online , http://community.fox8.com/service/displayKickPlace.kickAction?u=27629256&as=92757 Download Movie Knight and Day Divx , http://community.fox8.com/service/displayKickPlace.kickAction?u=27629435&as=92757 Alice in Wonderland Release , http://community.fox8.com/service/displayDiscussionThreads.kickAction?as=92757&w=221030&d=597802 About Splice Film , http://community.fox8.com/service/displayDiscussionThreads.kickAction?as=92757&w=221030&d=597806 The 2012 Film Online , http://community.fox8.com/service/displayKickPlace.kickAction?u=27629387&as=92757 Order I Spit on Your Grave Movie , http://community.fox8.com/service/displayKickPlace.kickAction?u=27629418&as=92757 Green Zone Film Actors , -- The Whole Film Of 2012?
- 4 , http://community.fox8.com/service/displayDiscussionThreads.kickAction?as=92757&w=221030&d=597762 Watch Machete Movie Stream , http://www.formspring.me/1centurion The Full Film Of Centurion , http://community.fox8.com/service/displayKickPlace.kickAction?u=27629477&as=92757 Where Can I Download The The Losers Movie , http://community.fox8.com/service/displayKickPlace.kickAction?u=27629300&as=92757 Despicable Me Full Lenght Movie In Divx Format , http://community.fox8.com/service/displayKickPlace.kickAction?u=27629161&as=92757 Robin Hood The Film Good Quality , http://community.fox8.com/service/displayKickPlace.kickAction?u=27629237&as=92757 I Want To Watch The Full Film Of Predators , http://community.fox8.com/service/displayKickPlace.kickAction?u=27629201&as=92757 High Quality Resident Evil: Afterlife Movie , http://community.fox8.com/service/displayKickPlace.kickAction?u=27629427&as=92757 Cinematic Leap Year Download , http://www.formspring.me/1knightandday Knight and Day Movie Theatres , http://www.formspring.me/movieinception Watch New Inception Film , -- The Losers The Movie To Buy?
- 2 , http://community.fox8.com/service/displayDiscussionThreads.kickAction?as=92757&w=221030&d=597797 Dinner for Schmucks Divx , http://community.fox8.com/service/displayDiscussionThreads.kickAction?as=92757&w=221030&d=597768 Buy The Despicable Me Film , http://community.fox8.com/service/displayKickPlace.kickAction?u=27629245&as=92757 Grown Ups Film Picture , http://www.formspring.me/1machete Watch Machete Full Movie High Quality , http://community.fox8.com/service/displayKickPlace.kickAction?u=27629128&as=92757 New Film Iron Man 2 , http://www.formspring.me/1princeofpersia Prince of Persia: The Sands of Time Film Casting , http://community.fox8.com/service/displayDiscussionThreads.kickAction?as=92757&w=221030&d=597778 Watch The Switch Movie Online , http://community.fox8.com/service/displayDiscussionThreads.kickAction?as=92757&w=221030&d=597729 Inception Information , http://community.fox8.com/service/displayDiscussionThreads.kickAction?as=92757&w=221030&d=597728 Toy Story 3 Movie , http://www.formspring.me/1thekaratekid Download Divx The Karate Kid Full Lenght , -- [[I Want To Watch The Full Film Of Prince of Persia: The Sands of Time Online]]
- 3 , http://community.fox8.com/service/displayDiscussionThreads.kickAction?as=92757&w=221030&d=597817 Up in the Air Full Lenght Movie In Dvd Format , http://community.fox8.com/service/displayDiscussionThreads.kickAction?as=92757&w=221030&d=597816 Downloading The Social Network Movie , http://community.fox8.com/service/displayDiscussionThreads.kickAction?as=92757&w=221030&d=597796 Shrek Forever After Good Film For Sale , http://community.fox8.com/service/displayDiscussionThreads.kickAction?as=92757&w=221030&d=597808 Watch The Losers Film In Hd , http://community.fox8.com/service/displayKickPlace.kickAction?u=27629233&as=92757 Prince of Persia: The Sands of Time Video , http://community.fox8.com/service/displayKickPlace.kickAction?u=27629331&as=92757 Real Legend of the Guardians: The Owls of Ga'Hoole Film Download , http://www.formspring.me/1robinhood Robin Hood Film Divx , http://community.fox8.com/service/displayDiscussionThreads.kickAction?as=92757&w=221030&d=597764 Watch Centurion Movie Hq , http://community.fox8.com/service/displayDiscussionThreads.kickAction?as=92757&w=221030&d=597776 Where Can Buy A Legend of the Guardians: The Owls of Ga'Hoole , http://www.formspring.me/1gethimthegreek Download Entire Get Him to the Greek Movie , -- Robin Hood Film For Sale?
- 3 , http://www.formspring.me/2grownups Watch Free Grown Ups , http://community.fox8.com/service/displayKickPlace.kickAction?u=27629276&as=92757 Watch Full Film Of The Karate Kid , http://community.fox8.com/service/displayKickPlace.kickAction?u=27629354&as=92757 Cheap Jonah Hex Movie , http://community.fox8.com/service/displayDiscussionThreads.kickAction?as=92757&w=221030&d=597780 Watch New Jonah Hex Film , http://community.fox8.com/service/displayKickPlace.kickAction?u=27629318&as=92757 Watch The Piranha Online , http://www.formspring.me/1theateam The A-Team Film Watch Film , http://community.fox8.com/service/displayKickPlace.kickAction?u=27629210&as=92757 Download How to Train Your Dragon Full Movie , http://community.fox8.com/service/displayKickPlace.kickAction?u=27629247&as=92757 Where To Watch The Full Movie Of Eclipse , http://community.fox8.com/service/displayKickPlace.kickAction?u=27629141&as=92757 The Expendables Film Great Quality , http://community.fox8.com/service/displayDiscussionThreads.kickAction?as=92757&w=221030&d=597812 The Book of Eli Film Review , -- Download The A-Team Movie In Hd Quality?
- 2 , http://community.fox8.com/service/displayKickPlace.kickAction?u=27629500&as=92757 Watch Entire The Book of Eli Film , http://community.fox8.com/service/displayDiscussionThreads.kickAction?as=92757&w=221030&d=597782 Length Of The Town Movie , http://community.fox8.com/service/displayDiscussionThreads.kickAction?as=92757&w=221030&d=597756 Knight and Day Film Song , http://community.fox8.com/service/displayDiscussionThreads.kickAction?as=92757&w=221030&d=597788 I Spit on Your Grave Full Lenght Film In Pda Format , http://community.fox8.com/service/displayKickPlace.kickAction?u=27628930&as=92757 Download The Toy Story 3 Film Online , http://community.fox8.com/service/displayDiscussionThreads.kickAction?as=92757&w=221030&d=597744 The Last Airbender Movie Video , http://community.fox8.com/service/displayKickPlace.kickAction?u=27629308&as=92757 Website To Watch The Sorcerer's Apprentice The Movie , http://community.fox8.com/service/displayDiscussionThreads.kickAction?as=92757&w=221030&d=597742 How to Train Your Dragon The Movie , http://community.fox8.com/service/displayDiscussionThreads.kickAction?as=92757&w=221030&d=597760 The Whole The Karate Kid Movie Online , http://community.fox8.com/service/displayKickPlace.kickAction?u=27629458&as=92757 The Splice Trailer , -- I Spit on Your Grave Buy?
- 3 , http://www.openoffice.org/nonav/issues/showattachment.cgi/72797/tramadol-hcl.html hcl tramadol acetaminophe , http://www.theworldmindnetwork.net/profile/tramadol4t2 tramadol hcl 50mg myl tablet , http://scouts1.org/tramadol8t2/weblog/ order tramadol with no presecription , http://independent.academia.edu/tramadolprescription buy tramadol cheap prescription without , http://scouts1.org/tramadol9t2/weblog/ list of drug generic companies tramadol , http://scouts1.org/tramadol5t2/weblog/ no prescription next day tramadol delivery , http://independent.academia.edu/buytramadol buy cheap tramadol online 35 , http://forums.bleachexile.com/member.php?u=101986 tramadol hcl 50mr , http://www.openoffice.org/nonav/issues/showattachment.cgi/72794/tramadol-online.html tramadol online o c d , http://www.theworldmindnetwork.net/profile/tramadol1t2 cheap tramadol delivery cod , -- tramadol cod overnight order?
- 4 , http://www.openoffice.org/nonav/issues/showattachment.cgi/72800/tramadol-side-effects.html side effects of the tramadol drug , http://www.earthday.org/users/52438 tramadol hcl tab 50mg mylan , http://www.vbs.tv/profiles/tramadol_prescription_october_2010 order tramadol no prescription cod payment , http://independent.academia.edu/cheaptramadol buy tramadol online cheap , http://scouts1.org/tramadol1t2/weblog/ make tramadol online , http://www.theworldmindnetwork.net/profile/tramadol8t2 tramadol money order , http://forums.bleachexile.com/member.php?u=101978 cheap no tramadol prescription , http://forums.bleachexile.com/member.php?u=101982 tramadol online comfortable , http://independent.academia.edu/tramadolonline order tramadol cod online , http://scouts1.org/tramadol7t2/weblog/ can tramadol have sexual side effects , -- cheap tramadol prescription?
- 2 , http://www.theworldmindnetwork.net/profile/tramadol5t2 no prescription saturday tramadol delivery , http://www.vbs.tv/profiles/buy_tramadol_october_2010 ultram buy tramadol , http://www.openoffice.org/nonav/issues/showattachment.cgi/72802/tramadol-generic.html generic drug identification pill identifier tramadol , http://scouts1.org/tramadol4t2/weblog/ what is in tramadol 50mg hcl , http://independent.academia.edu/tramadolhcl ic tramadol hcl , http://scouts1.org/tramadol0t2/weblog/ cheap site tramadol , http://www.openoffice.org/nonav/issues/showattachment.cgi/72798/tramadol-prescription.html prescription free tramadol , http://www.openoffice.org/nonav/issues/showattachment.cgi/72801/order-tramadol.html pharmacy order tramadol , http://www.vbs.tv/profiles/tramadol_online_october_2010 cod meds online ultram tramadol , http://forums.bleachexile.com/member.php?u=101987 tramadol drug prescription , -- cheap tramadol?
- 3 , http://www.openoffice.org/nonav/issues/showattachment.cgi/72797/tramadol-hcl.html g e tramadol hcl , http://www.theworldmindnetwork.net/profile/tramadol4t2 tramadol hcl dogs for , http://scouts1.org/tramadol8t2/weblog/ order tramadol without prescription , http://independent.academia.edu/tramadolprescription tramadol online without prescription cod , http://scouts1.org/tramadol9t2/weblog/ ultram generic tramadol , http://scouts1.org/tramadol5t2/weblog/ tramadol no 32 prescription , http://independent.academia.edu/buytramadol buy tramadol online shipping free , http://forums.bleachexile.com/member.php?u=101986 ultram hcl tramadol , http://www.openoffice.org/nonav/issues/showattachment.cgi/72794/tramadol-online.html tramadol saturday online delivery , http://www.theworldmindnetwork.net/profile/tramadol1t2 cheap tramadol with overnight free shipping , -- tramadol for hcl dog?
- 4 , http://www.theworldmindnetwork.net/profile/tramadol9t2 when did tramadol go generic , http://www.earthday.org/users/52432 cheap tramadol cod free fedex , http://www.vbs.tv/profiles/tramadol_hcl_october_2010 hcl tramadol wiki , http://www.earthday.org/users/52436 buy tramadol cheap without prescription , http://forums.bleachexile.com/member.php?u=101984 buy dihydrocodeine debit tramadol card , http://www.openoffice.org/nonav/issues/showattachment.cgi/72793/cheap-tramadol.html 90 tramadol cheapest pills , http://scouts1.org/tramadol10t2/weblog/ dosages tramadol for , http://www.theworldmindnetwork.net/profile/tramadol3t2 buy $85 tramadol , http://www.openoffice.org/nonav/issues/showattachment.cgi/72803/tramadol-dosage.html tramadol taper canine dosage , http://www.earthday.org/users/52434 tramadol online sends , -- buy tramadol 800?
- 4 , http://www.openoffice.org/nonav/issues/showattachment.cgi/72800/tramadol-side-effects.html side effects tramadol from , http://www.earthday.org/users/52438 ic tramadol acetaminophen hcl par , http://www.vbs.tv/profiles/tramadol_prescription_october_2010 tramadol pain killer a without prescription , http://independent.academia.edu/cheaptramadol cheap tramadol without a prescription fedex , http://scouts1.org/tramadol1t2/weblog/ tramadol medication online , http://www.theworldmindnetwork.net/profile/tramadol8t2 tramadol pay by order money , http://forums.bleachexile.com/member.php?u=101978 cheap tramadol prescriptions online , http://forums.bleachexile.com/member.php?u=101982 tramadol online no prescription cod , http://independent.academia.edu/tramadolonline tramadol online feelings , http://scouts1.org/tramadol7t2/weblog/ side effects medication tramadol , -- side effects of tramadol for dogs?
- 3 , http://www.theworldmindnetwork.net/profile/tramadol5t2 cheap without tramadol prescription , http://www.vbs.tv/profiles/buy_tramadol_october_2010 buy tramadol 100mg online , http://www.openoffice.org/nonav/issues/showattachment.cgi/72802/tramadol-generic.html generic tramadol cost , http://scouts1.org/tramadol4t2/weblog/ ic tramadol hcl 50 mg , http://independent.academia.edu/tramadolhcl hcl tramadol 50mr , http://scouts1.org/tramadol0t2/weblog/ cheapest tramadol available online off 80 , http://www.openoffice.org/nonav/issues/showattachment.cgi/72798/tramadol-prescription.html tramadol with out prescriptions fedex and , http://www.openoffice.org/nonav/issues/showattachment.cgi/72801/order-tramadol.html buy tramadol order money , http://www.vbs.tv/profiles/tramadol_online_october_2010 tramadol ecstasy online , http://forums.bleachexile.com/member.php?u=101987 cheap prescriptions tramadol online , -- online-store tramadol?
- 3 , http://www.theworldmindnetwork.net/profile/tramadol10t2 tramadol dosage maximum , http://www.openoffice.org/nonav/issues/showattachment.cgi/72795/buy-tramadol.html where can buy i tramadol , http://scouts1.org/tramadol6t2/weblog/ tramadol vs oxycodone , http://www.earthday.org/users/52440 cheap tramadol saturday delivery prescription no , http://scouts1.org/tramadol3t2/weblog/ buy tramadol overnight online delivery , http://www.theworldmindnetwork.net/profile/tramadol2t2 tramadol online consent , http://www.vbs.tv/profiles/order_tramadol cheap non prescription tramadol , http://www.theworldmindnetwork.net/profile/tramadol6t2 order tramadol no cod prescription payment , http://www.openoffice.org/nonav/issues/showattachment.cgi/72799/tramadol-cod.html hydrocodone tramadol combination side effects , http://www.theworldmindnetwork.net/profile/tramadol7t2 side effects of in tramadol pets , -- tramadol no legal prescription?
- 4 , http://www.theworldmindnetwork.net/profile/tramadol9t2 tramadol hcl 50mg generic for , http://www.earthday.org/users/52432 tramadol cheap free no overnight rx , http://www.vbs.tv/profiles/tramadol_hcl_october_2010 tramadol opiate hcl , http://www.earthday.org/users/52436 tramadol buy pain , http://forums.bleachexile.com/member.php?u=101984 tramadol 180 buy , http://www.openoffice.org/nonav/issues/showattachment.cgi/72793/cheap-tramadol.html order cheap generic tramadol online , http://scouts1.org/tramadol10t2/weblog/ 50mg tramadol dosage , http://www.theworldmindnetwork.net/profile/tramadol3t2 buy tramadol online shipping free , http://www.openoffice.org/nonav/issues/showattachment.cgi/72803/tramadol-dosage.html canine tramadol dosage correct , http://www.earthday.org/users/52434 tramadol online feelings , -- buy tramadol site add?
- 2 , http://www.openoffice.org/nonav/issues/showattachment.cgi/72800/tramadol-side-effects.html tramadol side effects drowsiness , http://www.earthday.org/users/52438 tramadol hcl medicine veterinarian , http://www.vbs.tv/profiles/tramadol_prescription_october_2010 prescription free tramadol , http://independent.academia.edu/cheaptramadol cheap discount tramadol online , http://scouts1.org/tramadol1t2/weblog/ tramadol saturday online delivery , http://www.theworldmindnetwork.net/profile/tramadol8t2 keyword free shipping tramadol on orders , http://forums.bleachexile.com/member.php?u=101978 no prescription tramadol cheapest , http://forums.bleachexile.com/member.php?u=101982 buy tramadol online , http://independent.academia.edu/tramadolonline online pharmacies tramadol , http://scouts1.org/tramadol7t2/weblog/ side effects dog tramadol , -- side effects of painkiller tramadol?
- 2 , http://www.theworldmindnetwork.net/profile/tramadol5t2 cheap tramadol without a prescription , http://www.vbs.tv/profiles/buy_tramadol_october_2010 buy tramadol cod pay , http://www.openoffice.org/nonav/issues/showattachment.cgi/72802/tramadol-generic.html generic or tramadol ultram , http://scouts1.org/tramadol4t2/weblog/ what is tramadol hcl er100mg , http://independent.academia.edu/tramadolhcl gruen hcl tramadol , http://scouts1.org/tramadol0t2/weblog/ cheap tramadol without prescription a , http://www.openoffice.org/nonav/issues/showattachment.cgi/72798/tramadol-prescription.html tramadol online overnight prescription no , http://www.openoffice.org/nonav/issues/showattachment.cgi/72801/order-tramadol.html order cheap tramadol no prescription needed , http://www.vbs.tv/profiles/tramadol_online_october_2010 discount online tramadol , http://forums.bleachexile.com/member.php?u=101987 order tramadol a without prescription , -- roomed tramadol online?
- 2 , http://www.theworldmindnetwork.net/profile/tramadol10t2 tramadol canine hydrochloride dosage , http://www.openoffice.org/nonav/issues/showattachment.cgi/72795/buy-tramadol.html buy online no prescription tramadol , http://scouts1.org/tramadol6t2/weblog/ tramadol saturday cod , http://www.earthday.org/users/52440 canada pharmacy no tramadol prescription , http://scouts1.org/tramadol3t2/weblog/ buy dog tramadol uk , http://www.theworldmindnetwork.net/profile/tramadol2t2 tramadol online seventy , http://www.vbs.tv/profiles/order_tramadol prescriptions tramadol cheap online , http://www.theworldmindnetwork.net/profile/tramadol6t2 tramadol vicodine with , http://www.openoffice.org/nonav/issues/showattachment.cgi/72799/tramadol-cod.html tramadol ordering cod , http://www.theworldmindnetwork.net/profile/tramadol7t2 tramadol side effects canine dogs , -- my prescription solution cod tramadol?
- 2 , http://www.openoffice.org/nonav/issues/showattachment.cgi/72797/tramadol-hcl.html tramadol 50mg hcl tab , http://www.theworldmindnetwork.net/profile/tramadol4t2 tramadol hcl , http://scouts1.org/tramadol8t2/weblog/ tramadol and bipolar disorder , http://independent.academia.edu/tramadolprescription no overnight prescription tramadol , http://scouts1.org/tramadol9t2/weblog/ order cheap generic online tramadol , http://scouts1.org/tramadol5t2/weblog/ buy tramadol without prescription a , http://independent.academia.edu/buytramadol buy tramadol with mastercard , http://forums.bleachexile.com/member.php?u=101986 tramadol hcl 50 mg arthritis , http://www.openoffice.org/nonav/issues/showattachment.cgi/72794/tramadol-online.html buy tramadol online cod , http://www.theworldmindnetwork.net/profile/tramadol1t2 tramadol cheap sales , -- tramadol 100 mg hcl?
- 4 , http://www.theworldmindnetwork.net/profile/tramadol9t2 overseas generic tramadol , http://www.earthday.org/users/52432 tramadol discount cheap , http://www.vbs.tv/profiles/tramadol_hcl_october_2010 what is tramadol hcl for used , http://www.earthday.org/users/52436 tramadol buy pain , http://forums.bleachexile.com/member.php?u=101984 tramadol buy cod , http://www.openoffice.org/nonav/issues/showattachment.cgi/72793/cheap-tramadol.html cheap non prescription tramadol , http://scouts1.org/tramadol10t2/weblog/ dosages tramadol , http://www.theworldmindnetwork.net/profile/tramadol3t2 tramadol buy retard , http://www.openoffice.org/nonav/issues/showattachment.cgi/72803/tramadol-dosage.html tramadol maximim dosage , http://www.earthday.org/users/52434 tramadol backward online , -- tramadol canine taper dosage?
- 3 , http://www.openoffice.org/nonav/issues/showattachment.cgi/72800/tramadol-side-effects.html tramadol side effects questions , http://www.earthday.org/users/52438 getting high tramadol with hcl , http://www.vbs.tv/profiles/tramadol_prescription_october_2010 cheap tramadol saturday no delivery prescription , http://independent.academia.edu/cheaptramadol cheap tramadol free with shipping , http://scouts1.org/tramadol1t2/weblog/ online tramadol overnight , http://www.theworldmindnetwork.net/profile/tramadol8t2 ordering tramadol on collect delivery , http://forums.bleachexile.com/member.php?u=101978 online tramadol cheap , http://forums.bleachexile.com/member.php?u=101982 cheapest tramadol available online , http://independent.academia.edu/tramadolonline cod tramadol online fedex , http://scouts1.org/tramadol7t2/weblog/ side effects ultram of tramadol , -- tramadol online free prescriptions viagra?
- 3 , http://www.theworldmindnetwork.net/profile/tramadol5t2 cheapest tramadol prescriptions , http://www.vbs.tv/profiles/buy_tramadol_october_2010 buy cheap tramadol cod , http://www.openoffice.org/nonav/issues/showattachment.cgi/72802/tramadol-generic.html generic tramadol tablet , http://scouts1.org/tramadol4t2/weblog/ hcl tramadol 5 , http://independent.academia.edu/tramadolhcl what is in tramadol 50mg hcl , http://scouts1.org/tramadol0t2/weblog/ tramadol cod cheap , http://www.openoffice.org/nonav/issues/showattachment.cgi/72798/tramadol-prescription.html tramadol online prescriptions free viagra , http://www.openoffice.org/nonav/issues/showattachment.cgi/72801/order-tramadol.html tramadol cod order , http://www.vbs.tv/profiles/tramadol_online_october_2010 sobs tramadol online , http://forums.bleachexile.com/member.php?u=101987 order tramadol no prescription cod payment , -- order tramadol a without prescription?
- 3 , http://www.theworldmindnetwork.net/profile/tramadol10t2 canine correct tramadol dosage , http://www.openoffice.org/nonav/issues/showattachment.cgi/72795/buy-tramadol.html ataxia buy es tramadol , http://scouts1.org/tramadol6t2/weblog/ imprint codes for tramadol pill medication , http://www.earthday.org/users/52440 prescriptions tramadol instructions , http://scouts1.org/tramadol3t2/weblog/ buy tramadol 100mg online , http://www.theworldmindnetwork.net/profile/tramadol2t2 tramadol online no prior day next , http://www.vbs.tv/profiles/order_tramadol cheap tramadol 89.00 cod , http://www.theworldmindnetwork.net/profile/tramadol6t2 tramadol vs and vicodin strength , http://www.openoffice.org/nonav/issues/showattachment.cgi/72799/tramadol-cod.html postoperative care of versus tramadol codeine , http://www.theworldmindnetwork.net/profile/tramadol7t2 tramadol hcl for dogs side effects , -- tramadol free cod shipping?
- 2 , http://www.openoffice.org/nonav/issues/showattachment.cgi/72797/tramadol-hcl.html tramadol hcl acetaminophe , http://www.theworldmindnetwork.net/profile/tramadol4t2 50 hcl mg tramadol , http://scouts1.org/tramadol8t2/weblog/ tramadol by caraco order back , http://independent.academia.edu/tramadolprescription no overnight prescription tramadol , http://scouts1.org/tramadol9t2/weblog/ generic jolliette tramadol , http://scouts1.org/tramadol5t2/weblog/ tramadol cheap fast prescription no , http://independent.academia.edu/buytramadol buy dihydrocodeine tramadol card debit , http://forums.bleachexile.com/member.php?u=101986 tramadol tab hcl 50mg , http://www.openoffice.org/nonav/issues/showattachment.cgi/72794/tramadol-online.html tramadol online emerged , http://www.theworldmindnetwork.net/profile/tramadol1t2 cheap 32 tramadol , -- no overnight tramadol prescription?
- 4 , http://www.theworldmindnetwork.net/profile/tramadol9t2 list of generic companies sale tramadol , http://www.earthday.org/users/52432 cheap tramadol fedex overnight , http://www.vbs.tv/profiles/tramadol_hcl_october_2010 tramadol by hcl mylan , http://www.earthday.org/users/52436 buy $85 tramadol , http://forums.bleachexile.com/member.php?u=101984 ultram buy tramadol , http://www.openoffice.org/nonav/issues/showattachment.cgi/72793/cheap-tramadol.html cheap tramadol delivery cod , http://scouts1.org/tramadol10t2/weblog/ tramadol puppy dosage , http://www.theworldmindnetwork.net/profile/tramadol3t2 best buy tramadol , http://www.openoffice.org/nonav/issues/showattachment.cgi/72803/tramadol-dosage.html canine tramadol dosage , http://www.earthday.org/users/52434 tramadol online make , -- tramadol dosage dogs information?
- 4 , http://www.openoffice.org/nonav/issues/showattachment.cgi/72800/tramadol-side-effects.html bad side effects tramadol of , http://www.earthday.org/users/52438 tramadol hcl 50 uses mg , http://www.vbs.tv/profiles/tramadol_prescription_october_2010 no prescription delivered saturday tramadol , http://independent.academia.edu/cheaptramadol buy cheap tramadol , http://scouts1.org/tramadol1t2/weblog/ cheap prescriptions tramadol online , http://www.theworldmindnetwork.net/profile/tramadol8t2 tramadol and eye disorders , http://forums.bleachexile.com/member.php?u=101978 cheap tramadol fedex overnight , http://forums.bleachexile.com/member.php?u=101982 is ordering tramadol online illigeal , http://independent.academia.edu/tramadolonline tramadol online no prior day next , http://scouts1.org/tramadol7t2/weblog/ canine tramadol side effects , -- is ordering tramadol online illigal?
- 3 , http://www.theworldmindnetwork.net/profile/tramadol5t2 purchase tramadol without prescription , http://www.vbs.tv/profiles/buy_tramadol_october_2010 tramadol 180 buy , http://www.openoffice.org/nonav/issues/showattachment.cgi/72802/tramadol-generic.html generic or tramadol ultram , http://scouts1.org/tramadol4t2/weblog/ information about tramadol hcl tab 50mg , http://independent.academia.edu/tramadolhcl hcl tramadol , http://scouts1.org/tramadol0t2/weblog/ cheap non tramadol presciption , http://www.openoffice.org/nonav/issues/showattachment.cgi/72798/tramadol-prescription.html no prior tramadol prescription , http://www.openoffice.org/nonav/issues/showattachment.cgi/72801/order-tramadol.html health solutions tramadol network order , http://www.vbs.tv/profiles/tramadol_online_october_2010 cheapest tramadol online no needed prescription , http://forums.bleachexile.com/member.php?u=101987 tramadol cheap prescription no , -- order tramadol cheap?
- 3 , http://www.theworldmindnetwork.net/profile/tramadol10t2 dog tramadol dosage , http://www.openoffice.org/nonav/issues/showattachment.cgi/72795/buy-tramadol.html buy discount tramadol , http://scouts1.org/tramadol6t2/weblog/ taking with tramadol vicoden , http://www.earthday.org/users/52440 tramadol sale no required prescription , http://scouts1.org/tramadol3t2/weblog/ buy tramadol lowest price , http://www.theworldmindnetwork.net/profile/tramadol2t2 buy tramadol now online , http://www.vbs.tv/profiles/order_tramadol tramadol prescription cheap , http://www.theworldmindnetwork.net/profile/tramadol6t2 cheap tramadol cod saturday delivery , http://www.openoffice.org/nonav/issues/showattachment.cgi/72799/tramadol-cod.html tramadol and mixed hydrocodone , http://www.theworldmindnetwork.net/profile/tramadol7t2 tramadol pain pill side effects , -- tramadol hydrocodone dosage chart?
- 2 , http://www.openoffice.org/nonav/issues/showattachment.cgi/72797/tramadol-hcl.html ingredients in tramadol hcl , http://www.theworldmindnetwork.net/profile/tramadol4t2 tramadol hcl for anti depression , http://scouts1.org/tramadol8t2/weblog/ tramadol order online overnight shipping , http://independent.academia.edu/tramadolprescription tramadol with out prescriptions fedex and , http://scouts1.org/tramadol9t2/weblog/ what is generic tramadol for , http://scouts1.org/tramadol5t2/weblog/ tramadol saturday delivery prescription no , http://independent.academia.edu/buytramadol buy tramadol online c o d , http://forums.bleachexile.com/member.php?u=101986 medication tramadol hcl , http://www.openoffice.org/nonav/issues/showattachment.cgi/72794/tramadol-online.html tramadol online overnight shipping , http://www.theworldmindnetwork.net/profile/tramadol1t2 tramadol cheap free no overnight rx , -- generic for tramadol?
- 2 , http://www.theworldmindnetwork.net/profile/tramadol9t2 what is generic for tramadol , http://www.earthday.org/users/52432 overnight cheap tramadol , http://www.vbs.tv/profiles/tramadol_hcl_october_2010 ic tramadol 50 hcl mg , http://www.earthday.org/users/52436 tramadol cheapest us buy price online , http://forums.bleachexile.com/member.php?u=101984 4 tramadol buy , http://www.openoffice.org/nonav/issues/showattachment.cgi/72793/cheap-tramadol.html cheap tramadol cod free fedex , http://scouts1.org/tramadol10t2/weblog/ tramadol dosage dogs information , http://www.theworldmindnetwork.net/profile/tramadol3t2 buy retard tramadol , http://www.openoffice.org/nonav/issues/showattachment.cgi/72803/tramadol-dosage.html tramadol dosage max , http://www.earthday.org/users/52434 cod meds online tramadol ultram , -- 50mg tramadol dosage?
- 2 , http://www.openoffice.org/nonav/issues/showattachment.cgi/72800/tramadol-side-effects.html tramadol urine side effects , http://www.earthday.org/users/52438 hcl-acetaminophen tramadol , http://www.vbs.tv/profiles/tramadol_prescription_october_2010 buy no tramadol prescription , http://independent.academia.edu/cheaptramadol cheap presciption non tramadol , http://scouts1.org/tramadol1t2/weblog/ canadian pharmacy tramadol online , http://www.theworldmindnetwork.net/profile/tramadol8t2 is ordering tramadol illigial online , http://forums.bleachexile.com/member.php?u=101978 tramadol cheap rx no overnight , http://forums.bleachexile.com/member.php?u=101982 tramadol online medication , http://independent.academia.edu/tramadolonline is ordering tramadol online illegal , http://scouts1.org/tramadol7t2/weblog/ tramadol side effects animals on , -- 120 buy cheap tramadol tab?
- 4 , http://www.theworldmindnetwork.net/profile/tramadol5t2 tramadol no prescription pharmacy us , http://www.vbs.tv/profiles/buy_tramadol_october_2010 buy tramadol without , http://www.openoffice.org/nonav/issues/showattachment.cgi/72802/tramadol-generic.html when did tramadol generic go , http://scouts1.org/tramadol4t2/weblog/ hcl tramadol 5 , http://independent.academia.edu/tramadolhcl tramadol information hcl , http://scouts1.org/tramadol0t2/weblog/ cheap tramadol day 2 shipping , http://www.openoffice.org/nonav/issues/showattachment.cgi/72798/tramadol-prescription.html tramadol no prescription law dea , http://www.openoffice.org/nonav/issues/showattachment.cgi/72801/order-tramadol.html tramadol cod order , http://www.vbs.tv/profiles/tramadol_online_october_2010 tramadol discount online , http://forums.bleachexile.com/member.php?u=101987 no prescription next day delivery tramadol , -- prescription online tramadol?
- 4 , http://www.theworldmindnetwork.net/profile/tramadol10t2 canine tramadol dosage , http://www.openoffice.org/nonav/issues/showattachment.cgi/72795/buy-tramadol.html buy cheap online tramadol 35009 , http://scouts1.org/tramadol6t2/weblog/ rx cod tramadol , http://www.earthday.org/users/52440 buy tramadol online without prescription a , http://scouts1.org/tramadol3t2/weblog/ buy from pharmcy tramadol , http://www.theworldmindnetwork.net/profile/tramadol2t2 roomed tramadol online , http://www.vbs.tv/profiles/order_tramadol buy tramadol cheap medication 35009 , http://www.theworldmindnetwork.net/profile/tramadol6t2 tramadol cod saturday , http://www.openoffice.org/nonav/issues/showattachment.cgi/72799/tramadol-cod.html allergy codeine tramadol , http://www.theworldmindnetwork.net/profile/tramadol7t2 tramadol side effects , -- tramadol 180 cheap?
- 3 , http://www.openoffice.org/nonav/issues/showattachment.cgi/72797/tramadol-hcl.html is tramadol a hcl narcotic , http://www.theworldmindnetwork.net/profile/tramadol4t2 tramadol hcl 200mg about , http://scouts1.org/tramadol8t2/weblog/ tramadol and disorder bipolar , http://independent.academia.edu/tramadolprescription tramadol no required prescription , http://scouts1.org/tramadol9t2/weblog/ what is generic tramadol ultram , http://scouts1.org/tramadol5t2/weblog/ order cheap tramadol no needed prescription , http://independent.academia.edu/buytramadol buy tramadol cod pay , http://forums.bleachexile.com/member.php?u=101986 tramadol hcl medicine veterinarian , http://www.openoffice.org/nonav/issues/showattachment.cgi/72794/tramadol-online.html tramadol online shipping fedex $117.00 , http://www.theworldmindnetwork.net/profile/tramadol1t2 cheap tramadol free with shipping , -- no prescription pharmacy tramadol online?
- 2 , http://www.theworldmindnetwork.net/profile/tramadol9t2 tramadol overseas generic , http://www.earthday.org/users/52432 cheapest tramadol day next delivery , http://www.vbs.tv/profiles/tramadol_hcl_october_2010 what is hcl tramadol , http://www.earthday.org/users/52436 tramadol buy $85 , http://forums.bleachexile.com/member.php?u=101984 buy tramadol online pharmacy saturday delivery , http://www.openoffice.org/nonav/issues/showattachment.cgi/72793/cheap-tramadol.html tramadol cheap 32 , http://scouts1.org/tramadol10t2/weblog/ tramadol canine dogs dosage , http://www.theworldmindnetwork.net/profile/tramadol3t2 buy retard tramadol , http://www.openoffice.org/nonav/issues/showattachment.cgi/72803/tramadol-dosage.html tramadol dosage pictures , http://www.earthday.org/users/52434 cheap tramadol online , -- buy tramadol overnight?
- 2 , http://www.openoffice.org/nonav/issues/showattachment.cgi/72800/tramadol-side-effects.html tramadol urine side effects , http://www.earthday.org/users/52438 tramadol hcl sr 100mg , http://www.vbs.tv/profiles/tramadol_prescription_october_2010 tramadol no dea prescription law , http://independent.academia.edu/cheaptramadol cheap non prescription tramadol , http://scouts1.org/tramadol1t2/weblog/ buy tramadol online , http://www.theworldmindnetwork.net/profile/tramadol8t2 tramadol and eye disorders , http://forums.bleachexile.com/member.php?u=101978 cheap tramadol prescriptions online card discover , http://forums.bleachexile.com/member.php?u=101982 buy online tramadol no prescription , http://independent.academia.edu/tramadolonline tramadol online no prescription cod , http://scouts1.org/tramadol7t2/weblog/ bad side effects from tramadol , -- cod meds online ultram tramadol?
- 4 , http://www.theworldmindnetwork.net/profile/tramadol5t2 purchase tramadol without online prescription , http://www.vbs.tv/profiles/buy_tramadol_october_2010 buy tramadol cash , http://www.openoffice.org/nonav/issues/showattachment.cgi/72802/tramadol-generic.html generic drug identification pill identifier tramadol , http://scouts1.org/tramadol4t2/weblog/ tramadol hcl drug food administration and , http://independent.academia.edu/tramadolhcl getting high with hcl tramadol , http://scouts1.org/tramadol0t2/weblog/ tramadol cod cheap , http://www.openoffice.org/nonav/issues/showattachment.cgi/72798/tramadol-prescription.html buy tramadol cheap prescription no , http://www.openoffice.org/nonav/issues/showattachment.cgi/72801/order-tramadol.html tramadol and eye disorders , http://www.vbs.tv/profiles/tramadol_online_october_2010 online tramadol overnight , http://forums.bleachexile.com/member.php?u=101987 tramadol no prescription overnight , -- matrix tramadol hcl 50 mg?
- 4 , http://www.theworldmindnetwork.net/profile/tramadol10t2 canine tramadol dosage correct , http://www.openoffice.org/nonav/issues/showattachment.cgi/72795/buy-tramadol.html buy tramadol 180 tabs free shipping , http://scouts1.org/tramadol6t2/weblog/ tramadol ultram cod , http://www.earthday.org/users/52440 purchase without tramadol prescription , http://scouts1.org/tramadol3t2/weblog/ tramadol buy florida , http://www.theworldmindnetwork.net/profile/tramadol2t2 medication tramadol online , http://www.vbs.tv/profiles/order_tramadol tramadol 180 cheap ct 89.00 , http://www.theworldmindnetwork.net/profile/tramadol6t2 meds tramadol cod , http://www.openoffice.org/nonav/issues/showattachment.cgi/72799/tramadol-cod.html delivered tramadol cod , http://www.theworldmindnetwork.net/profile/tramadol7t2 tramadol 50mg side effects , -- side effects of apap tramadol?
- 2 , http://www.openoffice.org/nonav/issues/showattachment.cgi/72797/tramadol-hcl.html tramadol hcl 50 mg for dogs , http://www.theworldmindnetwork.net/profile/tramadol4t2 tramadol 50mg hcl , http://scouts1.org/tramadol8t2/weblog/ tramadol orders , http://independent.academia.edu/tramadolprescription prescription online tramadol , http://scouts1.org/tramadol9t2/weblog/ generic tablet tramadol , http://scouts1.org/tramadol5t2/weblog/ tramadol cheap fast prescription no , http://independent.academia.edu/buytramadol buy tramadol 180 cod , http://forums.bleachexile.com/member.php?u=101986 snorting tramadol hcl , http://www.openoffice.org/nonav/issues/showattachment.cgi/72794/tramadol-online.html sorry tramadol online , http://www.theworldmindnetwork.net/profile/tramadol1t2 buy tramadol cheaply , -- 90 tramadol pills cheapest?
- 3 , http://www.theworldmindnetwork.net/profile/tramadol9t2 generic drug identification pill tramadol identifier , http://www.earthday.org/users/52432 buy tramadol online cheap , http://www.vbs.tv/profiles/tramadol_hcl_october_2010 tramadol hcl and percocet , http://www.earthday.org/users/52436 buy site tramadol , http://forums.bleachexile.com/member.php?u=101984 tramadol buying online , http://www.openoffice.org/nonav/issues/showattachment.cgi/72793/cheap-tramadol.html no prescription tramadol cheapest , http://scouts1.org/tramadol10t2/weblog/ tramadol and dosage administration , http://www.theworldmindnetwork.net/profile/tramadol3t2 buy pills online tramadol , http://www.openoffice.org/nonav/issues/showattachment.cgi/72803/tramadol-dosage.html dosage tramadol of hydrochloride , http://www.earthday.org/users/52434 is ordering tramadol online illegal , -- tramadol hcl medicine veterinarian?
- 3 , http://www.openoffice.org/nonav/issues/showattachment.cgi/72800/tramadol-side-effects.html side effects of hydrochloride tramadol , http://www.earthday.org/users/52438 tramadol hcl 50 for mg dogs , http://www.vbs.tv/profiles/tramadol_prescription_october_2010 tramadol withot a prescription , http://independent.academia.edu/cheaptramadol cheap tramadol saturday cod delivery , http://scouts1.org/tramadol1t2/weblog/ saturday delivery online tramadol , http://www.theworldmindnetwork.net/profile/tramadol8t2 order tramadol 180 , http://forums.bleachexile.com/member.php?u=101978 cheap prescription non tramadol , http://forums.bleachexile.com/member.php?u=101982 tramadol online no prior , http://independent.academia.edu/tramadolonline cod meds online ultram tramadol , http://scouts1.org/tramadol7t2/weblog/ side effects dog tramadol , -- tramadol apap side effects?
- 2 , http://www.theworldmindnetwork.net/profile/tramadol5t2 tramadol on line prescription no , http://www.vbs.tv/profiles/buy_tramadol_october_2010 tramadol buy cheaply , http://www.openoffice.org/nonav/issues/showattachment.cgi/72802/tramadol-generic.html generic sale companies tramadol , http://scouts1.org/tramadol4t2/weblog/ is tramadol a hcl narcotic , http://independent.academia.edu/tramadolhcl ingredients in hcl tramadol , http://scouts1.org/tramadol0t2/weblog/ cheap very tramadol , http://www.openoffice.org/nonav/issues/showattachment.cgi/72798/tramadol-prescription.html tramadol prescription no fed-ex , http://www.openoffice.org/nonav/issues/showattachment.cgi/72801/order-tramadol.html tramadol cod orders , http://www.vbs.tv/profiles/tramadol_online_october_2010 is online tramadol illegal , http://forums.bleachexile.com/member.php?u=101987 buy online no tramadol prescription , -- tramadol no prescription overnight delivery?
- 2 , http://www.theworldmindnetwork.net/profile/tramadol10t2 tramadol hydrocodone chart dosage , http://www.openoffice.org/nonav/issues/showattachment.cgi/72795/buy-tramadol.html buy tramadol c o d , http://scouts1.org/tramadol6t2/weblog/ tramadol cod order , http://www.earthday.org/users/52440 tramadol no dea prescription law , http://scouts1.org/tramadol3t2/weblog/ buy tramadol , http://www.theworldmindnetwork.net/profile/tramadol2t2 tramadol order overnight online shipping , http://www.vbs.tv/profiles/order_tramadol cheap india tramadol , http://www.theworldmindnetwork.net/profile/tramadol6t2 cod saturday tramadol delivery , http://www.openoffice.org/nonav/issues/showattachment.cgi/72799/tramadol-cod.html rx cod tramadol , http://www.theworldmindnetwork.net/profile/tramadol7t2 tramadol side effects canine dogs , -- side effects tramadol of hcl?
- 4 , http://www.openoffice.org/nonav/issues/showattachment.cgi/72797/tramadol-hcl.html hcl tramadol acetaminophe , http://www.theworldmindnetwork.net/profile/tramadol4t2 tramadol hcl site , http://scouts1.org/tramadol8t2/weblog/ tramadol and disorder metabolic , http://independent.academia.edu/tramadolprescription buy tramadol without cheap prescription , http://scouts1.org/tramadol9t2/weblog/ generic companies sale tramadol , http://scouts1.org/tramadol5t2/weblog/ no prescription next tramadol day , http://independent.academia.edu/buytramadol career in finance buy tramadol , http://forums.bleachexile.com/member.php?u=101986 tramadol ic hcl-acetaminophen , http://www.openoffice.org/nonav/issues/showattachment.cgi/72794/tramadol-online.html cheapest tramadol online , http://www.theworldmindnetwork.net/profile/tramadol1t2 buy tramadol at price cheap online , -- generic of versions tramadol?
- 4 , http://www.theworldmindnetwork.net/profile/tramadol9t2 tramadol generics , http://www.earthday.org/users/52432 cheap tramadol with overnight free shpping , http://www.vbs.tv/profiles/tramadol_hcl_october_2010 tramadol hcl 50 drug mg forum , http://www.earthday.org/users/52436 buy cod tramadol , http://forums.bleachexile.com/member.php?u=101984 career in finance buy tramadol , http://www.openoffice.org/nonav/issues/showattachment.cgi/72793/cheap-tramadol.html tramadol cheap cod saturday , http://scouts1.org/tramadol10t2/weblog/ tramadol hydrochloride for dogs dosage , http://www.theworldmindnetwork.net/profile/tramadol3t2 buy no tramadol perscription , http://www.openoffice.org/nonav/issues/showattachment.cgi/72803/tramadol-dosage.html tramadol canada dosage cats , http://www.earthday.org/users/52434 compare online tramadol price , -- tramadol dosage and side effects?
- 3 , http://www.openoffice.org/nonav/issues/showattachment.cgi/72800/tramadol-side-effects.html side effects tramadol on , http://www.earthday.org/users/52438 tramadol tab hcl 50mg , http://www.vbs.tv/profiles/tramadol_prescription_october_2010 buy online no tramadol prescription , http://independent.academia.edu/cheaptramadol tramadol cheap cod , http://scouts1.org/tramadol1t2/weblog/ tramadol online overnight no prescription , http://www.theworldmindnetwork.net/profile/tramadol8t2 order next tramadol day , http://forums.bleachexile.com/member.php?u=101978 cheapest tramadol online available , http://forums.bleachexile.com/member.php?u=101982 cheapest tramadol online no needed prescription , http://independent.academia.edu/tramadolonline overnight tramadol online , http://scouts1.org/tramadol7t2/weblog/ drug side effects clots blood tramadol , -- tramadol overnight online delivery prescription?
- 3 , http://www.theworldmindnetwork.net/profile/tramadol5t2 tramadol cheap prescription , http://www.vbs.tv/profiles/buy_tramadol_october_2010 best buy tramadol , http://www.openoffice.org/nonav/issues/showattachment.cgi/72802/tramadol-generic.html tramadol generics , http://scouts1.org/tramadol4t2/weblog/ tramadol acetaminophe hcl , http://independent.academia.edu/tramadolhcl tramadol hcl 50mg myl tablet , http://scouts1.org/tramadol0t2/weblog/ cheap tramadol prescription , http://www.openoffice.org/nonav/issues/showattachment.cgi/72798/tramadol-prescription.html tramadol no cheap prescription , http://www.openoffice.org/nonav/issues/showattachment.cgi/72801/order-tramadol.html $85 reorder tramadol , http://www.vbs.tv/profiles/tramadol_online_october_2010 tramadol prescription no online , http://forums.bleachexile.com/member.php?u=101987 order tramadol prescription without , -- no prescription cheapest tramadol?
- 3 , http://www.theworldmindnetwork.net/profile/tramadol10t2 tramadol dog dosage , http://www.openoffice.org/nonav/issues/showattachment.cgi/72795/buy-tramadol.html tramadol buying online , http://scouts1.org/tramadol6t2/weblog/ fedex overnight delivery ultram tramadol codeine , http://www.earthday.org/users/52440 tramadol no oline prescription , http://scouts1.org/tramadol3t2/weblog/ tramadol buy cheap , http://www.theworldmindnetwork.net/profile/tramadol2t2 tramadol buy online , http://www.vbs.tv/profiles/order_tramadol buy cheap tramadol 35 online , http://www.theworldmindnetwork.net/profile/tramadol6t2 cod order tramadol , http://www.openoffice.org/nonav/issues/showattachment.cgi/72799/tramadol-cod.html tramadol ordering cod , http://www.theworldmindnetwork.net/profile/tramadol7t2 tramadol side effects humans in , -- buy ups tramadol delivered?
- 4 , http://www.openoffice.org/nonav/issues/showattachment.cgi/72797/tramadol-hcl.html is hcl tramadol anti-inflammatory , http://www.theworldmindnetwork.net/profile/tramadol4t2 medicine hcl tramadol , http://scouts1.org/tramadol8t2/weblog/ tramadol bipolar and disorder , http://independent.academia.edu/tramadolprescription purchase tramadol without prescription , http://scouts1.org/tramadol9t2/weblog/ generic mexican tramadol pictures , http://scouts1.org/tramadol5t2/weblog/ buy no tramadol prescription , http://independent.academia.edu/buytramadol 120 buy tab cheap tramadol , http://forums.bleachexile.com/member.php?u=101986 tramadol acetaminophe hcl , http://www.openoffice.org/nonav/issues/showattachment.cgi/72794/tramadol-online.html buy cheap tramadol online 35009 , http://www.theworldmindnetwork.net/profile/tramadol1t2 no prescription cheapest tramadol , -- buy online tramadol cod?
- 3 , http://www.theworldmindnetwork.net/profile/tramadol9t2 generic tablet tramadol , http://www.earthday.org/users/52432 cheap discount online tramadol , http://www.vbs.tv/profiles/tramadol_hcl_october_2010 side affectsof hcl tramadol , http://www.earthday.org/users/52436 buy tramadol 100mg online , http://forums.bleachexile.com/member.php?u=101984 buy cheap tramadol online 35 , http://www.openoffice.org/nonav/issues/showattachment.cgi/72793/cheap-tramadol.html buy tramadol cheap medication 35009 , http://scouts1.org/tramadol10t2/weblog/ tramadol vet dosage , http://www.theworldmindnetwork.net/profile/tramadol3t2 buy tramadol dog uk , http://www.openoffice.org/nonav/issues/showattachment.cgi/72803/tramadol-dosage.html canine tramadol dosage , http://www.earthday.org/users/52434 buy tramadol without online prescription , -- prescriptions tramadol cheap online?
- 4 , http://www.openoffice.org/nonav/issues/showattachment.cgi/72800/tramadol-side-effects.html side effects dogs tramadol , http://www.earthday.org/users/52438 rfm tramadol hcl 50mg , http://www.vbs.tv/profiles/tramadol_prescription_october_2010 tramadol prescription without , http://independent.academia.edu/cheaptramadol prescriptions cheap online tramadol , http://scouts1.org/tramadol1t2/weblog/ buy tramadol now online , http://www.theworldmindnetwork.net/profile/tramadol8t2 order tramadol with no presecription , http://forums.bleachexile.com/member.php?u=101978 tramadol cheap free overnight no rx , http://forums.bleachexile.com/member.php?u=101982 tramadol online overnight no prescription , http://independent.academia.edu/tramadolonline tramadol online delivery saturday , http://scouts1.org/tramadol7t2/weblog/ tramadol dogs side effects , -- side effects of tramadol ultram?
- 2 , http://www.theworldmindnetwork.net/profile/tramadol5t2 order without tramadol prescription , http://www.vbs.tv/profiles/buy_tramadol_october_2010 buy tramadol online without prescription a , http://www.openoffice.org/nonav/issues/showattachment.cgi/72802/tramadol-generic.html what is for generic tramadol , http://scouts1.org/tramadol4t2/weblog/ tramadol hcl 50mg myl tablet , http://independent.academia.edu/tramadolhcl tramadol overdose hcl , http://scouts1.org/tramadol0t2/weblog/ no tramadol rx cheap , http://www.openoffice.org/nonav/issues/showattachment.cgi/72798/tramadol-prescription.html no prescription dhl delivered tramadol , http://www.openoffice.org/nonav/issues/showattachment.cgi/72801/order-tramadol.html order overnight tramadol , http://www.vbs.tv/profiles/tramadol_online_october_2010 tramadol online showed , http://forums.bleachexile.com/member.php?u=101987 tramadol overnight delivery prescription online , -- list of drug companies tramadol generic?
- 3 , http://www.theworldmindnetwork.net/profile/tramadol10t2 typical dosage tramadol for , http://www.openoffice.org/nonav/issues/showattachment.cgi/72795/buy-tramadol.html buy tramadol no perscription , http://scouts1.org/tramadol6t2/weblog/ is tramadol or hydrocodone addictive more , http://www.earthday.org/users/52440 tramadol pain killer a without prescription , http://scouts1.org/tramadol3t2/weblog/ buy tramadol ultram , http://www.theworldmindnetwork.net/profile/tramadol2t2 cod tramadol fedex online , http://www.vbs.tv/profiles/order_tramadol cheap tramadol site , http://www.theworldmindnetwork.net/profile/tramadol6t2 vs tramadol hydrocodine , http://www.openoffice.org/nonav/issues/showattachment.cgi/72799/tramadol-cod.html tramadol buy cod pay , http://www.theworldmindnetwork.net/profile/tramadol7t2 drug side effects tramadol in dogs , -- tramadol side effects forum numbness?
- 4 , http://www.veoh.com/forum/showthread.php/1185-Cheap-tramadol-(October-2010) cheapest tramadol prescription without , http://www.veoh.com/forum/showthread.php/1187-Tramadol-online-(October-2010) buying online tramadol legal , http://www.veoh.com/forum/showthread.php/1189-Buy-tramadol-(October-2010) buy tramadol medication cheap 35009 , http://www.veoh.com/forum/showthread.php/1190-Tramadol-hcl-(October-2010) g e tramadol hcl , http://www.veoh.com/forum/showthread.php/1191-Tramadol-prescription-(October-2010) tramadol prescription times expiration , http://www.veoh.com/forum/showthread.php/1192-Tramadol-cod-(October-2010) hydrocodone tramadol side combonation effects , http://www.veoh.com/forum/showthread.php/1193-Tramadol-side-effects-(October-2010) side effects of and tramadol alcohol , http://www.veoh.com/forum/showthread.php/1195-Order-tramadol-(October-2010) tramadol money with order , http://www.veoh.com/forum/showthread.php/1197-Tramadol-generic-(October-2010) generic or tramadol ultram , http://www.veoh.com/forum/showthread.php/1198-Tramadol-dosage-(October-2010) drug tramadol dosage by weight , -- health solutions tramadol network order?
- 3 , http://www.veoh.com/forum/showthread.php/1165-Cheap-tramadol-(October-2010) cheap tramadol sales 120 tabs , http://www.veoh.com/forum/showthread.php/1169-Tramadol-online-(October-2010) tramadol online no overnight prescription , http://www.veoh.com/forum/showthread.php/1171-Buy-tramadol-(October-2010) ataxia buy es tramadol , http://www.veoh.com/forum/showthread.php/1172-Tramadol-hcl-(October-2010) g tramadol e hcl , http://www.veoh.com/forum/showthread.php/1175-Tramadol-prescription-(October-2010) tramadol no dea prescription law , http://www.veoh.com/forum/showthread.php/1176-Tramadol-cod-(October-2010) codeine tramadol , http://www.veoh.com/forum/showthread.php/1178-Tramadol-side-effects-(October-2010) side effects of tramadol pets in , http://www.veoh.com/forum/showthread.php/1179-Order-tramadol-(October-2010) is ordering tramadol illigal online , http://www.veoh.com/forum/showthread.php/1181-Tramadol-generic-(October-2010) generic for tramadol , http://www.veoh.com/forum/showthread.php/1183-Tramadol-dosage-(October-2010) tramadol veterinary and dosage , -- drug tramadol dosage weight by?
- 2 , http://www.veoh.com/forum/showthread.php/1185-Cheap-tramadol-(October-2010) cheap tramadol with overnight free shipping , http://www.veoh.com/forum/showthread.php/1187-Tramadol-online-(October-2010) is ordering tramadol online illegal , http://www.veoh.com/forum/showthread.php/1189-Buy-tramadol-(October-2010) buying tramadol cod , http://www.veoh.com/forum/showthread.php/1190-Tramadol-hcl-(October-2010) what is hcl tramadol , http://www.veoh.com/forum/showthread.php/1191-Tramadol-prescription-(October-2010) tramadol prescription times expiration , http://www.veoh.com/forum/showthread.php/1192-Tramadol-cod-(October-2010) cod order tramadol , http://www.veoh.com/forum/showthread.php/1193-Tramadol-side-effects-(October-2010) side effects of tramadol dogs for , http://www.veoh.com/forum/showthread.php/1195-Order-tramadol-(October-2010) tramadol orders , http://www.veoh.com/forum/showthread.php/1197-Tramadol-generic-(October-2010) generic 25mg tramadol , http://www.veoh.com/forum/showthread.php/1198-Tramadol-dosage-(October-2010) tramadol dosage information , -- tramadol paracetamol dolcet side effects?
- 3 , http://www.veoh.com/forum/showthread.php/1165-Cheap-tramadol-(October-2010) tramadol cheap cod saturday , http://www.veoh.com/forum/showthread.php/1169-Tramadol-online-(October-2010) is ordering tramadol illigal online , http://www.veoh.com/forum/showthread.php/1171-Buy-tramadol-(October-2010) buy online tramadol no prescription , http://www.veoh.com/forum/showthread.php/1172-Tramadol-hcl-(October-2010) gruen hcl tramadol , http://www.veoh.com/forum/showthread.php/1175-Tramadol-prescription-(October-2010) no prescription online tramadol pharmacy , http://www.veoh.com/forum/showthread.php/1176-Tramadol-cod-(October-2010) and hydrocodone tramadol , http://www.veoh.com/forum/showthread.php/1178-Tramadol-side-effects-(October-2010) tramadol side effects , http://www.veoh.com/forum/showthread.php/1179-Order-tramadol-(October-2010) ordering tramadol only , http://www.veoh.com/forum/showthread.php/1181-Tramadol-generic-(October-2010) ultram tramadol generic , http://www.veoh.com/forum/showthread.php/1183-Tramadol-dosage-(October-2010) hcl tramadol dosage , -- tramadol hcl medicine veterinarian?
- 3 , http://www.veoh.com/forum/showthread.php/1185-Cheap-tramadol-(October-2010) no tramadol rx cheap , http://www.veoh.com/forum/showthread.php/1187-Tramadol-online-(October-2010) feelings tramadol online , http://www.veoh.com/forum/showthread.php/1189-Buy-tramadol-(October-2010) buy tramadol 180 free tabs shipping , http://www.veoh.com/forum/showthread.php/1190-Tramadol-hcl-(October-2010) what is tramadol hcl , http://www.veoh.com/forum/showthread.php/1191-Tramadol-prescription-(October-2010) get tramadol online prescription , http://www.veoh.com/forum/showthread.php/1192-Tramadol-cod-(October-2010) tramadol codeine and allergy , http://www.veoh.com/forum/showthread.php/1193-Tramadol-side-effects-(October-2010) tramadol side effects paranoia , http://www.veoh.com/forum/showthread.php/1195-Order-tramadol-(October-2010) overseas tramadol order online , http://www.veoh.com/forum/showthread.php/1197-Tramadol-generic-(October-2010) generic acetaminophen tramadol tablets , http://www.veoh.com/forum/showthread.php/1198-Tramadol-dosage-(October-2010) tramadol dosage max , -- canadian pharmacy tramadol online?
- 3 , http://www.veoh.com/forum/showthread.php/1165-Cheap-tramadol-(October-2010) 60 pills tramadol cheapest , http://www.veoh.com/forum/showthread.php/1169-Tramadol-online-(October-2010) online tramadol om , http://www.veoh.com/forum/showthread.php/1171-Buy-tramadol-(October-2010) buy ct 180 tramadol , http://www.veoh.com/forum/showthread.php/1172-Tramadol-hcl-(October-2010) tramadol k-9 hcl , http://www.veoh.com/forum/showthread.php/1175-Tramadol-prescription-(October-2010) no prescription tramadol drugstore , http://www.veoh.com/forum/showthread.php/1176-Tramadol-cod-(October-2010) compare vicodin tramadol , http://www.veoh.com/forum/showthread.php/1178-Tramadol-side-effects-(October-2010) tramadol side effects forum numbness , http://www.veoh.com/forum/showthread.php/1179-Order-tramadol-(October-2010) tramadol saturday order request , http://www.veoh.com/forum/showthread.php/1181-Tramadol-generic-(October-2010) tramadol generic ultram , http://www.veoh.com/forum/showthread.php/1183-Tramadol-dosage-(October-2010) effective dosage of tramadol , -- is ordering tramadol online illigial?
- 4 , http://www.veoh.com/forum/showthread.php/1185-Cheap-tramadol-(October-2010) cheap very tramadol , http://www.veoh.com/forum/showthread.php/1187-Tramadol-online-(October-2010) cheapest tramadol available 80 online off , http://www.veoh.com/forum/showthread.php/1189-Buy-tramadol-(October-2010) buy tramadol no rx , http://www.veoh.com/forum/showthread.php/1190-Tramadol-hcl-(October-2010) k-9 tramadol hcl , http://www.veoh.com/forum/showthread.php/1191-Tramadol-prescription-(October-2010) cheap tramadol without prescription 100mg , http://www.veoh.com/forum/showthread.php/1192-Tramadol-cod-(October-2010) what is stronger tramadol vicodin or , http://www.veoh.com/forum/showthread.php/1193-Tramadol-side-effects-(October-2010) tramadol side effects numbness forum , http://www.veoh.com/forum/showthread.php/1195-Order-tramadol-(October-2010) keyword free shipping tramadol on orders , http://www.veoh.com/forum/showthread.php/1197-Tramadol-generic-(October-2010) generic tramadol acetaminophen tablets , http://www.veoh.com/forum/showthread.php/1198-Tramadol-dosage-(October-2010) 50mg tramadol dosage , -- order tramadol ultram?
- 3 , http://www.veoh.com/forum/showthread.php/1165-Cheap-tramadol-(October-2010) cheap tramadol prescription no , http://www.veoh.com/forum/showthread.php/1169-Tramadol-online-(October-2010) online tramadol cod , http://www.veoh.com/forum/showthread.php/1171-Buy-tramadol-(October-2010) buy pay tramadol cod , http://www.veoh.com/forum/showthread.php/1172-Tramadol-hcl-(October-2010) matrix tramadol 50 hcl mg , http://www.veoh.com/forum/showthread.php/1175-Tramadol-prescription-(October-2010) cheapest tramadol online no needed prescription , http://www.veoh.com/forum/showthread.php/1176-Tramadol-cod-(October-2010) buy tramadol cod , http://www.veoh.com/forum/showthread.php/1178-Tramadol-side-effects-(October-2010) side effects of tramadol in pets , http://www.veoh.com/forum/showthread.php/1179-Order-tramadol-(October-2010) order tramadol , http://www.veoh.com/forum/showthread.php/1181-Tramadol-generic-(October-2010) for generic tramadol , http://www.veoh.com/forum/showthread.php/1183-Tramadol-dosage-(October-2010) tramadol dosage canine , -- generic of versions tramadol?
- 3 , http://www.veoh.com/forum/showthread.php/1185-Cheap-tramadol-(October-2010) online cheap tramadol day next shipping , http://www.veoh.com/forum/showthread.php/1187-Tramadol-online-(October-2010) tramadol online backward , http://www.veoh.com/forum/showthread.php/1189-Buy-tramadol-(October-2010) ataxia es tramadol buy , http://www.veoh.com/forum/showthread.php/1190-Tramadol-hcl-(October-2010) tramadol 50mr hcl , http://www.veoh.com/forum/showthread.php/1191-Tramadol-prescription-(October-2010) no prescription next tramadol day , http://www.veoh.com/forum/showthread.php/1192-Tramadol-cod-(October-2010) mix tramadol hydrocodone and , http://www.veoh.com/forum/showthread.php/1193-Tramadol-side-effects-(October-2010) benefits and side effects tramadol rx , http://www.veoh.com/forum/showthread.php/1195-Order-tramadol-(October-2010) tramadol cod overnight order , http://www.veoh.com/forum/showthread.php/1197-Tramadol-generic-(October-2010) what is generic tramadol ultram , http://www.veoh.com/forum/showthread.php/1198-Tramadol-dosage-(October-2010) tramadol dosage 50mg , -- buy tramadol 30 credit day?
- 2 , http://www.veoh.com/forum/showthread.php/1165-Cheap-tramadol-(October-2010) cheap tramadol saturday overnight delivery , http://www.veoh.com/forum/showthread.php/1169-Tramadol-online-(October-2010) earnestly tramadol online , http://www.veoh.com/forum/showthread.php/1171-Buy-tramadol-(October-2010) 4 tramadol buy , http://www.veoh.com/forum/showthread.php/1172-Tramadol-hcl-(October-2010) what is in tramadol 50mg hcl , http://www.veoh.com/forum/showthread.php/1175-Tramadol-prescription-(October-2010) no prescription online tramadol pharmacy , http://www.veoh.com/forum/showthread.php/1176-Tramadol-cod-(October-2010) tramadol buy pay cod , http://www.veoh.com/forum/showthread.php/1178-Tramadol-side-effects-(October-2010) side effects palpitations tramadol , http://www.veoh.com/forum/showthread.php/1179-Order-tramadol-(October-2010) ordering tramadol , http://www.veoh.com/forum/showthread.php/1181-Tramadol-generic-(October-2010) ultram tramadol generic , http://www.veoh.com/forum/showthread.php/1183-Tramadol-dosage-(October-2010) tramadol dosage max , -- dosages tramadol?
- 3 , http://www.veoh.com/forum/showthread.php/1185-Cheap-tramadol-(October-2010) very cheap tramadol cod , http://www.veoh.com/forum/showthread.php/1187-Tramadol-online-(October-2010) tramadol online shipping fedex $117.00 , http://www.veoh.com/forum/showthread.php/1189-Buy-tramadol-(October-2010) buy tramadol online o c d , http://www.veoh.com/forum/showthread.php/1190-Tramadol-hcl-(October-2010) tramadol hcl is narcodic it , http://www.veoh.com/forum/showthread.php/1191-Tramadol-prescription-(October-2010) prescription drugs tramadol , http://www.veoh.com/forum/showthread.php/1192-Tramadol-cod-(October-2010) tramadol codeine versus , http://www.veoh.com/forum/showthread.php/1193-Tramadol-side-effects-(October-2010) tramadol med in dog side effects , http://www.veoh.com/forum/showthread.php/1195-Order-tramadol-(October-2010) ordering tramadol canada to , http://www.veoh.com/forum/showthread.php/1197-Tramadol-generic-(October-2010) order cheap generic online tramadol , http://www.veoh.com/forum/showthread.php/1198-Tramadol-dosage-(October-2010) dosages tramadol , -- tramadol hcl 50 arthritis mg?
- 3 , http://www.veoh.com/forum/showthread.php/1165-Cheap-tramadol-(October-2010) cheap tramadol 2 shipping day , http://www.veoh.com/forum/showthread.php/1169-Tramadol-online-(October-2010) tramadol rx life online , http://www.veoh.com/forum/showthread.php/1171-Buy-tramadol-(October-2010) tramadol cheapest us price online buy , http://www.veoh.com/forum/showthread.php/1172-Tramadol-hcl-(October-2010) what is hcl tramadol , http://www.veoh.com/forum/showthread.php/1175-Tramadol-prescription-(October-2010) cheap tramadol saturday delivery prescription no , http://www.veoh.com/forum/showthread.php/1176-Tramadol-cod-(October-2010) cod accepted orders tramadol for , http://www.veoh.com/forum/showthread.php/1178-Tramadol-side-effects-(October-2010) side effects of hcl tramadol , http://www.veoh.com/forum/showthread.php/1179-Order-tramadol-(October-2010) orders tramadol , http://www.veoh.com/forum/showthread.php/1181-Tramadol-generic-(October-2010) generic tramadol ultram or , http://www.veoh.com/forum/showthread.php/1183-Tramadol-dosage-(October-2010) tramadol dosage and , -- tramadol acetaminophen hcl car?
- 3 , http://www.veoh.com/forum/showthread.php/1185-Cheap-tramadol-(October-2010) order cheap generic tramadol online , http://www.veoh.com/forum/showthread.php/1187-Tramadol-online-(October-2010) cheapest tramadol online , http://www.veoh.com/forum/showthread.php/1189-Buy-tramadol-(October-2010) buy tramadol site add , http://www.veoh.com/forum/showthread.php/1190-Tramadol-hcl-(October-2010) tramadol hcl 50 for mg dogs , http://www.veoh.com/forum/showthread.php/1191-Tramadol-prescription-(October-2010) buy tramadol without cheap prescription , http://www.veoh.com/forum/showthread.php/1192-Tramadol-cod-(October-2010) mix vicodin tramadol and , http://www.veoh.com/forum/showthread.php/1193-Tramadol-side-effects-(October-2010) canine tramadol side effects , http://www.veoh.com/forum/showthread.php/1195-Order-tramadol-(October-2010) tramadol cod order overnight , http://www.veoh.com/forum/showthread.php/1197-Tramadol-generic-(October-2010) list of strongest generic tramadol , http://www.veoh.com/forum/showthread.php/1198-Tramadol-dosage-(October-2010) tramadol and dosage , -- tramadol versus pregnancy vicodin?
- 2 , http://www.veoh.com/forum/showthread.php/1165-Cheap-tramadol-(October-2010) very cheap tramadol cod , http://www.veoh.com/forum/showthread.php/1169-Tramadol-online-(October-2010) tramadol online fedex $117.00 shipping , http://www.veoh.com/forum/showthread.php/1171-Buy-tramadol-(October-2010) buy tramadol $75 50mg , http://www.veoh.com/forum/showthread.php/1172-Tramadol-hcl-(October-2010) medication tramadol hcl , http://www.veoh.com/forum/showthread.php/1175-Tramadol-prescription-(October-2010) cheap no tramadol prescription , http://www.veoh.com/forum/showthread.php/1176-Tramadol-cod-(October-2010) cod tramadol 180 , http://www.veoh.com/forum/showthread.php/1178-Tramadol-side-effects-(October-2010) side effects of on tramadol dogs , http://www.veoh.com/forum/showthread.php/1179-Order-tramadol-(October-2010) free shipping on tramadol orders , http://www.veoh.com/forum/showthread.php/1181-Tramadol-generic-(October-2010) tramadol overseas generic , http://www.veoh.com/forum/showthread.php/1183-Tramadol-dosage-(October-2010) tramadol dosage administration and , -- tramadol side effects numbness weakness ears?
- 3 , http://www.veoh.com/forum/showthread.php/1185-Cheap-tramadol-(October-2010) cheap prescription non tramadol , http://www.veoh.com/forum/showthread.php/1187-Tramadol-online-(October-2010) online tramadol overnight , http://www.veoh.com/forum/showthread.php/1189-Buy-tramadol-(October-2010) buy add tramadol site , http://www.veoh.com/forum/showthread.php/1190-Tramadol-hcl-(October-2010) what tramadol is hcl , http://www.veoh.com/forum/showthread.php/1191-Tramadol-prescription-(October-2010) no prescription next day tramadol , http://www.veoh.com/forum/showthread.php/1192-Tramadol-cod-(October-2010) postoperative care of tramadol versus codeine , http://www.veoh.com/forum/showthread.php/1193-Tramadol-side-effects-(October-2010) canine tramadol side effects , http://www.veoh.com/forum/showthread.php/1195-Order-tramadol-(October-2010) tramadol money with order , http://www.veoh.com/forum/showthread.php/1197-Tramadol-generic-(October-2010) generic tramadol mexican pictures , http://www.veoh.com/forum/showthread.php/1198-Tramadol-dosage-(October-2010) tramadol dosage side effects , -- cheap tramadol delivery free?
- 4 , http://www.veoh.com/forum/showthread.php/1165-Cheap-tramadol-(October-2010) cheap tramadol overseas pharmacy , http://www.veoh.com/forum/showthread.php/1169-Tramadol-online-(October-2010) tramadol online no prior next day , http://www.veoh.com/forum/showthread.php/1171-Buy-tramadol-(October-2010) buy online no tramadol prescription , http://www.veoh.com/forum/showthread.php/1172-Tramadol-hcl-(October-2010) tramadol hcl dosage , http://www.veoh.com/forum/showthread.php/1175-Tramadol-prescription-(October-2010) order tramadol no prescription cod payment , http://www.veoh.com/forum/showthread.php/1176-Tramadol-cod-(October-2010) buy dihydrocodeine debit tramadol card , http://www.veoh.com/forum/showthread.php/1178-Tramadol-side-effects-(October-2010) tramadol vet side effects , http://www.veoh.com/forum/showthread.php/1179-Order-tramadol-(October-2010) tramadol and metabolic disorder , http://www.veoh.com/forum/showthread.php/1181-Tramadol-generic-(October-2010) list of drug companies generic tramadol , http://www.veoh.com/forum/showthread.php/1183-Tramadol-dosage-(October-2010) tramadol dosage canada feline , -- cheap tramadol delivery free?
- 4 , http://www.veoh.com/forum/showthread.php/1185-Cheap-tramadol-(October-2010) tramadol cheap free fedex overnight , http://www.veoh.com/forum/showthread.php/1187-Tramadol-online-(October-2010) buy tramadol online c d o , http://www.veoh.com/forum/showthread.php/1189-Buy-tramadol-(October-2010) buy 150 tramadol overnight delivery , http://www.veoh.com/forum/showthread.php/1190-Tramadol-hcl-(October-2010) tramadol hcl 50 used mg for , http://www.veoh.com/forum/showthread.php/1191-Tramadol-prescription-(October-2010) order tramadol a without prescription , http://www.veoh.com/forum/showthread.php/1192-Tramadol-cod-(October-2010) ativan hydrocodone tramadol , http://www.veoh.com/forum/showthread.php/1193-Tramadol-side-effects-(October-2010) tramadol hcl side effects dangers , http://www.veoh.com/forum/showthread.php/1195-Order-tramadol-(October-2010) tramadol hsn order , http://www.veoh.com/forum/showthread.php/1197-Tramadol-generic-(October-2010) generic versions of tramadol , http://www.veoh.com/forum/showthread.php/1198-Tramadol-dosage-(October-2010) hcl tramadol dosage , -- generic versions of tramadol?
- 4 , http://www.veoh.com/forum/showthread.php/1165-Cheap-tramadol-(October-2010) cheap tramadol 2 day shipping , http://www.veoh.com/forum/showthread.php/1169-Tramadol-online-(October-2010) tramadol online no prior , http://www.veoh.com/forum/showthread.php/1171-Buy-tramadol-(October-2010) buy discount tramadol , http://www.veoh.com/forum/showthread.php/1172-Tramadol-hcl-(October-2010) tramadol hcl sr 100mg , http://www.veoh.com/forum/showthread.php/1175-Tramadol-prescription-(October-2010) buy tramadol cheap without prescription , http://www.veoh.com/forum/showthread.php/1176-Tramadol-cod-(October-2010) buy tramadol cod , http://www.veoh.com/forum/showthread.php/1178-Tramadol-side-effects-(October-2010) benefits and side effects tramadol rx , http://www.veoh.com/forum/showthread.php/1179-Order-tramadol-(October-2010) order tramadol now , http://www.veoh.com/forum/showthread.php/1181-Tramadol-generic-(October-2010) when did go tramadol generic , http://www.veoh.com/forum/showthread.php/1183-Tramadol-dosage-(October-2010) tramadol and veterinary dosage , -- cheap tramadol online?
- 4 , http://www.veoh.com/forum/showthread.php/1185-Cheap-tramadol-(October-2010) buy tramadol medication cheap 35009 , http://www.veoh.com/forum/showthread.php/1187-Tramadol-online-(October-2010) tramadol online delivery saturday , http://www.veoh.com/forum/showthread.php/1189-Buy-tramadol-(October-2010) ataxia buy es tramadol , http://www.veoh.com/forum/showthread.php/1190-Tramadol-hcl-(October-2010) snorting tramadol hcl , http://www.veoh.com/forum/showthread.php/1191-Tramadol-prescription-(October-2010) no prescription dhl tramadol delivered , http://www.veoh.com/forum/showthread.php/1192-Tramadol-cod-(October-2010) tramadol online cod payment , http://www.veoh.com/forum/showthread.php/1193-Tramadol-side-effects-(October-2010) tramadol paracetamol dolcet side effects , http://www.veoh.com/forum/showthread.php/1195-Order-tramadol-(October-2010) ordering tramadol collect delivery on , http://www.veoh.com/forum/showthread.php/1197-Tramadol-generic-(October-2010) generic 25mg tramadol , http://www.veoh.com/forum/showthread.php/1198-Tramadol-dosage-(October-2010) tramadol dosage , -- dosage tramadol human?
- 3 , http://www.veoh.com/forum/showthread.php/1165-Cheap-tramadol-(October-2010) order cheap tramadol prescription no needed , http://www.veoh.com/forum/showthread.php/1169-Tramadol-online-(October-2010) tramadol overnight online delivery prescription , http://www.veoh.com/forum/showthread.php/1171-Buy-tramadol-(October-2010) buy tramadol online o c d , http://www.veoh.com/forum/showthread.php/1172-Tramadol-hcl-(October-2010) tramadol hcl and percocet , http://www.veoh.com/forum/showthread.php/1175-Tramadol-prescription-(October-2010) tramadol cheap fast prescription no , http://www.veoh.com/forum/showthread.php/1176-Tramadol-cod-(October-2010) tramadol cod online payment , http://www.veoh.com/forum/showthread.php/1178-Tramadol-side-effects-(October-2010) tramadol tinnitus side effects , http://www.veoh.com/forum/showthread.php/1179-Order-tramadol-(October-2010) is ordering online tramadol illigal , http://www.veoh.com/forum/showthread.php/1181-Tramadol-generic-(October-2010) tramadol generic cost , http://www.veoh.com/forum/showthread.php/1183-Tramadol-dosage-(October-2010) dosage tramadol pictures , -- matrix tramadol 50 hcl mg?
- 2 , http://www.box.net/shared/g9fpy26mlr tramadol no required prescription , http://www.box.net/shared/osuiavetrc generic acetaminophen tramadol tablets , http://www.box.net/shared/ov5h9du2gb buy tramadol overnight online delivery , http://trig.com/ingestacey/biography what is tramadol generic ultram , http://trig.com/alessandramona/biography tramadol dosage recreational , http://www.box.net/shared/os1b723opk tramadol hcl diabetic for dogs , http://www.box.net/shared/j8hc46365n mixing and tramadol oxycodone , http://trig.com/jenifferarnetta/biography buy tramadol a with check , http://www.box.net/shared/04m298c5bs tramadol cheap free overnight no rx , http://trig.com/kortneywilburn/biography tramadol online no overnight prescription , -- buy capsules tramadol?
- 3 , http://trig.com/marleenmariann/biography tramadol 180 ct cheap , http://www.box.net/shared/ypmege6s50 tramadol dog side effects , http://www.box.net/shared/1thrs9b14b tramadol cod order overnight , http://trig.com/katheytressa/biography side effects medication tramadol , http://trig.com/rhettmarcella/biography tramadol hydrocodone comparison , http://www.box.net/shared/e4iv8mgeby cheap tramadol online , http://www.box.net/shared/cqyu34izga tramadol dosage er , http://trig.com/vaniashani/biography tramadol no fed prescription ex , http://trig.com/signejanessa/biography cod accepted for orders tramadol , http://trig.com/elzadamian/biography tramadol hcl 50mg tab cara , -- side effects tramadol?
- 2 , http://www.box.net/shared/g9fpy26mlr tramadol saturday delivery prescription no , http://www.box.net/shared/osuiavetrc what is generic for tramadol , http://www.box.net/shared/ov5h9du2gb buy cheap tramadol online 35 , http://trig.com/ingestacey/biography ultram tramadol generic , http://trig.com/alessandramona/biography tramadol dosage 50mg , http://www.box.net/shared/os1b723opk tramadol info hcl , http://www.box.net/shared/j8hc46365n order tramadol online cod , http://trig.com/jenifferarnetta/biography buy ultram tramadol , http://www.box.net/shared/04m298c5bs online cheap tramadol day next shipping , http://trig.com/kortneywilburn/biography tramadol online no prescription , -- veterinary dosage for tramadol?
- 3 , http://trig.com/marleenmariann/biography prescriptions cheap tramadol online , http://www.box.net/shared/ypmege6s50 side effects of tramadol , http://www.box.net/shared/1thrs9b14b discount order tramadol , http://trig.com/katheytressa/biography mix phenergan tramadol side effects , http://trig.com/rhettmarcella/biography and codeine tramadol , http://www.box.net/shared/e4iv8mgeby no prescription pharmacy tramadol online , http://www.box.net/shared/cqyu34izga tramadol dosage withdrawl , http://trig.com/vaniashani/biography tramadol cheap no fast prescription , http://trig.com/signejanessa/biography tramadol orders , http://trig.com/elzadamian/biography tramadol k-9 hcl , -- side effects tramadol?
- 2 , http://www.box.net/shared/g9fpy26mlr tramadol no fed-ex prescription , http://www.box.net/shared/osuiavetrc generic ultram tramadol , http://www.box.net/shared/ov5h9du2gb from buy tramadol dreampharm , http://trig.com/ingestacey/biography generic tramadol ultram , http://trig.com/alessandramona/biography hcl tramadol dosage , http://www.box.net/shared/os1b723opk tramadol hcl 50mg tab cara , http://www.box.net/shared/j8hc46365n tramadol saturday cod , http://trig.com/jenifferarnetta/biography buy prescription without tramadol , http://www.box.net/shared/04m298c5bs cheap tramadol 180 $75 for , http://trig.com/kortneywilburn/biography bilious tramadol online , -- tramadol dosage max?
- 4 , http://trig.com/marleenmariann/biography cheap tramadol day 2 shipping , http://www.box.net/shared/ypmege6s50 tramadol for dogs side effects , http://www.box.net/shared/1thrs9b14b order tramadol ultram , http://trig.com/katheytressa/biography tramadol side effects in dogs , http://trig.com/rhettmarcella/biography tramadol codeine , http://www.box.net/shared/e4iv8mgeby compare online tramadol price , http://www.box.net/shared/cqyu34izga dosage best tramadol , http://trig.com/vaniashani/biography tramadol pain killer a without prescription , http://trig.com/signejanessa/biography tramadol money with order , http://trig.com/elzadamian/biography what is tramadol hcl for used , -- ic tramadol hcl acetaminophen par?
- 4 , http://www.box.net/shared/g9fpy26mlr tramadol cheap prescription no , http://www.box.net/shared/osuiavetrc tramadol generic 25mg , http://www.box.net/shared/ov5h9du2gb buy tramadol online no prescription , http://trig.com/ingestacey/biography for generic tramadol , http://trig.com/alessandramona/biography usual tramadol dosage , http://www.box.net/shared/os1b723opk tramadol hcl tablets acetaminaphen , http://www.box.net/shared/j8hc46365n drug reactions and vicodin tramadol , http://trig.com/jenifferarnetta/biography ataxia es tramadol buy , http://www.box.net/shared/04m298c5bs cheap tramadol discount , http://trig.com/kortneywilburn/biography online tramadol sit , -- cheap tramadol site?
- 2 , http://trig.com/marleenmariann/biography cheapest tramadol without prescription , http://www.box.net/shared/ypmege6s50 side effects of tramadol in canines , http://www.box.net/shared/1thrs9b14b order cod tramadol , http://trig.com/katheytressa/biography tramadol side effects for dogs , http://trig.com/rhettmarcella/biography tramadol codes discount , http://www.box.net/shared/e4iv8mgeby roomed tramadol online , http://www.box.net/shared/cqyu34izga tramadol hydrochloride for dogs dosage , http://trig.com/vaniashani/biography tramadol cod no prescription , http://trig.com/signejanessa/biography is ordering online tramadol illigal , http://trig.com/elzadamian/biography ic tramadol acetaminophen hcl par , -- cheap overnight tramadol?
- 4 , http://www.box.net/shared/g9fpy26mlr prescription online tramadol , http://www.box.net/shared/osuiavetrc generic companies tramadol sale , http://www.box.net/shared/ov5h9du2gb buy online tramadol cod , http://trig.com/ingestacey/biography generic tramadol acetaminophen tablets , http://trig.com/alessandramona/biography tramadol dosage side effects , http://www.box.net/shared/os1b723opk tramadol hcl addictiion 50mg , http://www.box.net/shared/j8hc46365n cod order tramadol , http://trig.com/jenifferarnetta/biography buy tramadol money order , http://www.box.net/shared/04m298c5bs no prescription cheapest tramadol , http://trig.com/kortneywilburn/biography tramadol online delivery saturday , -- tramadol online backward?
- 2 , http://trig.com/marleenmariann/biography 120 cheap tramadol , http://www.box.net/shared/ypmege6s50 side effects feline tramadol cat , http://www.box.net/shared/1thrs9b14b is ordering online tramadol illigial , http://trig.com/katheytressa/biography tramadol side effects dogs for , http://trig.com/rhettmarcella/biography versus tramadol codine , http://www.box.net/shared/e4iv8mgeby tough tramadol online , http://www.box.net/shared/cqyu34izga tramadol dosage dogs for , http://trig.com/vaniashani/biography free tramadol no prescription , http://trig.com/signejanessa/biography tramadol pay by money order , http://trig.com/elzadamian/biography ic tramadol acetaminophen hcl par , -- cheap tramadol saturday overnight delivery?
- 4 , http://www.box.net/shared/g9fpy26mlr no prescription sales tramadol , http://www.box.net/shared/osuiavetrc generic cost tramadol , http://www.box.net/shared/ov5h9du2gb 4 tramadol buy , http://trig.com/ingestacey/biography list of drug companies generic tramadol , http://trig.com/alessandramona/biography can you increase tramadol dosage , http://www.box.net/shared/os1b723opk tramadol 50mr hcl , http://www.box.net/shared/j8hc46365n meds tramadol cod , http://trig.com/jenifferarnetta/biography buy from pharmcy tramadol , http://www.box.net/shared/04m298c5bs cheap tramadol day 2 shipping , http://trig.com/kortneywilburn/biography overnight tramadol online , -- using paypal to buy tramadol?
- 2 , http://trig.com/marleenmariann/biography cheap day next tramadol , http://www.box.net/shared/ypmege6s50 side effects tramadol medication , http://www.box.net/shared/1thrs9b14b order tramadol no prescription payment cod , http://trig.com/katheytressa/biography hydrocodone tramadol combination side effects , http://trig.com/rhettmarcella/biography tramadol with better vicodin high , http://www.box.net/shared/e4iv8mgeby buy tramadol online perscription without , http://www.box.net/shared/cqyu34izga usual dosage tramadol , http://trig.com/vaniashani/biography tramadol prescription no needed , http://trig.com/signejanessa/biography hsn order tramadol , http://trig.com/elzadamian/biography tramadol hcl tab 50mg mylan , -- dosage tramadol vs hydrocodone?
- 4 , http://www.box.net/shared/g9fpy26mlr tramadol without free prescription shipping , http://www.box.net/shared/osuiavetrc generic drug identification pill identifier tramadol , http://www.box.net/shared/ov5h9du2gb buy 180 tramadol ct , http://trig.com/ingestacey/biography generic tramadol ultram , http://trig.com/alessandramona/biography fatal tramadol dosage , http://www.box.net/shared/os1b723opk tramadol veterinary hcl , http://www.box.net/shared/j8hc46365n cod saturday tramadol delivery , http://trig.com/jenifferarnetta/biography buy add tramadol site , http://www.box.net/shared/04m298c5bs cheap india tramadol , http://trig.com/kortneywilburn/biography buy tramadol online pay by mastercard , -- is tramadol a hcl narcotic?
- 4 , http://trig.com/marleenmariann/biography tramadol cheap fast prescription no , http://www.box.net/shared/ypmege6s50 side effects of drug the tramadol , http://www.box.net/shared/1thrs9b14b tramadol money accept orders , http://trig.com/katheytressa/biography tramadol side effects canine , http://trig.com/rhettmarcella/biography cod meds online ultram tramadol , http://www.box.net/shared/e4iv8mgeby tramadol rx online life , http://www.box.net/shared/cqyu34izga tramadol dosage information , http://trig.com/vaniashani/biography cheap without tramadol prescription , http://trig.com/signejanessa/biography order mg 100 tramadol , http://trig.com/elzadamian/biography tramadol k-9 hcl , -- hydrocodone tramadol combination side effects?
- 4 , http://www.box.net/shared/g9fpy26mlr tramadol with no prescription , http://www.box.net/shared/osuiavetrc tramadol became on generic , http://www.box.net/shared/ov5h9du2gb career in finance tramadol buy , http://trig.com/ingestacey/biography tramadol became on generic , http://trig.com/alessandramona/biography highest recommended for dosage tramadol , http://www.box.net/shared/os1b723opk tramadol 50mg hcl tab , http://www.box.net/shared/j8hc46365n tramadol pay cod by , http://trig.com/jenifferarnetta/biography ultram buy tramadol , http://www.box.net/shared/04m298c5bs tramadol cheap that delivers arkansas to , http://trig.com/kortneywilburn/biography twinkling tramadol online , -- buy cheap tramadol online?
- 2 , http://trig.com/marleenmariann/biography tramadol cheapest overseas , http://www.box.net/shared/ypmege6s50 tramadol side effects in dogs , http://www.box.net/shared/1thrs9b14b ordering tramadol canada to , http://trig.com/katheytressa/biography tramadol dog side effects , http://trig.com/rhettmarcella/biography fedex overnight delivery ultram tramadol codeine , http://www.box.net/shared/e4iv8mgeby purchase tramadol online prescription without , http://www.box.net/shared/cqyu34izga tramadol dosage and administration , http://trig.com/vaniashani/biography canada pharmacy no tramadol prescription , http://trig.com/signejanessa/biography tramadol pay by order money , http://trig.com/elzadamian/biography tramadol hcl info , -- cheap tramadol 2 shipping day?
- 4 , http://www.box.net/shared/g9fpy26mlr purchase tramadol online without prescription , http://www.box.net/shared/osuiavetrc when did go tramadol generic , http://www.box.net/shared/ov5h9du2gb buy tramadol online free shipping , http://trig.com/ingestacey/biography list of generic companies sale tramadol , http://trig.com/alessandramona/biography fatal tramadol dosage , http://www.box.net/shared/os1b723opk tramadol hcl 50 arthritis mg , http://www.box.net/shared/j8hc46365n tramadol sites with cod delivery , http://trig.com/jenifferarnetta/biography buy ct 180 tramadol , http://www.box.net/shared/04m298c5bs 90 tramadol cheapest pills , http://trig.com/kortneywilburn/biography cheap tramadol prescriptions online , -- saturday delivery online tramadol?
- 3 , http://trig.com/marleenmariann/biography tramadol cheap sales , http://www.box.net/shared/ypmege6s50 benefits and side effects rx tramadol , http://www.box.net/shared/1thrs9b14b tramadol order site , http://trig.com/katheytressa/biography tramadol side effects head aches , http://trig.com/rhettmarcella/biography tramadol cod online shipping , http://www.box.net/shared/e4iv8mgeby tramadol online earnestly , http://www.box.net/shared/cqyu34izga proper dosage tramadol , http://trig.com/vaniashani/biography free tramadol no prescription , http://trig.com/signejanessa/biography tramadol metabolic and disorder , http://trig.com/elzadamian/biography tramadol hcl 50 for mg dogs , -- side effects of tramadol apap?
- 2 , http://www.box.net/shared/g9fpy26mlr tramadol no oline prescription , http://www.box.net/shared/osuiavetrc when did tramadol go generic , http://www.box.net/shared/ov5h9du2gb buy tramadol line on , http://trig.com/ingestacey/biography overseas tramadol generic , http://trig.com/alessandramona/biography tramadol hydrocodone chart dosage , http://www.box.net/shared/os1b723opk tramadol hcl 50 mg for dogs , http://www.box.net/shared/j8hc46365n tramadol with vicodin better high , http://trig.com/jenifferarnetta/biography tramadol no buy prescribtion , http://www.box.net/shared/04m298c5bs 90 tramadol cheapest pills , http://trig.com/kortneywilburn/biography tramadol online no fee consultation , -- buy tramadol online without perscription?
- 3 , http://trig.com/marleenmariann/biography buy tramadol cheap o , http://www.box.net/shared/ypmege6s50 side effects of on tramadol dogs , http://www.box.net/shared/1thrs9b14b tramadol by caraco back order , http://trig.com/katheytressa/biography side effects tramadol of apap , http://trig.com/rhettmarcella/biography rx cod tramadol , http://www.box.net/shared/e4iv8mgeby tramadol online delivery staturday , http://www.box.net/shared/cqyu34izga tramadol hydrocodone chart dosage , http://trig.com/vaniashani/biography tramadol non prescription , http://trig.com/signejanessa/biography tramadol accept money orders , http://trig.com/elzadamian/biography tramadol 200mg hcl about , -- order cheap tramadol prescription no needed?
- 4 , http://www.box.net/shared/rnqmokpg69 tramadol maximum dosage , http://www.box.net/shared/055v2t0i9v buy tramadol cash on delivery , http://www.box.net/shared/kb3lt2havi tramadol drug test , http://www.box.net/shared/eccbgnog7u hydrocodone tramadol taken together , http://www.box.net/shared/44irvnvrsa tramadol hydrochloride tablets label , http://www.box.net/shared/6cev6jaf3t pain medications without a prescription tramadol , http://www.box.net/shared/54iifxugl0 buy cheap tramadol online 35009 , http://www.box.net/shared/8lsga07ttf tramadol cods , http://www.box.net/shared/ahakoaft1l side effects of ultram tramadol , http://www.box.net/shared/pdx37utzxi all about tramadol kitchens , -- buy tramadol cheap online?
- 4 , http://www.box.net/shared/ias3cn35l0 tramadol 100 prices , http://www.box.net/shared/ydfoaafn8i tramadol 180 buy , http://www.box.net/shared/i77thrn7jy tramadol canada dosage cats , http://www.box.net/shared/ko3vqyhmid average costs for prescription tramadol , http://www.box.net/shared/acn7y8ded4 tramadol pill pictures , http://www.box.net/shared/ioyjzm3vkp tramadol overdose symptoms , http://www.box.net/shared/a0g09mi9ta tramadol side effects interactions , http://www.box.net/shared/9ola22l010 tramadol online next day , http://www.box.net/shared/xb4q3vbpr9 buy tramadol online without a prescription , http://www.box.net/shared/ac8gi87114 tramadol and eye disorders , -- tramadol er cost?
- 3 , http://www.box.net/shared/rnqmokpg69 tramadol recreational dosage , http://www.box.net/shared/055v2t0i9v tramadol overnight delivery online prescription , http://www.box.net/shared/kb3lt2havi tramadol urine drug screen , http://www.box.net/shared/eccbgnog7u getting high with tramadol hcl , http://www.box.net/shared/44irvnvrsa generic tramadol tablet , http://www.box.net/shared/6cev6jaf3t tramadol cause abdominal pain cramps , http://www.box.net/shared/54iifxugl0 buy cheap tramadol online tramadol , http://www.box.net/shared/8lsga07ttf hydrocodon loratab loritab tramadol , http://www.box.net/shared/ahakoaft1l tramadol ultram allergy side-effects sensitivities , http://www.box.net/shared/pdx37utzxi all about tramadol depend , -- all about tramadol circumstances?
- 3 , http://www.box.net/shared/ias3cn35l0 best tramadol prices , http://www.box.net/shared/ydfoaafn8i buy tramadol 30 day credit , http://www.box.net/shared/i77thrn7jy tramadol canada dosage feline , http://www.box.net/shared/ko3vqyhmid average cost of tramadol , http://www.box.net/shared/acn7y8ded4 180 tramadol pills , http://www.box.net/shared/ioyjzm3vkp veterinary dose of tramadol , http://www.box.net/shared/a0g09mi9ta tramadol side effects head aches , http://www.box.net/shared/9ola22l010 tramadol purchase online , http://www.box.net/shared/xb4q3vbpr9 tramadol without a prescription , http://www.box.net/shared/ac8gi87114 ordering tramadol cod , -- where can i buy tramadol?
- 2 , http://www.box.net/shared/rnqmokpg69 dosage of tramadol in cats , http://www.box.net/shared/055v2t0i9v tramadol no prescription overnight delivery , http://www.box.net/shared/kb3lt2havi tramadol 50 drug information , http://www.box.net/shared/eccbgnog7u promethazine tramadol safe together , http://www.box.net/shared/44irvnvrsa tramadol tablet identification , http://www.box.net/shared/6cev6jaf3t side effects of tramadol painkiller , http://www.box.net/shared/54iifxugl0 q cheapest tramadol drugstore a img , http://www.box.net/shared/8lsga07ttf tramadol vicodin , http://www.box.net/shared/ahakoaft1l tramadol effects 50mg , http://www.box.net/shared/pdx37utzxi all about tramadol covetous , -- tramadol get you high?
- 4 , http://www.box.net/shared/ias3cn35l0 best tramadol prices , http://www.box.net/shared/ydfoaafn8i buy tramadol with an e check , http://www.box.net/shared/i77thrn7jy canada pharmacy tramadol , http://www.box.net/shared/ko3vqyhmid generic tramadol cost , http://www.box.net/shared/acn7y8ded4 what does tramadol pills look like , http://www.box.net/shared/ioyjzm3vkp tramadol symtoms of overdose , http://www.box.net/shared/a0g09mi9ta tramadol for dogs side effects , http://www.box.net/shared/9ola22l010 cod meds online tramadol ultram , http://www.box.net/shared/xb4q3vbpr9 no prescription cheapest tramadol , http://www.box.net/shared/ac8gi87114 order tramadols , -- tramadol pill with markings an627?
- 4 , http://www.box.net/shared/rnqmokpg69 tramadol dosage and administration , http://www.box.net/shared/055v2t0i9v tramadol for staurday delivery , http://www.box.net/shared/kb3lt2havi drug interactions for tramadol er , http://www.box.net/shared/eccbgnog7u get high on tramadol , http://www.box.net/shared/44irvnvrsa tramadol 4 50mg tablets , http://www.box.net/shared/6cev6jaf3t tramadol for multiple sclerosis pain , http://www.box.net/shared/54iifxugl0 q cheapest tramadol drugstore a img , http://www.box.net/shared/8lsga07ttf tramadol vs vicodin and strength , http://www.box.net/shared/ahakoaft1l tramadol side effects of liver , http://www.box.net/shared/pdx37utzxi all about tramadol could , -- site about tramadol sends?
- 4 , http://www.box.net/shared/ias3cn35l0 buy tramadol lowest price , http://www.box.net/shared/ydfoaafn8i buying tramadol , http://www.box.net/shared/i77thrn7jy is tramadol available in canada , http://www.box.net/shared/ko3vqyhmid tramadol 180 count cost , http://www.box.net/shared/acn7y8ded4 100 pill tramadol , http://www.box.net/shared/ioyjzm3vkp drugs lethal dose tramadol , http://www.box.net/shared/a0g09mi9ta drug side effects blood clots tramadol , http://www.box.net/shared/9ola22l010 is ordering tramadol online illigal , http://www.box.net/shared/xb4q3vbpr9 cheapest tramadol without prescription , http://www.box.net/shared/ac8gi87114 ordering tramadol only , -- buy tramadol cheap?
- 2 , http://www.box.net/shared/rnqmokpg69 tramadol dosage and side effects , http://www.box.net/shared/055v2t0i9v no prescription saturday delivery tramadol , http://www.box.net/shared/kb3lt2havi tramadol drug test times , http://www.box.net/shared/eccbgnog7u does tramadol get you high , http://www.box.net/shared/44irvnvrsa medication called tramadol 50mgs tablet s , http://www.box.net/shared/6cev6jaf3t tramadol medication painkiller rheumatology , http://www.box.net/shared/54iifxugl0 cheap tramadol cod delivery , http://www.box.net/shared/8lsga07ttf tramadol cod 180 , http://www.box.net/shared/ahakoaft1l side effects from tramadol tab 50mg , http://www.box.net/shared/pdx37utzxi all about tramadol circumstances , -- tramadol nipple pain?
- 4 , http://www.box.net/shared/ias3cn35l0 lowest price of tramadol , http://www.box.net/shared/ydfoaafn8i pharmacy tech resume buy tramadol now , http://www.box.net/shared/i77thrn7jy canada order tramadol online , http://www.box.net/shared/ko3vqyhmid cost of tramadol , http://www.box.net/shared/acn7y8ded4 tramadol pill with markings an627 , http://www.box.net/shared/ioyjzm3vkp dog dose of tramadol , http://www.box.net/shared/a0g09mi9ta side effects of the drug tramadol , http://www.box.net/shared/9ola22l010 tramadol showed online , http://www.box.net/shared/xb4q3vbpr9 tramadol no prescription dea , http://www.box.net/shared/ac8gi87114 tramadol cod order , -- tramadol prices?
- 4 , http://www.box.net/shared/rnqmokpg69 dosage of tramadol , http://www.box.net/shared/055v2t0i9v tramadol no prescription overnight delivery , http://www.box.net/shared/kb3lt2havi what drug class is tramadol , http://www.box.net/shared/eccbgnog7u is tramadol and avinza together bad , http://www.box.net/shared/44irvnvrsa tramadol 180 tablets , http://www.box.net/shared/6cev6jaf3t medication pain tramadol , http://www.box.net/shared/54iifxugl0 tramadol cod cheap saturday , http://www.box.net/shared/8lsga07ttf taking tramadol with vicoden , http://www.box.net/shared/ahakoaft1l tramadol pain pill side effects , http://www.box.net/shared/pdx37utzxi all about tramadol repent , -- tramadol hydrochloride tablets label?
- 4 , http://www.box.net/shared/ias3cn35l0 compare online price tramadol , http://www.box.net/shared/ydfoaafn8i buy tramadol rss feed , http://www.box.net/shared/i77thrn7jy tramadol fast from canada , http://www.box.net/shared/ko3vqyhmid cost tramadol , http://www.box.net/shared/acn7y8ded4 180 tramadol pills , http://www.box.net/shared/ioyjzm3vkp lethal dose tramadol hcl 50 mg , http://www.box.net/shared/a0g09mi9ta tramadol side effects in humans , http://www.box.net/shared/9ola22l010 buy tramadol online pharmacy online , http://www.box.net/shared/xb4q3vbpr9 cheap non prescription tramadol , http://www.box.net/shared/ac8gi87114 tramadol orders , -- tramadol dose?
- 4 , http://www.box.net/shared/rnqmokpg69 tramadol dogs canine dosage , http://www.box.net/shared/055v2t0i9v no prescription saturday delivery tramadol , http://www.box.net/shared/kb3lt2havi tramadol classified drug , http://www.box.net/shared/eccbgnog7u tramadol and volteren together , http://www.box.net/shared/44irvnvrsa tramadol 50mg generic tablet , http://www.box.net/shared/6cev6jaf3t side effects of tramadol painkiller , http://www.box.net/shared/54iifxugl0 tramadol cheap cod , http://www.box.net/shared/8lsga07ttf vicodin versus tramadol , http://www.box.net/shared/ahakoaft1l is tramadol effective for dog pain , http://www.box.net/shared/pdx37utzxi site about tramadol , -- prescriptions cheap tramadol online?
- 4 , http://www.box.net/shared/ias3cn35l0 best price tramadol , http://www.box.net/shared/ydfoaafn8i buy from pharmcy tramadol , http://www.box.net/shared/i77thrn7jy canada pharmacy tramadol no prescription , http://www.box.net/shared/ko3vqyhmid cost of tramadol versus ultram er , http://www.box.net/shared/acn7y8ded4 tramadol pain pill , http://www.box.net/shared/ioyjzm3vkp maximum dose tramadol , http://www.box.net/shared/a0g09mi9ta tramadol ultram allergy side-effects sensitivities , http://www.box.net/shared/9ola22l010 tramadol medication online , http://www.box.net/shared/xb4q3vbpr9 tramadol no prescription us pharmacy , http://www.box.net/shared/ac8gi87114 cod order tramadol , -- tramadol pain pill side effects?
- 3 , http://www.box.net/shared/rnqmokpg69 tramadol hcl dosage , http://www.box.net/shared/055v2t0i9v tramadol cod saturday delivery , http://www.box.net/shared/kb3lt2havi tramadol drug interaction , http://www.box.net/shared/eccbgnog7u get tramadol , http://www.box.net/shared/44irvnvrsa tramadol 50 mg tablets , http://www.box.net/shared/6cev6jaf3t tramadol kidney pain symptoms , http://www.box.net/shared/54iifxugl0 tramadol cheap that delivers to arkansas , http://www.box.net/shared/8lsga07ttf tramadol shipped cod , http://www.box.net/shared/ahakoaft1l tramadol hcl 50mg side effects , http://www.box.net/shared/pdx37utzxi site about tramadol executed , -- all about tramadol circumstances?
- 2 , http://www.box.net/shared/ias3cn35l0 best price thailand tramadol , http://www.box.net/shared/ydfoaafn8i buy cheap tramadol tramadol ultram , http://www.box.net/shared/i77thrn7jy canada order tramadol online , http://www.box.net/shared/ko3vqyhmid cost low tramadol , http://www.box.net/shared/acn7y8ded4 tramadol pill identifier , http://www.box.net/shared/ioyjzm3vkp fatal overdose tramadol , http://www.box.net/shared/a0g09mi9ta mix phenergan tramadol side effects , http://www.box.net/shared/9ola22l010 tramadol order online , http://www.box.net/shared/xb4q3vbpr9 prescriptions cheap tramadol online , http://www.box.net/shared/ac8gi87114 order tramadol ultram , -- i've taken 300 mg tramadol dose?
- 3 , http://www.box.net/shared/rnqmokpg69 tramadol recreational dosage , http://www.box.net/shared/055v2t0i9v fedex overnight delivery codeine ultram tramadol , http://www.box.net/shared/kb3lt2havi generic drug identification pill identifier tramadol , http://www.box.net/shared/eccbgnog7u does rectal tramadol get you high , http://www.box.net/shared/44irvnvrsa tramadol 20 mg tablets , http://www.box.net/shared/6cev6jaf3t tramadol for dog pain , http://www.box.net/shared/54iifxugl0 tramadol cheap prescription , http://www.box.net/shared/8lsga07ttf ativan tramadol hydrocodone alcohol , http://www.box.net/shared/ahakoaft1l can tramadol have sexual side effects , http://www.box.net/shared/pdx37utzxi site about tramadol quiver , -- blood drug test tramadol?
- 3 , http://www.box.net/shared/ias3cn35l0 best prices for tramadol online , http://www.box.net/shared/ydfoaafn8i buy tramadol with mastercard , http://www.box.net/shared/i77thrn7jy ordering tramadol to canada , http://www.box.net/shared/ko3vqyhmid lowest cost for veterinarian tramadol , http://www.box.net/shared/acn7y8ded4 what does the pill tramadol do , http://www.box.net/shared/ioyjzm3vkp tramadol overdose treatment , http://www.box.net/shared/a0g09mi9ta tramadol side effects for dogs , http://www.box.net/shared/9ola22l010 buy online no tramadol prescription , http://www.box.net/shared/xb4q3vbpr9 cheap non prescription tramadol , http://www.box.net/shared/ac8gi87114 order tramadol site , -- tramadol hydrochloride best price?
- 4 , http://www.box.net/shared/rnqmokpg69 tramadol human dosage , http://www.box.net/shared/055v2t0i9v tramadol online staturday delivery , http://www.box.net/shared/kb3lt2havi side effects of the drug tramadol , http://www.box.net/shared/eccbgnog7u tramadol get high , http://www.box.net/shared/44irvnvrsa tramadol time release tablets , http://www.box.net/shared/6cev6jaf3t tramadol nipple pain , http://www.box.net/shared/54iifxugl0 cheap tramadol cod saturday delivery , http://www.box.net/shared/8lsga07ttf tramadol combined with codeine , http://www.box.net/shared/ahakoaft1l is tramadol effective for dog pain , http://www.box.net/shared/pdx37utzxi site about tramadol coaxing , -- all about tramadol?
- 4 , http://www.box.net/shared/ias3cn35l0 tramadol lowest price , http://www.box.net/shared/ydfoaafn8i can you buy tramadol in tijuana , http://www.box.net/shared/i77thrn7jy ordering tramadol to canada , http://www.box.net/shared/ko3vqyhmid cost tramadol , http://www.box.net/shared/acn7y8ded4 cold water pill extraction tramadol , http://www.box.net/shared/ioyjzm3vkp tramadol doseage , http://www.box.net/shared/a0g09mi9ta tramadol side effects in humans , http://www.box.net/shared/9ola22l010 buy tramadol online a href , http://www.box.net/shared/xb4q3vbpr9 canada pharmacy tramadol no prescription , http://www.box.net/shared/ac8gi87114 cod tramadol orders , -- average cost of tramadol?
- 4 , http://www.veoh.com/forum/showthread.php/1185-Cheap-tramadol-(October-2010) cheapest prescriptions tramadol , http://www.veoh.com/forum/showthread.php/1187-Tramadol-online-(October-2010) is ordering tramadol online illigial , http://www.veoh.com/forum/showthread.php/1189-Buy-tramadol-(October-2010) ataxia es tramadol buy , http://www.veoh.com/forum/showthread.php/1190-Tramadol-hcl-(October-2010) matrix tramadol 50 hcl mg , http://www.veoh.com/forum/showthread.php/1191-Tramadol-prescription-(October-2010) no prescription tramadol online pharmacy , http://www.veoh.com/forum/showthread.php/1192-Tramadol-cod-(October-2010) cod orders tramadol , http://www.veoh.com/forum/showthread.php/1193-Tramadol-side-effects-(October-2010) side effects of tramadol in dogs , http://www.veoh.com/forum/showthread.php/1195-Order-tramadol-(October-2010) $85 reorder tramadol , http://www.veoh.com/forum/showthread.php/1197-Tramadol-generic-(October-2010) list of generic companies tramadol sale , http://www.veoh.com/forum/showthread.php/1198-Tramadol-dosage-(October-2010) veterinary dosage for tramadol , -- cheap tramadol $65 free with shipping?
- 4 , http://www.veoh.com/forum/showthread.php/1165-Cheap-tramadol-(October-2010) cheap tramadol without prescription a , http://www.veoh.com/forum/showthread.php/1169-Tramadol-online-(October-2010) buy tramadol online pharmacy saturday delivery , http://www.veoh.com/forum/showthread.php/1171-Buy-tramadol-(October-2010) using paypal to tramadol buy , http://www.veoh.com/forum/showthread.php/1172-Tramadol-hcl-(October-2010) tramadol hcl purchase , http://www.veoh.com/forum/showthread.php/1175-Tramadol-prescription-(October-2010) discount tramadol no prescription , http://www.veoh.com/forum/showthread.php/1176-Tramadol-cod-(October-2010) tramadol buy cod pay , http://www.veoh.com/forum/showthread.php/1178-Tramadol-side-effects-(October-2010) tramadol side effects in dogs , http://www.veoh.com/forum/showthread.php/1179-Order-tramadol-(October-2010) tramadol bipolar and disorder , http://www.veoh.com/forum/showthread.php/1181-Tramadol-generic-(October-2010) generic sale companies tramadol , http://www.veoh.com/forum/showthread.php/1183-Tramadol-dosage-(October-2010) tramadol and veterinary dosage , -- cod tramadol fedex online?
- 2 , http://www.veoh.com/forum/showthread.php/1185-Cheap-tramadol-(October-2010) cheap tramadol site , http://www.veoh.com/forum/showthread.php/1187-Tramadol-online-(October-2010) tramadol rx life online , http://www.veoh.com/forum/showthread.php/1189-Buy-tramadol-(October-2010) buy no tramadol perscription , http://www.veoh.com/forum/showthread.php/1190-Tramadol-hcl-(October-2010) ic tramadol hcl , http://www.veoh.com/forum/showthread.php/1191-Tramadol-prescription-(October-2010) tramadol no prescription saturday , http://www.veoh.com/forum/showthread.php/1192-Tramadol-cod-(October-2010) tramadol cod no prescription , http://www.veoh.com/forum/showthread.php/1193-Tramadol-side-effects-(October-2010) tramadol side effects liver of , http://www.veoh.com/forum/showthread.php/1195-Order-tramadol-(October-2010) order tramadol no cod prescription payment , http://www.veoh.com/forum/showthread.php/1197-Tramadol-generic-(October-2010) what is generic tramadol for , http://www.veoh.com/forum/showthread.php/1198-Tramadol-dosage-(October-2010) 50mg tramadol dosage , -- free tramadol no prescription?
- 4 , http://www.veoh.com/forum/showthread.php/1185-Cheap-tramadol-(October-2010) cheap tramadol no prescription overnight , http://www.veoh.com/forum/showthread.php/1187-Tramadol-online-(October-2010) canadian pharmacy tramadol online , http://www.veoh.com/forum/showthread.php/1189-Buy-tramadol-(October-2010) buying tramadol online legal , http://www.veoh.com/forum/showthread.php/1190-Tramadol-hcl-(October-2010) tramadol hcl tab 50 mg , http://www.veoh.com/forum/showthread.php/1191-Tramadol-prescription-(October-2010) tramadol non prescription , http://www.veoh.com/forum/showthread.php/1192-Tramadol-cod-(October-2010) tramadol vicodin , http://www.veoh.com/forum/showthread.php/1193-Tramadol-side-effects-(October-2010) tramadol hcl side effects , http://www.veoh.com/forum/showthread.php/1195-Order-tramadol-(October-2010) order cod tramadol , http://www.veoh.com/forum/showthread.php/1197-Tramadol-generic-(October-2010) ultram tramadol generic , http://www.veoh.com/forum/showthread.php/1198-Tramadol-dosage-(October-2010) of dosages tramadol , -- side effects of tramadol in dogs?
- 2 , http://www.veoh.com/forum/showthread.php/1165-Cheap-tramadol-(October-2010) buy online tramadol cheap , http://www.veoh.com/forum/showthread.php/1169-Tramadol-online-(October-2010) online pharmacies tramadol , http://www.veoh.com/forum/showthread.php/1171-Buy-tramadol-(October-2010) buy cheap omw tramadol , http://www.veoh.com/forum/showthread.php/1172-Tramadol-hcl-(October-2010) tramadol hcl 50 mg tablet tev , http://www.veoh.com/forum/showthread.php/1175-Tramadol-prescription-(October-2010) tramadol no prescription pharmacy us , http://www.veoh.com/forum/showthread.php/1176-Tramadol-cod-(October-2010) hydrocodone tramadol side combonation effects , http://www.veoh.com/forum/showthread.php/1178-Tramadol-side-effects-(October-2010) side effects of in tramadol canines , http://www.veoh.com/forum/showthread.php/1179-Order-tramadol-(October-2010) buy tramadol order by 3pm , http://www.veoh.com/forum/showthread.php/1181-Tramadol-generic-(October-2010) generics tramadol , http://www.veoh.com/forum/showthread.php/1183-Tramadol-dosage-(October-2010) drug tramadol dosage by weight , -- tramadol prescription times expiration?
- 3 , http://www.veoh.com/forum/showthread.php/1185-Cheap-tramadol-(October-2010) purchase tramadol cheap , http://www.veoh.com/forum/showthread.php/1187-Tramadol-online-(October-2010) buy tramadol cod online , http://www.veoh.com/forum/showthread.php/1189-Buy-tramadol-(October-2010) buy online no prescription tramadol , http://www.veoh.com/forum/showthread.php/1190-Tramadol-hcl-(October-2010) tramadol hcl 50 mg ingredients active , http://www.veoh.com/forum/showthread.php/1191-Tramadol-prescription-(October-2010) is a prescription required tramadol for , http://www.veoh.com/forum/showthread.php/1192-Tramadol-cod-(October-2010) and codeine tramadol , http://www.veoh.com/forum/showthread.php/1193-Tramadol-side-effects-(October-2010) tramadol hcl-acetaminophen side effects , http://www.veoh.com/forum/showthread.php/1195-Order-tramadol-(October-2010) free shipping tramadol on orders , http://www.veoh.com/forum/showthread.php/1197-Tramadol-generic-(October-2010) tramadol generic cost , http://www.veoh.com/forum/showthread.php/1198-Tramadol-dosage-(October-2010) usual dosage tramadol , -- tramadol oline no prescription?
- 4 , http://www.veoh.com/forum/showthread.php/1165-Cheap-tramadol-(October-2010) prescriptions cheap online tramadol , http://www.veoh.com/forum/showthread.php/1169-Tramadol-online-(October-2010) usa online pharmacies who tramadol sell , http://www.veoh.com/forum/showthread.php/1171-Buy-tramadol-(October-2010) buy cheap tramadol o , http://www.veoh.com/forum/showthread.php/1172-Tramadol-hcl-(October-2010) tramadol hcl generic 50mg for , http://www.veoh.com/forum/showthread.php/1175-Tramadol-prescription-(October-2010) no prescription drugstore tramadol , http://www.veoh.com/forum/showthread.php/1176-Tramadol-cod-(October-2010) buy tramadol cod states 50 , http://www.veoh.com/forum/showthread.php/1178-Tramadol-side-effects-(October-2010) side effects of tramadol dogs for , http://www.veoh.com/forum/showthread.php/1179-Order-tramadol-(October-2010) cod orders tramadol , http://www.veoh.com/forum/showthread.php/1181-Tramadol-generic-(October-2010) list of generic sale companies tramadol , http://www.veoh.com/forum/showthread.php/1183-Tramadol-dosage-(October-2010) tramadol dosage canine , -- ultram generic tramadol?
- 4 , http://www.veoh.com/forum/showthread.php/1185-Cheap-tramadol-(October-2010) tramadol cheapest us price online buy , http://www.veoh.com/forum/showthread.php/1187-Tramadol-online-(October-2010) online cod tramadol , http://www.veoh.com/forum/showthread.php/1189-Buy-tramadol-(October-2010) buy pills online tramadol , http://www.veoh.com/forum/showthread.php/1190-Tramadol-hcl-(October-2010) tramadol hcl generic 50mg for , http://www.veoh.com/forum/showthread.php/1191-Tramadol-prescription-(October-2010) no prescription ups tramadol delivered , http://www.veoh.com/forum/showthread.php/1192-Tramadol-cod-(October-2010) hydrocodone tramadol interaction , http://www.veoh.com/forum/showthread.php/1193-Tramadol-side-effects-(October-2010) side effects of and tramadol alcohol , http://www.veoh.com/forum/showthread.php/1195-Order-tramadol-(October-2010) canada order online tramadol , http://www.veoh.com/forum/showthread.php/1197-Tramadol-generic-(October-2010) order cheap generic tramadol online , http://www.veoh.com/forum/showthread.php/1198-Tramadol-dosage-(October-2010) tramadol dosage 50mg , -- canadian pharmacy tramadol online?
- 4 , http://www.veoh.com/forum/showthread.php/1165-Cheap-tramadol-(October-2010) cheap tramadol 2 day shipping , http://www.veoh.com/forum/showthread.php/1169-Tramadol-online-(October-2010) buy tramadol online perscription without , http://www.veoh.com/forum/showthread.php/1171-Buy-tramadol-(October-2010) buy tramadol dog uk , http://www.veoh.com/forum/showthread.php/1172-Tramadol-hcl-(October-2010) tramadol hcl 50 mg arthritis , http://www.veoh.com/forum/showthread.php/1175-Tramadol-prescription-(October-2010) prescription free tramadol , http://www.veoh.com/forum/showthread.php/1176-Tramadol-cod-(October-2010) codeine and tramadol , http://www.veoh.com/forum/showthread.php/1178-Tramadol-side-effects-(October-2010) side effects of drug the tramadol , http://www.veoh.com/forum/showthread.php/1179-Order-tramadol-(October-2010) tramadol overnight order , http://www.veoh.com/forum/showthread.php/1181-Tramadol-generic-(October-2010) when did go tramadol generic , http://www.veoh.com/forum/showthread.php/1183-Tramadol-dosage-(October-2010) dosage of in tramadol cats , -- tramadol hcl-acetaminophen effects side?
- 4 , http://www.veoh.com/forum/showthread.php/1185-Cheap-tramadol-(October-2010) prescriptions cheap tramadol online , http://www.veoh.com/forum/showthread.php/1187-Tramadol-online-(October-2010) purchase online tramadol , http://www.veoh.com/forum/showthread.php/1189-Buy-tramadol-(October-2010) risk of buying online tramadol , http://www.veoh.com/forum/showthread.php/1190-Tramadol-hcl-(October-2010) tramadol hcl 50 mg tablet tev , http://www.veoh.com/forum/showthread.php/1191-Tramadol-prescription-(October-2010) order tramadol prescription without , http://www.veoh.com/forum/showthread.php/1192-Tramadol-cod-(October-2010) tramadol and taken hydrocodone together , http://www.veoh.com/forum/showthread.php/1193-Tramadol-side-effects-(October-2010) side effects tramadol feline cat , http://www.veoh.com/forum/showthread.php/1195-Order-tramadol-(October-2010) tramadol cod order overnight , http://www.veoh.com/forum/showthread.php/1197-Tramadol-generic-(October-2010) generic tramadol for , http://www.veoh.com/forum/showthread.php/1198-Tramadol-dosage-(October-2010) tramadol and veterinary dosage , -- buy online tramadol no prescription?
- 3 , http://www.veoh.com/forum/showthread.php/1165-Cheap-tramadol-(October-2010) cheap very tramadol , http://www.veoh.com/forum/showthread.php/1169-Tramadol-online-(October-2010) discount online tramadol , http://www.veoh.com/forum/showthread.php/1171-Buy-tramadol-(October-2010) tramadol buy capsules , http://www.veoh.com/forum/showthread.php/1172-Tramadol-hcl-(October-2010) tramadol hcl tablet 50mg myl , http://www.veoh.com/forum/showthread.php/1175-Tramadol-prescription-(October-2010) tramadol without prescription and shipping free , http://www.veoh.com/forum/showthread.php/1176-Tramadol-cod-(October-2010) order tramadol no cod prescription payment , http://www.veoh.com/forum/showthread.php/1178-Tramadol-side-effects-(October-2010) side effects tramadol dog , http://www.veoh.com/forum/showthread.php/1179-Order-tramadol-(October-2010) orders tramadol , http://www.veoh.com/forum/showthread.php/1181-Tramadol-generic-(October-2010) tramadol generic , http://www.veoh.com/forum/showthread.php/1183-Tramadol-dosage-(October-2010) dosages tramadol info , -- free shipping on orders tramadol?
- 3 , http://www.veoh.com/forum/showthread.php/1185-Cheap-tramadol-(October-2010) buy cheap o tramadol , http://www.veoh.com/forum/showthread.php/1187-Tramadol-online-(October-2010) tramadol online next day , http://www.veoh.com/forum/showthread.php/1189-Buy-tramadol-(October-2010) buy desmethyl tramadol , http://www.veoh.com/forum/showthread.php/1190-Tramadol-hcl-(October-2010) tramadol hcl tablets acetaminaphen , http://www.veoh.com/forum/showthread.php/1191-Tramadol-prescription-(October-2010) tramadol prescription without , http://www.veoh.com/forum/showthread.php/1192-Tramadol-cod-(October-2010) medicine cod tramadol , http://www.veoh.com/forum/showthread.php/1193-Tramadol-side-effects-(October-2010) tramadol for canines side effects , http://www.veoh.com/forum/showthread.php/1195-Order-tramadol-(October-2010) cod orders tramadol , http://www.veoh.com/forum/showthread.php/1197-Tramadol-generic-(October-2010) list of drug companies tramadol generic , http://www.veoh.com/forum/showthread.php/1198-Tramadol-dosage-(October-2010) dosage tramadol vs hydrocodone , -- where can buy i tramadol?
- 3 , http://www.veoh.com/forum/showthread.php/1165-Cheap-tramadol-(October-2010) cheap tramadol with free overnight shipping , http://www.veoh.com/forum/showthread.php/1169-Tramadol-online-(October-2010) tramadol sorry online , http://www.veoh.com/forum/showthread.php/1171-Buy-tramadol-(October-2010) tramadol buy cod , http://www.veoh.com/forum/showthread.php/1172-Tramadol-hcl-(October-2010) tramadol for hcl dog , http://www.veoh.com/forum/showthread.php/1175-Tramadol-prescription-(October-2010) free tramadol prescription no , http://www.veoh.com/forum/showthread.php/1176-Tramadol-cod-(October-2010) mixing tramadol oxycodone , http://www.veoh.com/forum/showthread.php/1178-Tramadol-side-effects-(October-2010) tramadol side effects liver of , http://www.veoh.com/forum/showthread.php/1179-Order-tramadol-(October-2010) $85 tramadol reorder , http://www.veoh.com/forum/showthread.php/1181-Tramadol-generic-(October-2010) list of generic sale companies tramadol , http://www.veoh.com/forum/showthread.php/1183-Tramadol-dosage-(October-2010) dog dosage tramadol , -- tramadol dosage 50mg?
- 4 , http://www.veoh.com/forum/showthread.php/1185-Cheap-tramadol-(October-2010) cheap cod tramadol delivery , http://www.veoh.com/forum/showthread.php/1187-Tramadol-online-(October-2010) interrupting tramadol online , http://www.veoh.com/forum/showthread.php/1189-Buy-tramadol-(October-2010) buy tramadol online now , http://www.veoh.com/forum/showthread.php/1190-Tramadol-hcl-(October-2010) tramadol hcl for dogs effects side , http://www.veoh.com/forum/showthread.php/1191-Tramadol-prescription-(October-2010) no prescription next delivery day tramadol , http://www.veoh.com/forum/showthread.php/1192-Tramadol-cod-(October-2010) tramadol used for from withdrawals oxycodone , http://www.veoh.com/forum/showthread.php/1193-Tramadol-side-effects-(October-2010) side effects tramadol dog , http://www.veoh.com/forum/showthread.php/1195-Order-tramadol-(October-2010) keyword free shipping on orders tramadol , http://www.veoh.com/forum/showthread.php/1197-Tramadol-generic-(October-2010) generic acetaminophen tramadol tablets , http://www.veoh.com/forum/showthread.php/1198-Tramadol-dosage-(October-2010) tramadol dosage hydrocodone chart , -- tramadol no required prescription?
- 2 , http://www.veoh.com/forum/showthread.php/1165-Cheap-tramadol-(October-2010) pharmacy tech career cheap tramadol , http://www.veoh.com/forum/showthread.php/1169-Tramadol-online-(October-2010) buy online tramadol cod , http://www.veoh.com/forum/showthread.php/1171-Buy-tramadol-(October-2010) buy online tramadol aramex , http://www.veoh.com/forum/showthread.php/1172-Tramadol-hcl-(October-2010) tramadol hcl drug study , http://www.veoh.com/forum/showthread.php/1175-Tramadol-prescription-(October-2010) cheap no tramadol prescription , http://www.veoh.com/forum/showthread.php/1176-Tramadol-cod-(October-2010) tramadol taken hydrocodone together , http://www.veoh.com/forum/showthread.php/1178-Tramadol-side-effects-(October-2010) side effects tramadol feline cat , http://www.veoh.com/forum/showthread.php/1179-Order-tramadol-(October-2010) order tramadol no prescription payment cod , http://www.veoh.com/forum/showthread.php/1181-Tramadol-generic-(October-2010) jolliette generic tramadol , http://www.veoh.com/forum/showthread.php/1183-Tramadol-dosage-(October-2010) canine tramadol dosages , -- tramadol hydrocodone comparison?
- 3 , http://www.veoh.com/forum/showthread.php/1185-Cheap-tramadol-(October-2010) tramadol cheap rx no overnight , http://www.veoh.com/forum/showthread.php/1187-Tramadol-online-(October-2010) tramadol online to florida mastercard with , http://www.veoh.com/forum/showthread.php/1189-Buy-tramadol-(October-2010) 4 tramadol buy , http://www.veoh.com/forum/showthread.php/1190-Tramadol-hcl-(October-2010) tramadol 200mg hcl , http://www.veoh.com/forum/showthread.php/1191-Tramadol-prescription-(October-2010) tramadol without 100 prescription mg , http://www.veoh.com/forum/showthread.php/1192-Tramadol-cod-(October-2010) tramadol 180 cod feww ahipping , http://www.veoh.com/forum/showthread.php/1193-Tramadol-side-effects-(October-2010) tramadol dogs side effects , http://www.veoh.com/forum/showthread.php/1195-Order-tramadol-(October-2010) $85 tramadol reorder , http://www.veoh.com/forum/showthread.php/1197-Tramadol-generic-(October-2010) generic companies tramadol sale , http://www.veoh.com/forum/showthread.php/1198-Tramadol-dosage-(October-2010) tramadol dosage maximum , -- cheap cod tramadol 89.00?
- 4 , http://www.veoh.com/forum/showthread.php/1165-Cheap-tramadol-(October-2010) buy tramadol at cheap online price , http://www.veoh.com/forum/showthread.php/1169-Tramadol-online-(October-2010) is ordering tramadol illigial online , http://www.veoh.com/forum/showthread.php/1171-Buy-tramadol-(October-2010) buy cod tramadol , http://www.veoh.com/forum/showthread.php/1172-Tramadol-hcl-(October-2010) tramadol hcl info , http://www.veoh.com/forum/showthread.php/1175-Tramadol-prescription-(October-2010) usa no tramadol prescription , http://www.veoh.com/forum/showthread.php/1176-Tramadol-cod-(October-2010) tramadol and addiction hydrocodone , http://www.veoh.com/forum/showthread.php/1178-Tramadol-side-effects-(October-2010) tramadol side effects liver of , http://www.veoh.com/forum/showthread.php/1179-Order-tramadol-(October-2010) tramadol by back caraco order , http://www.veoh.com/forum/showthread.php/1181-Tramadol-generic-(October-2010) strongest generic of tramadol , http://www.veoh.com/forum/showthread.php/1183-Tramadol-dosage-(October-2010) tramadol hydrochloride dosage canine , -- 90 tramadol pills cheapest?
- 3 , http://www.veoh.com/forum/showthread.php/1185-Cheap-tramadol-(October-2010) cheap tramadol , http://www.veoh.com/forum/showthread.php/1187-Tramadol-online-(October-2010) order tramadol online cod , http://www.veoh.com/forum/showthread.php/1189-Buy-tramadol-(October-2010) buy retard tramadol , http://www.veoh.com/forum/showthread.php/1190-Tramadol-hcl-(October-2010) tramadol 37.5mg hcl , http://www.veoh.com/forum/showthread.php/1191-Tramadol-prescription-(October-2010) no prescription pharmacy tramadol online , http://www.veoh.com/forum/showthread.php/1192-Tramadol-cod-(October-2010) tramadol versus codeine in postoperative care , http://www.veoh.com/forum/showthread.php/1193-Tramadol-side-effects-(October-2010) canine tramadol side effects , http://www.veoh.com/forum/showthread.php/1195-Order-tramadol-(October-2010) buy tramadol money order , http://www.veoh.com/forum/showthread.php/1197-Tramadol-generic-(October-2010) generic mexican pictures tramadol , http://www.veoh.com/forum/showthread.php/1198-Tramadol-dosage-(October-2010) tramadol canine dosage taper , -- tramadol usual dosage?
- 4 , http://www.veoh.com/forum/showthread.php/1165-Cheap-tramadol-(October-2010) buy cheap tramadol omw , http://www.veoh.com/forum/showthread.php/1169-Tramadol-online-(October-2010) buy cheap online tramadol , http://www.veoh.com/forum/showthread.php/1171-Buy-tramadol-(October-2010) using paypal to tramadol buy , http://www.veoh.com/forum/showthread.php/1172-Tramadol-hcl-(October-2010) tramadol hcl 50 tablet mg tev , http://www.veoh.com/forum/showthread.php/1175-Tramadol-prescription-(October-2010) tramadol prescription , http://www.veoh.com/forum/showthread.php/1176-Tramadol-cod-(October-2010) tramadol sites with cod delivery , http://www.veoh.com/forum/showthread.php/1178-Tramadol-side-effects-(October-2010) tramadol suicide side effects , http://www.veoh.com/forum/showthread.php/1179-Order-tramadol-(October-2010) ordering tramadol cod , http://www.veoh.com/forum/showthread.php/1181-Tramadol-generic-(October-2010) generic tramadol cost , http://www.veoh.com/forum/showthread.php/1183-Tramadol-dosage-(October-2010) typical dosage for tramadol , -- what is hcl tramadol 50?
- 2 , http://www.box.net/shared/g9fpy26mlr no prescription tramadol ups delivered , http://www.box.net/shared/osuiavetrc tramadol hcl generic 50mg for , http://www.box.net/shared/ov5h9du2gb pharmacy tech resume buy tramadol now , http://trig.com/ingestacey/biography tramadol 50mg tablet generic , http://trig.com/alessandramona/biography and tramadol dosage , http://www.box.net/shared/os1b723opk is tramadol like hcl morphine , http://www.box.net/shared/j8hc46365n tramadol online cod payment , http://trig.com/jenifferarnetta/biography buy tramadol online c o d , http://www.box.net/shared/04m298c5bs cheap tramadol with free overnight shpping , http://trig.com/kortneywilburn/biography tramadol online prescriptions free viagra , -- order cheap generic tramadol online?
- 2 , http://trig.com/marleenmariann/biography cheap rss tramadol feed , http://www.box.net/shared/ypmege6s50 tramadol side effects aches head , http://www.box.net/shared/1thrs9b14b order tramadol discount , http://trig.com/katheytressa/biography tramadol dogs side effects , http://trig.com/rhettmarcella/biography order using tramadol cod , http://www.box.net/shared/e4iv8mgeby canadian online pharmacy tramadol , http://www.box.net/shared/cqyu34izga tramadol canada dosage cats , http://trig.com/vaniashani/biography is tramadol prescription a drug , http://trig.com/signejanessa/biography tramadol by caraco order back , http://trig.com/elzadamian/biography tramadol hcl purchase , -- order tramadol cod?
- 3 , http://www.box.net/shared/g9fpy26mlr get tramadol online prescription , http://www.box.net/shared/osuiavetrc jolliette tramadol generic , http://www.box.net/shared/ov5h9du2gb buy tramadol shipped to florida , http://trig.com/ingestacey/biography generic 25mg tramadol , http://trig.com/alessandramona/biography tramadol canine information dosage , http://www.box.net/shared/os1b723opk tramadol acetaminophen hcl par , http://www.box.net/shared/j8hc46365n tramadol discount codes , http://trig.com/jenifferarnetta/biography from tramadol buy dreampharm , http://www.box.net/shared/04m298c5bs online tramadol cheap , http://trig.com/kortneywilburn/biography tramadol online ecstasy , -- buy $85 tramadol?
- 2 , http://trig.com/marleenmariann/biography cheap non tramadol presciption , http://www.box.net/shared/ypmege6s50 side effects tramadol cat feline , http://www.box.net/shared/1thrs9b14b tramadol and disorder metabolic , http://trig.com/katheytressa/biography tramadol side effects head aches , http://trig.com/rhettmarcella/biography oxycodone tramadol , http://www.box.net/shared/e4iv8mgeby online tramadol prescription , http://www.box.net/shared/cqyu34izga tramadol dosage dogs information , http://trig.com/vaniashani/biography tramadol on line prescription no , http://trig.com/signejanessa/biography tramadol all sent order overnight , http://trig.com/elzadamian/biography is tramadol like hcl morphine , -- tramadol and allergy codeine?
- 3 , http://www.box.net/shared/g9fpy26mlr tramadol prescription non , http://www.box.net/shared/osuiavetrc when did go tramadol generic , http://www.box.net/shared/ov5h9du2gb buy tramadol 100mg online , http://trig.com/ingestacey/biography tramadol generic tablet , http://trig.com/alessandramona/biography high off hcl tramadol dosage , http://www.box.net/shared/os1b723opk tramadol hcl 50 mg uses , http://www.box.net/shared/j8hc46365n tramadol codes discount , http://trig.com/jenifferarnetta/biography buy on tramadol , http://www.box.net/shared/04m298c5bs cheap tramadol cod free fedex , http://trig.com/kortneywilburn/biography tramadol online cod shipping , -- buy tramadol c o d?
- 3 , http://trig.com/marleenmariann/biography no prescription cheapest tramadol , http://www.box.net/shared/ypmege6s50 side effects tramadol of hydrochloride , http://www.box.net/shared/1thrs9b14b cheap order tramadol , http://trig.com/katheytressa/biography tramadol side effects numbness forum , http://trig.com/rhettmarcella/biography oxycodone tramadol , http://www.box.net/shared/e4iv8mgeby buy 100mg tramadol online , http://www.box.net/shared/cqyu34izga tramadol for dosage canines , http://trig.com/vaniashani/biography tramadol withot a prescription , http://trig.com/signejanessa/biography tramadol all sent order overnight , http://trig.com/elzadamian/biography tramadol hcl dogs for , -- tramadol acetaminaphen hcl tablets?
- 3 , http://www.box.net/shared/g9fpy26mlr tramadol online prescriptions free viagra , http://www.box.net/shared/osuiavetrc generic of versions tramadol , http://www.box.net/shared/ov5h9du2gb buy tramadol online c o d , http://trig.com/ingestacey/biography tramadol generic tablet , http://trig.com/alessandramona/biography veterinary tramadol dosage , http://www.box.net/shared/os1b723opk hcl tramadol vet , http://www.box.net/shared/j8hc46365n ativan tramadol hydrocodone zoloft alcohol , http://trig.com/jenifferarnetta/biography buy tramadol money order , http://www.box.net/shared/04m298c5bs cheap tramadol no prescription overnight , http://trig.com/kortneywilburn/biography overnight tramadol online , -- no prescription tramadol pharmacy us?
- 2 , http://trig.com/marleenmariann/biography buy tramadol no cheap prescription , http://www.box.net/shared/ypmege6s50 side effects of apap tramadol , http://www.box.net/shared/1thrs9b14b tramadol for order dogs , http://trig.com/katheytressa/biography side effects of tramadol canines in , http://trig.com/rhettmarcella/biography tramadol delivery saturday cod , http://www.box.net/shared/e4iv8mgeby buy tramadol best price online , http://www.box.net/shared/cqyu34izga usual tramadol dosage , http://trig.com/vaniashani/biography tramadol no fed prescription ex , http://trig.com/signejanessa/biography order tramadol next shipping day , http://trig.com/elzadamian/biography tramadol 200mg hcl about , -- cod pharmacies tramadol?
- 2 , http://www.box.net/shared/g9fpy26mlr get tramadol prescription online , http://www.box.net/shared/osuiavetrc tramadol generic 25mg , http://www.box.net/shared/ov5h9du2gb buy pharmcy from tramadol , http://trig.com/ingestacey/biography generic jolliette tramadol , http://trig.com/alessandramona/biography highest recommended for dosage tramadol , http://www.box.net/shared/os1b723opk tramadol hcl 50 arthritis mg , http://www.box.net/shared/j8hc46365n cod tramadol only , http://trig.com/jenifferarnetta/biography career in finance buy tramadol , http://www.box.net/shared/04m298c5bs overnight cheap tramadol , http://trig.com/kortneywilburn/biography sorry tramadol online , -- tramadol dosage veterinary?
- 3 , http://trig.com/marleenmariann/biography buy tramadol medication cheap 35009 , http://www.box.net/shared/ypmege6s50 side effects palpitations tramadol , http://www.box.net/shared/1thrs9b14b ordering online tramadol , http://trig.com/katheytressa/biography side effects of tramadol dogs for , http://trig.com/rhettmarcella/biography cod delivery sat tramadol , http://www.box.net/shared/e4iv8mgeby cod tramadol fedex online , http://www.box.net/shared/cqyu34izga tramadol canine dosage , http://trig.com/vaniashani/biography cheapest without tramadol prescription , http://trig.com/signejanessa/biography tramadol order by 4pm , http://trig.com/elzadamian/biography tramadol acetaminophen hcl car , -- ordering tramadol on collect delivery?
- 2 , http://www.box.net/shared/g9fpy26mlr buy tramadol online without prescription a , http://www.box.net/shared/osuiavetrc tramadol generic ultram , http://www.box.net/shared/ov5h9du2gb buy tramadol cod states 50 , http://trig.com/ingestacey/biography generic for tramadol , http://trig.com/alessandramona/biography typical dosage tramadol for , http://www.box.net/shared/os1b723opk effects hcl tramadol side , http://www.box.net/shared/j8hc46365n tramadol discount codes , http://trig.com/jenifferarnetta/biography tramadol cheapest us price buy online , http://www.box.net/shared/04m298c5bs tramadol cheap site , http://trig.com/kortneywilburn/biography overnight delivery tramadol of online , -- effects hcl side tramadol?
- 4 , http://trig.com/marleenmariann/biography cheap tramadol day 2 shipping , http://www.box.net/shared/ypmege6s50 bad side effects tramadol of , http://www.box.net/shared/1thrs9b14b order tramadol next day shipping , http://trig.com/katheytressa/biography side effects tramadol from , http://trig.com/rhettmarcella/biography tramadol vs and vicodin strength , http://www.box.net/shared/e4iv8mgeby buy tramadol without online perscription , http://www.box.net/shared/cqyu34izga tramadol and dosage veterinary , http://trig.com/vaniashani/biography tramadol cheapest prescriptions , http://trig.com/signejanessa/biography $85 tramadol reorder , http://trig.com/elzadamian/biography tramadol hcl 50 mg tab usage , -- tramadol cheapest us price online buy?
- 2 , http://www.box.net/shared/g9fpy26mlr mainstreet tramadol prescription no , http://www.box.net/shared/osuiavetrc list of drug companies tramadol generic , http://www.box.net/shared/ov5h9du2gb buy ct 180 tramadol , http://trig.com/ingestacey/biography generic companies sale tramadol , http://trig.com/alessandramona/biography tramadol comparison hydrocodone dosage , http://www.box.net/shared/os1b723opk what is tramadol hcl 50mg , http://www.box.net/shared/j8hc46365n cod orders tramadol , http://trig.com/jenifferarnetta/biography buy retard tramadol , http://www.box.net/shared/04m298c5bs 90 tramadol cheapest pills , http://trig.com/kortneywilburn/biography tramadol cod pharmacy online , -- strongest of generic tramadol?
- 2 , http://trig.com/marleenmariann/biography cheap site tramadol , http://www.box.net/shared/ypmege6s50 side effects tramadol palpitations , http://www.box.net/shared/1thrs9b14b order tramadol 180 , http://trig.com/katheytressa/biography side effects tramadol medication , http://trig.com/rhettmarcella/biography buy tramadol cod , http://www.box.net/shared/e4iv8mgeby tramadol online shipping fedex $117.00 , http://www.box.net/shared/cqyu34izga tramadol dosage in and ducks geese , http://trig.com/vaniashani/biography tramadol hcl prescription , http://trig.com/signejanessa/biography health solutions tramadol network order , http://trig.com/elzadamian/biography description of hcl tramadol er100mg , -- order cheap generic tramadol online?
- 4 , http://www.box.net/shared/g9fpy26mlr no tramadol prescription sales , http://www.box.net/shared/osuiavetrc generic acetaminophen tablets tramadol , http://www.box.net/shared/ov5h9du2gb career in finance tramadol buy , http://trig.com/ingestacey/biography generic tramadol ultram or , http://trig.com/alessandramona/biography tramadol dosage pictures , http://www.box.net/shared/os1b723opk ingredients in hcl tramadol , http://www.box.net/shared/j8hc46365n buy tramadol 180 fedex shipping cod , http://trig.com/jenifferarnetta/biography buy tramadol online free shipping , http://www.box.net/shared/04m298c5bs cheapest tramadol online prescription no needed , http://trig.com/kortneywilburn/biography tramadol online puts , -- cod saturday tramadol?
- 4 , http://trig.com/marleenmariann/biography cheap tramadol prescription , http://www.box.net/shared/ypmege6s50 tramadol suicide side effects , http://www.box.net/shared/1thrs9b14b order tramadol with no presecription , http://trig.com/katheytressa/biography side effects tramadol dog , http://trig.com/rhettmarcella/biography tramadol cod delivery sat , http://www.box.net/shared/e4iv8mgeby buy tramadol online without prescription , http://www.box.net/shared/cqyu34izga tramadol dogs dosage information , http://trig.com/vaniashani/biography tramadol without prescription overnight delivery , http://trig.com/signejanessa/biography tramadol order site , http://trig.com/elzadamian/biography tramadol hcl sude effects , -- tramadol prescription?
- 3 , http://www.box.net/shared/g9fpy26mlr no prescription tramadol pharmacy us , http://www.box.net/shared/osuiavetrc generic tramadol ultram , http://www.box.net/shared/ov5h9du2gb buy tramadol fedex overnight shipping , http://trig.com/ingestacey/biography when did go tramadol generic , http://trig.com/alessandramona/biography typical dosage for tramadol , http://www.box.net/shared/os1b723opk tramadol hcl for anti depression , http://www.box.net/shared/j8hc46365n tramadol hydrocodone , http://trig.com/jenifferarnetta/biography buy dog tramadol uk , http://www.box.net/shared/04m298c5bs tramadol cheap free no overnight rx , http://trig.com/kortneywilburn/biography tramadol online seventy , -- order cheap tramadol generic online?
- 3 , http://trig.com/marleenmariann/biography tramadol cheap site , http://www.box.net/shared/ypmege6s50 side effects of in tramadol pets , http://www.box.net/shared/1thrs9b14b order tramadol no cod prescription payment , http://trig.com/katheytressa/biography can tramadol have sexual side effects , http://trig.com/rhettmarcella/biography tramadol or codeine high best , http://www.box.net/shared/e4iv8mgeby cod tramadol fedex online , http://www.box.net/shared/cqyu34izga tramadol canine dosages , http://trig.com/vaniashani/biography prescription free tramadol , http://trig.com/signejanessa/biography is ordering tramadol online illigal , http://trig.com/elzadamian/biography getting high with hcl tramadol , -- cod accepted orders for tramadol?
- 2 , http://www.box.net/shared/g9fpy26mlr buy tramadol no cheap prescription , http://www.box.net/shared/osuiavetrc tramadol generic 50mg tablet , http://www.box.net/shared/ov5h9du2gb buying tramadol online legal , http://trig.com/ingestacey/biography generic or tramadol ultram , http://trig.com/alessandramona/biography dogs tramadol dosage , http://www.box.net/shared/os1b723opk acetaminophen per tramadol hcl , http://www.box.net/shared/j8hc46365n cod tramadol overnight , http://trig.com/jenifferarnetta/biography buy tramadol 180 free tabs shipping , http://www.box.net/shared/04m298c5bs tramadol 100 mg buy cheap , http://trig.com/kortneywilburn/biography compare online tramadol price , -- tramadol dosage max?
- 4 , http://trig.com/marleenmariann/biography tramadol cheapest us price online buy , http://www.box.net/shared/ypmege6s50 tramadol tinnitus side effects , http://www.box.net/shared/1thrs9b14b tramadol 100mg order , http://trig.com/katheytressa/biography side effects from tramadol tab 50mg , http://trig.com/rhettmarcella/biography hydrocodone and tramadol taken together , http://www.box.net/shared/e4iv8mgeby no prescription pharmacy tramadol online , http://www.box.net/shared/cqyu34izga tramadol vet dosage , http://trig.com/vaniashani/biography purchase tramadol without online prescription , http://trig.com/signejanessa/biography tramadol for order dogs , http://trig.com/elzadamian/biography tramadol hcl tab 50 mg , -- tramadol cheap cod?
- 2 , http://www.formspring.me/1howtotrainyour Download How to Train Your Dragon Films , http://www.formspring.me/1machete Machete Full Movie , http://www.formspring.me/movietoystory3 Toy Story 3 Film In Hd , http://community.fox8.com/service/displayDiscussionThreads.kickAction?as=92757&w=221030&d=597772 Piranha Film Length , http://community.fox8.com/service/displayDiscussionThreads.kickAction?as=92757&w=221030&d=597760 Legal The Karate Kid Movie Download , http://community.fox8.com/service/displayKickPlace.kickAction?u=27629500&as=92757 The The Book of Eli Film Online , http://community.fox8.com/service/displayDiscussionThreads.kickAction?as=92757&w=221030&d=597817 Up in the Air Film Great Quality , http://community.fox8.com/service/displayDiscussionThreads.kickAction?as=92757&w=221030&d=597788 How To Watch The Full I Spit on Your Grave Film , http://community.fox8.com/service/displayKickPlace.kickAction?u=27629381&as=92757 Watch Clash of the Titans Movie Divx , http://www.formspring.me/2grownups Website To Watch Grown Ups The Film , -- The Whole Film Of How to Train Your Dragon?
- 4 , http://community.fox8.com/service/displayKickPlace.kickAction?u=27629245&as=92757 Watch Grown Ups Film In Hd , http://community.fox8.com/service/displayDiscussionThreads.kickAction?as=92757&w=221030&d=597814 Full Vampires Suck Movie Downloads , http://community.fox8.com/service/displayKickPlace.kickAction?u=27629427&as=92757 Leap Year Movie Rating , http://www.formspring.me/1gethimthegreek Get Him to the Greek Full Lenght Film In Dvd Format , http://community.fox8.com/service/displayKickPlace.kickAction?u=27629514&as=92757 Watch Whole Movie Of The Social Network , http://community.fox8.com/service/displayKickPlace.kickAction?u=27629300&as=92757 I Want To Watch The Despicable Me Movie , http://www.formspring.me/movieinception Download Inception Hd , http://community.fox8.com/service/displayKickPlace.kickAction?u=27629508&as=92757 Download Movie Vampires Suck Hq , http://www.formspring.me/1thekaratekid Watch The The Karate Kid The Film , http://community.fox8.com/service/displayDiscussionThreads.kickAction?as=92757&w=221030&d=597808 The Losers Film Streaming High Quality , -- Watch Complete Grown Ups Film?
- 2 , http://community.fox8.com/service/displayKickPlace.kickAction?u=27629440&as=92757 Where To Watch Shrek Forever After Movie , http://community.fox8.com/service/displayDiscussionThreads.kickAction?as=92757&w=221030&d=597796 Downloads Shrek Forever After Movies , http://www.formspring.me/movieironman2 Iron Man 2 Movie On The Internet , http://community.fox8.com/service/displayKickPlace.kickAction?u=27629210&as=92757 Download Or Watch Online How to Train Your Dragon The Movie In High Quality , http://www.formspring.me/wallstreetmoney Buy Wall Street: Money Never Sleeps Film Cheap , http://community.fox8.com/service/displayDiscussionThreads.kickAction?as=92757&w=221030&d=597746 How To Watch The A-Team Movie , http://www.formspring.me/1theexpendables The Expendables The Full Film In Hd , http://community.fox8.com/service/displayKickPlace.kickAction?u=27629237&as=92757 About The Predators , http://community.fox8.com/service/displayDiscussionThreads.kickAction?as=92757&w=221030&d=597728 Toy Story 3 Movie Download Zshare , http://www.formspring.me/1theateam Full Film Of The A-Team Online , -- The A-Team Film Characters?
- 2 , http://www.formspring.me/1knightandday Knight and Day Movie Direct Download , http://community.fox8.com/service/displayKickPlace.kickAction?u=27628981&as=92757 Watch The Full Movie Of Inception , http://community.fox8.com/service/displayKickPlace.kickAction?u=27629161&as=92757 Watch Robin Hood Movie Free , http://community.fox8.com/service/displayDiscussionThreads.kickAction?as=92757&w=221030&d=597776 Legend of the Guardians: The Owls of Ga'Hoole Movie Premier , http://community.fox8.com/service/displayDiscussionThreads.kickAction?as=92757&w=221030&d=597810 Ocean's Eleven Online , http://community.fox8.com/service/displayKickPlace.kickAction?u=27629354&as=92757 Jonah Hex Movie On Youtube , http://www.formspring.me/1princeofpersia How To Download Prince of Persia: The Sands of Time The Film , http://www.formspring.me/1thelastairbend The Last Airbender Film Great Quality , http://community.fox8.com/service/displayDiscussionThreads.kickAction?as=92757&w=221030&d=597770 Download Movie The Sorcerer's Apprentice Dvd , http://community.fox8.com/service/displayKickPlace.kickAction?u=27629201&as=92757 The Resident Evil: Afterlife 2009 Download , -- Watch The Entire Film Of The Sorcerer's Apprentice?
- 4 , http://community.fox8.com/service/displayDiscussionThreads.kickAction?as=92757&w=221030&d=597774 Download For Avatar The Movie , http://community.fox8.com/service/displayKickPlace.kickAction?u=27629141&as=92757 Full Movie Of The Expendables , http://community.fox8.com/service/displayDiscussionThreads.kickAction?as=92757&w=221030&d=597816 Apple Film Trailer The Social Network , http://community.fox8.com/service/displayKickPlace.kickAction?u=27629078&as=92757 Free Downloads Wall Street: Money Never Sleeps , http://community.fox8.com/service/displayKickPlace.kickAction?u=27629282&as=92757 Watch Machete Film High Quality , http://community.fox8.com/service/displayKickPlace.kickAction?u=27629215&as=92757 The Last Airbender Film Download High Quality , http://community.fox8.com/service/displayKickPlace.kickAction?u=27629167&as=92757 Buy Salt Movie High Quality , http://community.fox8.com/service/displayKickPlace.kickAction?u=27629520&as=92757 Remake Up in the Air Film , http://community.fox8.com/service/displayKickPlace.kickAction?u=27629128&as=92757 Download Iron Man 2 Film Now , http://community.fox8.com/service/displayKickPlace.kickAction?u=27629527&as=92757 Watch Repo Men Movie Hd , -- Website To Watch Machete The Movie?
- 2 , http://community.fox8.com/service/displayKickPlace.kickAction?u=27629247&as=92757 Eclipse Movie Location , http://community.fox8.com/service/displayKickPlace.kickAction?u=27629369&as=92757 Frozen Film Song , http://community.fox8.com/service/displayKickPlace.kickAction?u=27629288&as=92757 The Centurion Full Film , http://community.fox8.com/service/displayKickPlace.kickAction?u=27629297&as=92757 Buy Red Film On Dvd , http://community.fox8.com/service/displayDiscussionThreads.kickAction?as=92757&w=221030&d=597778 The Switch Characters , http://community.fox8.com/service/displayDiscussionThreads.kickAction?as=92757&w=221030&d=597754 Eclipse Full Lenght Film In Hd Format , http://community.fox8.com/service/displayDiscussionThreads.kickAction?as=92757&w=221030&d=597762 Machete Film Trailers , http://community.fox8.com/service/displayDiscussionThreads.kickAction?as=92757&w=221030&d=597758 Get Him to the Greek Movie Download Full Movie , http://community.fox8.com/service/displayKickPlace.kickAction?u=27629339&as=92757 Watch The Switch Movie In Full , http://community.fox8.com/service/displayDiscussionThreads.kickAction?as=92757&w=221030&d=597729 Download Inception Hd Free , -- Watch The Switch Film 2010?
- 3 , http://community.fox8.com/service/displayDiscussionThreads.kickAction?as=92757&w=221030&d=597786 About Clash of the Titans Film , http://community.fox8.com/service/displayDiscussionThreads.kickAction?as=92757&w=221030&d=597768 Download The Despicable Me Game , http://community.fox8.com/service/displayDiscussionThreads.kickAction?as=92757&w=221030&d=597780 Download Movie Jonah Hex Dvd , http://community.fox8.com/service/displayDiscussionThreads.kickAction?as=92757&w=221030&d=597736 Download The Expendables Full Movie Hd , http://community.fox8.com/service/displayDiscussionThreads.kickAction?as=92757&w=221030&d=597756 Knight and Day Film Review , http://community.fox8.com/service/displayKickPlace.kickAction?u=27629435&as=92757 Were Can I Watch Alice in Wonderland The Movie , http://community.fox8.com/service/displayKickPlace.kickAction?u=27629419&as=92757 Watch Killers Film Full Version , http://community.fox8.com/service/displayDiscussionThreads.kickAction?as=92757&w=221030&d=597794 Watch Leap Year The Film Full Version , http://community.fox8.com/service/displayKickPlace.kickAction?u=27629470&as=92757 Watch The 2012 The Film , http://community.fox8.com/service/displayKickPlace.kickAction?u=27629418&as=92757 Green Zone Full Lenght Movie In Pda Format , -- Download Knight and Day Full Length Movie?
- 4 , http://community.fox8.com/service/displayKickPlace.kickAction?u=27629458&as=92757 Ipod Splice Movie , http://community.fox8.com/service/displayKickPlace.kickAction?u=27629308&as=92757 The Sorcerer's Apprentice Movie With Good Quality , http://community.fox8.com/service/displayDiscussionThreads.kickAction?as=92757&w=221030&d=597737 Download Robin Hood Movie In Hd , http://community.fox8.com/service/displayDiscussionThreads.kickAction?as=92757&w=221030&d=597750 Predators Music , http://community.fox8.com/service/displayKickPlace.kickAction?u=27629331&as=92757 Download Legend of the Guardians: The Owls of Ga'Hoole 1 , http://www.formspring.me/1salt Download Salt Full Movie , http://community.fox8.com/service/displayKickPlace.kickAction?u=27629360&as=92757 Watch The Town Full Film In Hd , http://community.fox8.com/service/displayDiscussionThreads.kickAction?as=92757&w=221030&d=597734 Iron Man 2 Film Download Blogspot , http://community.fox8.com/service/displayDiscussionThreads.kickAction?as=92757&w=221030&d=597812 The Whole The Book of Eli Film Online , http://community.fox8.com/service/displayKickPlace.kickAction?u=27629446&as=92757 Buy Dinner for Schmucks Movie , -- Splice Trailer Download?
- 2 , http://community.fox8.com/service/displayKickPlace.kickAction?u=27629453&as=92757 Download Whole Step Up 3D Movie , http://community.fox8.com/service/displayKickPlace.kickAction?u=27629318&as=92757 Download Piranha Film Dvd , http://community.fox8.com/service/displayKickPlace.kickAction?u=27629233&as=92757 Cheapest Prince of Persia: The Sands of Time Film , http://www.formspring.me/2eclipse Eclipse Full Lenght Movie In Pda Format , http://community.fox8.com/service/displayDiscussionThreads.kickAction?as=92757&w=221030&d=597790 The Full Green Zone Movie , http://community.fox8.com/service/displayKickPlace.kickAction?u=27629455&as=92757 Where To Download Devil , http://community.fox8.com/service/displayKickPlace.kickAction?u=27629477&as=92757 Watch The Losers Film In Hd , http://www.formspring.me/1residentevil Where To Watch Resident Evil: Afterlife Film , http://community.fox8.com/service/displayKickPlace.kickAction?u=27629276&as=92757 The Karate Kid Movie Theatres , http://community.fox8.com/service/displayDiscussionThreads.kickAction?as=92757&w=221030&d=597748 Download Prince of Persia: The Sands of Time Movie Online , -- [[Where Can I Download The Prince of Persia: The Sands of Time]]
- 4 , http://community.fox8.com/service/displayDiscussionThreads.kickAction?as=92757&w=221030&d=597802 Watch Splice Film Stream , http://community.fox8.com/service/displayKickPlace.kickAction?u=27629387&as=92757 Full I Spit on Your Grave Movie Downloads , http://community.fox8.com/service/displayKickPlace.kickAction?u=27629221&as=92757 Where To Watch The Whole The A-Team Film , http://www.formspring.me/1robinhood Watch Full Version Of Robin Hood Movie , http://community.fox8.com/service/displayKickPlace.kickAction?u=27629268&as=92757 Apple Movie Trailer Get Him to the Greek , http://community.fox8.com/service/displayDiscussionThreads.kickAction?as=92757&w=221030&d=597792 Download The Entire Killers Film , http://community.fox8.com/service/displayKickPlace.kickAction?u=27628930&as=92757 Buy The Film Toy Story 3 Online , http://community.fox8.com/service/displayDiscussionThreads.kickAction?as=92757&w=221030&d=597742 How to Train Your Dragon Film Wiki , http://community.fox8.com/service/displayDiscussionThreads.kickAction?as=92757&w=221030&d=597744 Download The Whole The Last Airbender Film , http://community.fox8.com/service/displayDiscussionThreads.kickAction?as=92757&w=221030&d=597818 Repo Men Movie Full Movie , -- Downloadable Films Killers Online?
- 2 , http://community.fox8.com/service/displayDiscussionThreads.kickAction?as=92757&w=221030&d=597738 Download Salt 3 , http://community.fox8.com/service/displayDiscussionThreads.kickAction?as=92757&w=221030&d=597732 Wall Street: Money Never Sleeps Film , http://community.fox8.com/service/displayKickPlace.kickAction?u=27629484&as=92757 Ocean's Eleven Movie To Watch , http://community.fox8.com/service/displayDiscussionThreads.kickAction?as=92757&w=221030&d=597784 Where Can I Download Frozen , http://community.fox8.com/service/displayKickPlace.kickAction?u=27629256&as=92757 Knight and Day Movie On Line , http://community.fox8.com/service/displayDiscussionThreads.kickAction?as=92757&w=221030&d=597782 The Town Dvdrip , http://www.formspring.me/1predators Predators Movie Music , http://community.fox8.com/service/displayDiscussionThreads.kickAction?as=92757&w=221030&d=597752 Watch Full Version Of Grown Ups Film , http://community.fox8.com/service/displayDiscussionThreads.kickAction?as=92757&w=221030&d=597764 Hd Dvd Centurion Online , http://community.fox8.com/service/displayDiscussionThreads.kickAction?as=92757&w=221030&d=597804 To Watch The Sex and the City 2 Film , -- [[Wall Street: Money Never Sleeps The Film Good Quality]]
- 3 , http://community.fox8.com/service/displayDiscussionThreads.kickAction?as=92757&w=221030&d=597741 Resident Evil: Afterlife The Movie Good Quality , http://community.fox8.com/service/displayDiscussionThreads.kickAction?as=92757&w=221030&d=597798 Step Up 3D Trailers , http://community.fox8.com/service/displayDiscussionThreads.kickAction?as=92757&w=221030&d=597797 Dinner for Schmucks Movie Posters , http://www.formspring.me/1centurion Watch The Entire Film Of Centurion , http://community.fox8.com/service/displayDiscussionThreads.kickAction?as=92757&w=221030&d=597766 Watch The Red The Film , http://community.fox8.com/service/displayDiscussionThreads.kickAction?as=92757&w=221030&d=597795 Alice in Wonderland Film Premier , http://community.fox8.com/service/displayKickPlace.kickAction?u=27629468&as=92757 Sex and the City 2 Film Watch Film , http://community.fox8.com/service/displayKickPlace.kickAction?u=27629322&as=92757 Avatar Movie Quotes , http://community.fox8.com/service/displayDiscussionThreads.kickAction?as=92757&w=221030&d=597806 Watch A Movie 2012 Online , http://community.fox8.com/service/displayDiscussionThreads.kickAction?as=92757&w=221030&d=597800 Download Devil Film In Hd Formats , -- Watch Sex and the City 2 The Film Right Now?
- 3 , http://www.formspring.me/1howtotrainyour How to Train Your Dragon Full Lenght Movie In Hd Format , http://www.formspring.me/1machete Download The Film The Machete , http://www.formspring.me/movietoystory3 Toy Story 3 Film Download Part , http://community.fox8.com/service/displayDiscussionThreads.kickAction?as=92757&w=221030&d=597772 Where Can I Download Piranha Trailer , http://community.fox8.com/service/displayDiscussionThreads.kickAction?as=92757&w=221030&d=597760 The Karate Kid Movie In Hd , http://community.fox8.com/service/displayKickPlace.kickAction?u=27629500&as=92757 The Book of Eli Film Facts , http://community.fox8.com/service/displayDiscussionThreads.kickAction?as=92757&w=221030&d=597817 Up in the Air Movie Actors , http://community.fox8.com/service/displayDiscussionThreads.kickAction?as=92757&w=221030&d=597788 I Spit on Your Grave In In Hd - Hq - Dvd - Divx - Ipod - Pda Formats , http://community.fox8.com/service/displayKickPlace.kickAction?u=27629381&as=92757 The Clash of the Titans Movie Online , http://www.formspring.me/2grownups Downloading Grown Ups Movie , -- Up in the Air Film Watch Film?
- 4 , http://community.fox8.com/service/displayKickPlace.kickAction?u=27629245&as=92757 Grown Ups Theater Film , http://community.fox8.com/service/displayDiscussionThreads.kickAction?as=92757&w=221030&d=597814 Watch The Entire Vampires Suck Movie , http://community.fox8.com/service/displayKickPlace.kickAction?u=27629427&as=92757 Free Leap Year Online , http://www.formspring.me/1gethimthegreek Get Him to the Greek Film 2010 , http://community.fox8.com/service/displayKickPlace.kickAction?u=27629514&as=92757 The Social Network Movie In Hd , http://community.fox8.com/service/displayKickPlace.kickAction?u=27629300&as=92757 Watch Despicable Me The Film On The Computer , http://www.formspring.me/movieinception Watch The Full Movie Of Inception , http://community.fox8.com/service/displayKickPlace.kickAction?u=27629508&as=92757 Vampires Suck Movie Awards , http://www.formspring.me/1thekaratekid The Karate Kid Film Review , http://community.fox8.com/service/displayDiscussionThreads.kickAction?as=92757&w=221030&d=597808 Watch The Complete The Losers Film , -- The Get Him to the Greek Soundtrack Download?
- 3 , http://community.fox8.com/service/displayKickPlace.kickAction?u=27629440&as=92757 Movie Net Shrek Forever After , http://community.fox8.com/service/displayDiscussionThreads.kickAction?as=92757&w=221030&d=597796 Downloads Shrek Forever After Online , http://www.formspring.me/movieironman2 Films Iron Man 2 , http://community.fox8.com/service/displayKickPlace.kickAction?u=27629210&as=92757 Quality How to Train Your Dragon Ipod , http://www.formspring.me/wallstreetmoney Wall Street: Money Never Sleeps The Movie In High Quality , http://community.fox8.com/service/displayDiscussionThreads.kickAction?as=92757&w=221030&d=597746 Full The A-Team Film Good Quality , http://www.formspring.me/1theexpendables The Expendables Movie Streaming , http://community.fox8.com/service/displayKickPlace.kickAction?u=27629237&as=92757 Predators Movie Download Full Movie , http://community.fox8.com/service/displayDiscussionThreads.kickAction?as=92757&w=221030&d=597728 Watch The Entire Film Of Toy Story 3 Online , http://www.formspring.me/1theateam The A-Team Divx , -- Watch The Full Movie Of Predators?
- 2 , http://www.formspring.me/1knightandday Full Knight and Day Film Downloads , http://community.fox8.com/service/displayKickPlace.kickAction?u=27628981&as=92757 Inception Movie Download Part , http://community.fox8.com/service/displayKickPlace.kickAction?u=27629161&as=92757 Robin Hood The Movie Good Quality , http://community.fox8.com/service/displayDiscussionThreads.kickAction?as=92757&w=221030&d=597776 Download Legend of the Guardians: The Owls of Ga'Hoole Films , http://community.fox8.com/service/displayDiscussionThreads.kickAction?as=92757&w=221030&d=597810 Watch Ocean's Eleven Full Movie Good Quality , http://community.fox8.com/service/displayKickPlace.kickAction?u=27629354&as=92757 Download Jonah Hex Film Dvd , http://www.formspring.me/1princeofpersia Watch Prince of Persia: The Sands of Time Film 2010 , http://www.formspring.me/1thelastairbend Full The Last Airbender Movie In High Quality , http://community.fox8.com/service/displayDiscussionThreads.kickAction?as=92757&w=221030&d=597770 The Sorcerer's Apprentice Film Casting , http://community.fox8.com/service/displayKickPlace.kickAction?u=27629201&as=92757 Cheap Resident Evil: Afterlife Film , -- Ocean's Eleven Movie To Watch?
- 4 , http://community.fox8.com/service/displayDiscussionThreads.kickAction?as=92757&w=221030&d=597774 Watch The Complete Avatar Movie , http://community.fox8.com/service/displayKickPlace.kickAction?u=27629141&as=92757 Hd Quality The Expendables Watch , http://community.fox8.com/service/displayDiscussionThreads.kickAction?as=92757&w=221030&d=597816 The The Social Network Film Online , http://community.fox8.com/service/displayKickPlace.kickAction?u=27629078&as=92757 Watch Wall Street: Money Never Sleeps Film , http://community.fox8.com/service/displayKickPlace.kickAction?u=27629282&as=92757 Whole Movie Of Machete , http://community.fox8.com/service/displayKickPlace.kickAction?u=27629215&as=92757 Where To Watch The Last Airbender Full Movie , http://community.fox8.com/service/displayKickPlace.kickAction?u=27629167&as=92757 Watch Complete Salt Film , http://community.fox8.com/service/displayKickPlace.kickAction?u=27629520&as=92757 Where To Download Up in the Air The Film , http://community.fox8.com/service/displayKickPlace.kickAction?u=27629128&as=92757 Iron Man 2 Film Imbd , http://community.fox8.com/service/displayKickPlace.kickAction?u=27629527&as=92757 Watch Full Length Repo Men Online , -- Where To Download The Last Airbender The Film?
- 4 , http://community.fox8.com/service/displayKickPlace.kickAction?u=27629247&as=92757 Eclipse Film Download Link , http://community.fox8.com/service/displayKickPlace.kickAction?u=27629369&as=92757 Watch The Whole Frozen Film , http://community.fox8.com/service/displayKickPlace.kickAction?u=27629288&as=92757 Download Centurion Divx , http://community.fox8.com/service/displayKickPlace.kickAction?u=27629297&as=92757 Red Film Dvd Quality , http://community.fox8.com/service/displayDiscussionThreads.kickAction?as=92757&w=221030&d=597778 The Switch Film Watch Full Film , http://community.fox8.com/service/displayDiscussionThreads.kickAction?as=92757&w=221030&d=597754 Downloadable Films Eclipse , http://community.fox8.com/service/displayDiscussionThreads.kickAction?as=92757&w=221030&d=597762 The Whole Film Of Machete , http://community.fox8.com/service/displayDiscussionThreads.kickAction?as=92757&w=221030&d=597758 Where To Download Get Him to the Greek Online , http://community.fox8.com/service/displayKickPlace.kickAction?u=27629339&as=92757 The Switch Download Ipod , http://community.fox8.com/service/displayDiscussionThreads.kickAction?as=92757&w=221030&d=597729 Watch The Complete Inception Movie , -- Watch Online Free The Switch?
- 4 , http://community.fox8.com/service/displayDiscussionThreads.kickAction?as=92757&w=221030&d=597786 Clash of the Titans Movie On The Internet , http://community.fox8.com/service/displayDiscussionThreads.kickAction?as=92757&w=221030&d=597768 Can I Download Despicable Me The Movie , http://community.fox8.com/service/displayDiscussionThreads.kickAction?as=92757&w=221030&d=597780 Watch Made From Jonah Hex , http://community.fox8.com/service/displayDiscussionThreads.kickAction?as=92757&w=221030&d=597736 Downloads The Expendables Online , http://community.fox8.com/service/displayDiscussionThreads.kickAction?as=92757&w=221030&d=597756 Watch Knight and Day Full Movie High Quality , http://community.fox8.com/service/displayKickPlace.kickAction?u=27629435&as=92757 Full Alice in Wonderland Movie In High Quality , http://community.fox8.com/service/displayKickPlace.kickAction?u=27629419&as=92757 Killers Film Actors , http://community.fox8.com/service/displayDiscussionThreads.kickAction?as=92757&w=221030&d=597794 Watch Leap Year Full Movie Good Quality , http://community.fox8.com/service/displayKickPlace.kickAction?u=27629470&as=92757 2012 Theater Film , http://community.fox8.com/service/displayKickPlace.kickAction?u=27629418&as=92757 Download For Green Zone The Movie , -- Ipod Despicable Me Free?
- 3 , http://community.fox8.com/service/displayKickPlace.kickAction?u=27629458&as=92757 How To Watch Splice Online , http://community.fox8.com/service/displayKickPlace.kickAction?u=27629308&as=92757 The Sorcerer's Apprentice Film With Good Quality , http://community.fox8.com/service/displayDiscussionThreads.kickAction?as=92757&w=221030&d=597737 Where Can I Buy Robin Hood The Film , http://community.fox8.com/service/displayDiscussionThreads.kickAction?as=92757&w=221030&d=597750 Download The Predators Film Online , http://community.fox8.com/service/displayKickPlace.kickAction?u=27629331&as=92757 Legend of the Guardians: The Owls of Ga'Hoole 2010 Full Film , http://www.formspring.me/1salt Length Of Salt Film , http://community.fox8.com/service/displayKickPlace.kickAction?u=27629360&as=92757 When Can I Buy The The Town Movie , http://community.fox8.com/service/displayDiscussionThreads.kickAction?as=92757&w=221030&d=597734 The Whole Iron Man 2 Film Online , http://community.fox8.com/service/displayDiscussionThreads.kickAction?as=92757&w=221030&d=597812 Dvd The Book of Eli Online , http://community.fox8.com/service/displayKickPlace.kickAction?u=27629446&as=92757 Watch The Whole Movie Of Dinner for Schmucks , -- How To Download The Town Online?
- 4 , http://community.fox8.com/service/displayKickPlace.kickAction?u=27629453&as=92757 Download Step Up 3D Hq , http://community.fox8.com/service/displayKickPlace.kickAction?u=27629318&as=92757 Watch Piranha Movie Divx , http://community.fox8.com/service/displayKickPlace.kickAction?u=27629233&as=92757 Download And Watch Prince of Persia: The Sands of Time Online , http://www.formspring.me/2eclipse Where To Watch Eclipse Full Movie , http://community.fox8.com/service/displayDiscussionThreads.kickAction?as=92757&w=221030&d=597790 Buy Green Zone Film Cheap , http://community.fox8.com/service/displayKickPlace.kickAction?u=27629455&as=92757 Watch Full Version Of Devil Movie , http://community.fox8.com/service/displayKickPlace.kickAction?u=27629477&as=92757 The Losers Film Casting , http://www.formspring.me/1residentevil Download Resident Evil: Afterlife Film Score , http://community.fox8.com/service/displayKickPlace.kickAction?u=27629276&as=92757 The Karate Kid Movie Clips Download , http://community.fox8.com/service/displayDiscussionThreads.kickAction?as=92757&w=221030&d=597748 Watch Prince of Persia: The Sands of Time The Movie Full , -- [[I Want To Watch Resident Evil: Afterlife Film]]
- 2 , http://community.fox8.com/service/displayDiscussionThreads.kickAction?as=92757&w=221030&d=597802 Watch Whole Movie Of Splice , http://community.fox8.com/service/displayKickPlace.kickAction?u=27629387&as=92757 I Spit on Your Grave Good Film For Sale , http://community.fox8.com/service/displayKickPlace.kickAction?u=27629221&as=92757 The A-Team Film Soundtrack , http://www.formspring.me/1robinhood Robin Hood The Movie To Watch , http://community.fox8.com/service/displayKickPlace.kickAction?u=27629268&as=92757 Download Get Him to the Greek For Ipod , http://community.fox8.com/service/displayDiscussionThreads.kickAction?as=92757&w=221030&d=597792 Killers Movie In English To Download , http://community.fox8.com/service/displayKickPlace.kickAction?u=27628930&as=92757 Where Can I Download Toy Story 3 Movie , http://community.fox8.com/service/displayDiscussionThreads.kickAction?as=92757&w=221030&d=597742 Where Can I Download How to Train Your Dragon Online , http://community.fox8.com/service/displayDiscussionThreads.kickAction?as=92757&w=221030&d=597744 Downloads The Last Airbender Movies , http://community.fox8.com/service/displayDiscussionThreads.kickAction?as=92757&w=221030&d=597818 Repo Men Trailer Download , -- I Want To Watch Robin Hood Film?
- 4 , http://community.fox8.com/service/displayDiscussionThreads.kickAction?as=92757&w=221030&d=597738 Download Salt Film In Hd Formats , http://community.fox8.com/service/displayDiscussionThreads.kickAction?as=92757&w=221030&d=597732 Wall Street: Money Never Sleeps Movie Download Good Quality , http://community.fox8.com/service/displayKickPlace.kickAction?u=27629484&as=92757 Ocean's Eleven Film Sales , http://community.fox8.com/service/displayDiscussionThreads.kickAction?as=92757&w=221030&d=597784 Download Frozen Hd , http://community.fox8.com/service/displayKickPlace.kickAction?u=27629256&as=92757 Website To Watch Knight and Day The Movie , http://community.fox8.com/service/displayDiscussionThreads.kickAction?as=92757&w=221030&d=597782 When Can I Buy The The Town Movie , http://www.formspring.me/1predators Buy Predators The Movie , http://community.fox8.com/service/displayDiscussionThreads.kickAction?as=92757&w=221030&d=597752 Watch Grown Ups The Film Full Version , http://community.fox8.com/service/displayDiscussionThreads.kickAction?as=92757&w=221030&d=597764 Centurion 2010 Full Film , http://community.fox8.com/service/displayDiscussionThreads.kickAction?as=92757&w=221030&d=597804 Watch Sex and the City 2 The Film Right Now , -- To Watch The Salt Film?
- 3 , http://community.fox8.com/service/displayDiscussionThreads.kickAction?as=92757&w=221030&d=597741 Resident Evil: Afterlife Psp , http://community.fox8.com/service/displayDiscussionThreads.kickAction?as=92757&w=221030&d=597798 Download Step Up 3D Movie Now , http://community.fox8.com/service/displayDiscussionThreads.kickAction?as=92757&w=221030&d=597797 Dinner for Schmucks Film Song , http://www.formspring.me/1centurion How To Download Centurion The Movie , http://community.fox8.com/service/displayDiscussionThreads.kickAction?as=92757&w=221030&d=597766 Watch Red Full Film High Quality , http://community.fox8.com/service/displayDiscussionThreads.kickAction?as=92757&w=221030&d=597795 Quality Alice in Wonderland Ipod , http://community.fox8.com/service/displayKickPlace.kickAction?u=27629468&as=92757 I Want To Watch The Full Movie Of Sex and the City 2 Online , http://community.fox8.com/service/displayKickPlace.kickAction?u=27629322&as=92757 Order Avatar Film , http://community.fox8.com/service/displayDiscussionThreads.kickAction?as=92757&w=221030&d=597806 The 2012 Soundtrack Download , http://community.fox8.com/service/displayDiscussionThreads.kickAction?as=92757&w=221030&d=597800 Download For Devil The Movie , -- [[Download Resident Evil: Afterlife Movie Online]]
- 2 , http://www.box.net/shared/rnqmokpg69 tramadol canine dosage , http://www.box.net/shared/055v2t0i9v tramadol fedex overnight delivery , http://www.box.net/shared/kb3lt2havi is tramadol a prescription drug , http://www.box.net/shared/eccbgnog7u how to get free tramadol asap , http://www.box.net/shared/44irvnvrsa tramadol tablet , http://www.box.net/shared/6cev6jaf3t tramadol kidney pain , http://www.box.net/shared/54iifxugl0 tramadol cheap tramadol , http://www.box.net/shared/8lsga07ttf tramadol hydrocodone interaction , http://www.box.net/shared/ahakoaft1l side effects for tramadol , http://www.box.net/shared/pdx37utzxi about tramadol medecation , -- tramadol intensify other drugs?
- 4 , http://www.box.net/shared/ias3cn35l0 lowest prices on tramadol , http://www.box.net/shared/ydfoaafn8i buy tramadol online cod , http://www.box.net/shared/i77thrn7jy tramadol canada dosage feline , http://www.box.net/shared/ko3vqyhmid lowest cost for veterinarian tramadol , http://www.box.net/shared/acn7y8ded4 tramadol hydrochloride pill id , http://www.box.net/shared/ioyjzm3vkp fatal overdose quantity of tramadol , http://www.box.net/shared/a0g09mi9ta tramadol side effecs in dogs , http://www.box.net/shared/9ola22l010 tramadol tough online , http://www.box.net/shared/xb4q3vbpr9 tramadol online no prescription cod , http://www.box.net/shared/ac8gi87114 hsn tramadol order , -- low cost tramadol?
- 3 , http://www.box.net/shared/rnqmokpg69 tramadol canine dosage , http://www.box.net/shared/055v2t0i9v tramadol for staurday delivery , http://www.box.net/shared/kb3lt2havi tramadol and drug interactions , http://www.box.net/shared/eccbgnog7u taking tramadol and voltaren together , http://www.box.net/shared/44irvnvrsa hci tablet tramadol ultram , http://www.box.net/shared/6cev6jaf3t tramadol pain killer medication , http://www.box.net/shared/54iifxugl0 cheap tramadol with free overnight shipping , http://www.box.net/shared/8lsga07ttf cheap tramadol cod delivery , http://www.box.net/shared/ahakoaft1l fetal effects tramadol , http://www.box.net/shared/pdx37utzxi all about tramadol emotions , -- how is tramadol different from vicodin?
- 4 , http://www.box.net/shared/ias3cn35l0 lowest price of tramadol , http://www.box.net/shared/ydfoaafn8i from tramadol buy dreampharm , http://www.box.net/shared/i77thrn7jy canada pharmacy tramadol , http://www.box.net/shared/ko3vqyhmid cost of tramadol , http://www.box.net/shared/acn7y8ded4 cold water pill extraction tramadol , http://www.box.net/shared/ioyjzm3vkp 600 mg tramadol dose , http://www.box.net/shared/a0g09mi9ta side affects of tramadol , http://www.box.net/shared/9ola22l010 tramadol consent online , http://www.box.net/shared/xb4q3vbpr9 tramadol no prescription overnight , http://www.box.net/shared/ac8gi87114 buy tramadol money order , -- tramadol hcl side effects?
- 3 , http://www.box.net/shared/rnqmokpg69 tramadol hcl dosage , http://www.box.net/shared/055v2t0i9v cheapest tramadol next day delivery , http://www.box.net/shared/kb3lt2havi tramadol drug study , http://www.box.net/shared/eccbgnog7u phenergan tramadol safe together , http://www.box.net/shared/44irvnvrsa tramadol hydrochloride tablets label , http://www.box.net/shared/6cev6jaf3t tramadol dogs pain amantidine , http://www.box.net/shared/54iifxugl0 buy tramadol online cheap , http://www.box.net/shared/8lsga07ttf tramadol overnight cod , http://www.box.net/shared/ahakoaft1l tramadol hydrochloride in canine side effects , http://www.box.net/shared/pdx37utzxi site about tramadol decayed , -- tramadol and gaba combination for pain?
- 2 , http://www.box.net/shared/ias3cn35l0 best price tramadol , http://www.box.net/shared/ydfoaafn8i tramadol buy pain , http://www.box.net/shared/i77thrn7jy tramadol in canada , http://www.box.net/shared/ko3vqyhmid tramadol 180 count cost , http://www.box.net/shared/acn7y8ded4 photo of tramadol pills , http://www.box.net/shared/ioyjzm3vkp can you overdose on tramadol , http://www.box.net/shared/a0g09mi9ta tramadol side effect constipation , http://www.box.net/shared/9ola22l010 tramadol online purchase , http://www.box.net/shared/xb4q3vbpr9 no prior prescription tramadol , http://www.box.net/shared/ac8gi87114 order tramadol now , -- order tramadol online cod?
- 4 , http://www.box.net/shared/rnqmokpg69 tramadol canine dosage , http://www.box.net/shared/055v2t0i9v buy tramadol cash on delivery , http://www.box.net/shared/kb3lt2havi tramadol drug screen , http://www.box.net/shared/eccbgnog7u can you take tramadol mobic together , http://www.box.net/shared/44irvnvrsa tramadol hcl 50 mg tablet , http://www.box.net/shared/6cev6jaf3t back pain tramadol or ibuprofen , http://www.box.net/shared/54iifxugl0 buy cheap tramadol buy , http://www.box.net/shared/8lsga07ttf compare tramadol to hydrocodone , http://www.box.net/shared/ahakoaft1l tramadol hci effects on brain , http://www.box.net/shared/pdx37utzxi all about tramadol pleasure , -- chronic pain tramadol?
- chikaldonyx , http://www.box.net/shared/ias3cn35l0 lowest price tramadol , http://www.box.net/shared/ydfoaafn8i buy tramadol pay cash on delivery , http://www.box.net/shared/i77thrn7jy canada order tramadol online , http://www.box.net/shared/ko3vqyhmid cost tramadol , http://www.box.net/shared/acn7y8ded4 tramadol 50 mg pill form , http://www.box.net/shared/ioyjzm3vkp maximum dose of tramadol , http://www.box.net/shared/a0g09mi9ta tramadol pain pill side effects , http://www.box.net/shared/9ola22l010 buy tramadol online overnight delivery , http://www.box.net/shared/xb4q3vbpr9 no prescription tramadol overnight , http://www.box.net/shared/ac8gi87114 order tramadol online cod , -- tramadol online om?
- chikaldonyx , http://www.box.net/shared/rnqmokpg69 best dosage tramadol , http://www.box.net/shared/055v2t0i9v tramadol fedex overnight delivery , http://www.box.net/shared/kb3lt2havi tramadol and drug screening , http://www.box.net/shared/eccbgnog7u get tramadol , http://www.box.net/shared/44irvnvrsa tramadol 4 50mg tablets , http://www.box.net/shared/6cev6jaf3t tramadol nerve pain , http://www.box.net/shared/54iifxugl0 cheap online tramadol , http://www.box.net/shared/8lsga07ttf ativan tramadol hydrocodone alcohol , http://www.box.net/shared/ahakoaft1l tramadol 50 mg side effects , http://www.box.net/shared/pdx37utzxi all about tramadol covetous , -- tramadol 50 mg tablets?
- chikaldonyx , http://www.box.net/shared/ias3cn35l0 tramadol prices , http://www.box.net/shared/ydfoaafn8i buy from pharmcy tramadol , http://www.box.net/shared/i77thrn7jy tramadol availability in canada , http://www.box.net/shared/ko3vqyhmid cost of tramadol versus ultram er , http://www.box.net/shared/acn7y8ded4 view tramadol pills , http://www.box.net/shared/ioyjzm3vkp 300 safe dose tramadol er high , http://www.box.net/shared/a0g09mi9ta tramadol side effect constipation , http://www.box.net/shared/9ola22l010 tramadol online si , http://www.box.net/shared/xb4q3vbpr9 prescriptions tramadol , http://www.box.net/shared/ac8gi87114 canada order tramadol online , -- buy tramadol online saturday delivery?
- chikaldonyx , http://www.box.net/shared/rnqmokpg69 tramadol dogs dosage , http://www.box.net/shared/055v2t0i9v codeine ultram tramadol overnight delivery , http://www.box.net/shared/kb3lt2havi drug tramadol dosage by weight , http://www.box.net/shared/eccbgnog7u get tramadol prescription online , http://www.box.net/shared/44irvnvrsa tramadol hcl acetaminaphen tablets , http://www.box.net/shared/6cev6jaf3t tramadol help pain like my lortab , http://www.box.net/shared/54iifxugl0 no rx tramadol cheap , http://www.box.net/shared/8lsga07ttf cod tramadol orders , http://www.box.net/shared/ahakoaft1l veterinary tramadol side effects in dogs , http://www.box.net/shared/pdx37utzxi all about tramadol brushed , -- tramadol vet dosage?
- chikaldonyx , http://www.box.net/shared/ias3cn35l0 best tramadol prices , http://www.box.net/shared/ydfoaafn8i buy tramadol 180 , http://www.box.net/shared/i77thrn7jy tramadol fast from canada , http://www.box.net/shared/ko3vqyhmid cost of tramadol , http://www.box.net/shared/acn7y8ded4 photo of tramadol pills , http://www.box.net/shared/ioyjzm3vkp canine tramadol dose , http://www.box.net/shared/a0g09mi9ta side effects dog tramadol , http://www.box.net/shared/9ola22l010 tramadol puts online , http://www.box.net/shared/xb4q3vbpr9 tramadol cheap fast no prescription , http://www.box.net/shared/ac8gi87114 tramadol cod overnight order , -- tramadol overdose in dogs?
- chikaldonyx , http://www.box.net/shared/rnqmokpg69 normal dosage of tramadol , http://www.box.net/shared/055v2t0i9v casn on delivery tramadol , http://www.box.net/shared/kb3lt2havi drug testing for tramadol , http://www.box.net/shared/eccbgnog7u can you take tramadol mobic together , http://www.box.net/shared/44irvnvrsa tramadol tablet photo , http://www.box.net/shared/6cev6jaf3t tramadol kidney pain , http://www.box.net/shared/54iifxugl0 cheap tramadol without prescription 100mg , http://www.box.net/shared/8lsga07ttf tramadol 180 cod , http://www.box.net/shared/ahakoaft1l effects of long term tramadol abuse , http://www.box.net/shared/pdx37utzxi all about tramadol pleasure , -- tramadol dog side effect?
- chikaldonyx , http://www.box.net/shared/ias3cn35l0 low price tramadol , http://www.box.net/shared/ydfoaafn8i buy cheap tramadol o , http://www.box.net/shared/i77thrn7jy tramadol availability in canada , http://www.box.net/shared/ko3vqyhmid average costs for prescription tramadol , http://www.box.net/shared/acn7y8ded4 tramadol pill with 377 on it , http://www.box.net/shared/ioyjzm3vkp maximum dose of tramadol for dogs , http://www.box.net/shared/a0g09mi9ta tramadol effects medication side , http://www.box.net/shared/9ola22l010 online tramadol pharmacy , http://www.box.net/shared/xb4q3vbpr9 no prescription tramadol overnight , http://www.box.net/shared/ac8gi87114 order tramadol 180 , -- tramadol ultram cost comparison?
- chikaldonyx , http://www.box.net/shared/rnqmokpg69 tramadol er dosage , http://www.box.net/shared/055v2t0i9v tramadol cod sat delivery , http://www.box.net/shared/kb3lt2havi drug side affects tramadol in dogs , http://www.box.net/shared/eccbgnog7u how to get off tramadol , http://www.box.net/shared/44irvnvrsa tramadol 60 tablets , http://www.box.net/shared/6cev6jaf3t hydrocodone pain tramadol , http://www.box.net/shared/54iifxugl0 buy tramadol cheaply , http://www.box.net/shared/8lsga07ttf tramadol cod only , http://www.box.net/shared/ahakoaft1l effects of long term use tramadol , http://www.box.net/shared/pdx37utzxi tramadol all about , -- effective tramadol arthritis back pain?
- chikaldonyx , http://www.box.net/shared/ias3cn35l0 street price of 50mg tramadol , http://www.box.net/shared/ydfoaafn8i ataxia es buy tramadol , http://www.box.net/shared/i77thrn7jy canada pharmacy tramadol no prescription , http://www.box.net/shared/ko3vqyhmid tramadol er cost , http://www.box.net/shared/acn7y8ded4 tramadol pill price , http://www.box.net/shared/ioyjzm3vkp tramadol dose in canines , http://www.box.net/shared/a0g09mi9ta tramadol side effects forum numbness , http://www.box.net/shared/9ola22l010 ativan buy tramadol online , http://www.box.net/shared/xb4q3vbpr9 cheap tramadol prescriptions online discover card , http://www.box.net/shared/ac8gi87114 order tramadols , -- tramadol ultram cost comparison?
- chikaldonyx , http://www.box.net/shared/rnqmokpg69 tramadol dosage for toothache , http://www.box.net/shared/055v2t0i9v tramadol cash on delivery saturday delivery , http://www.box.net/shared/kb3lt2havi drug hours positive testing tramadol ultram , http://www.box.net/shared/eccbgnog7u can u get high off tramadol , http://www.box.net/shared/44irvnvrsa generic acetaminophen tramadol tablets , http://www.box.net/shared/6cev6jaf3t tramadol pain killer , http://www.box.net/shared/54iifxugl0 tramadol online cheap , http://www.box.net/shared/8lsga07ttf mix vicodin and tramadol , http://www.box.net/shared/ahakoaft1l long term side effects of tramadol , http://www.box.net/shared/pdx37utzxi all about tramadol plums , -- q cheapest tramadol drugstore a?
- chikaldonyx , http://www.box.net/shared/ias3cn35l0 best tramadol prices , http://www.box.net/shared/ydfoaafn8i buy cheap tramadol online 35009 buy , http://www.box.net/shared/i77thrn7jy is tramadol available in canada , http://www.box.net/shared/ko3vqyhmid generic tramadol cost , http://www.box.net/shared/acn7y8ded4 buy pills online tramadol , http://www.box.net/shared/ioyjzm3vkp tramadol overdose in dogs , http://www.box.net/shared/a0g09mi9ta tramadol hcl-acetaminophen side effects , http://www.box.net/shared/9ola22l010 cash loans online tramadol , http://www.box.net/shared/xb4q3vbpr9 tramadol no prescription needed , http://www.box.net/shared/ac8gi87114 order tramadol next day shipping , -- tramadol canada dosage cats?
- chikaldonyx , http://www.box.net/shared/rnqmokpg69 tramadol dog dosage mg , http://www.box.net/shared/055v2t0i9v buy tramadol saturday delivery , http://www.box.net/shared/kb3lt2havi tramadol drug for vet use , http://www.box.net/shared/eccbgnog7u tramadol and volteren together , http://www.box.net/shared/44irvnvrsa tramadol hydrochloride tablets , http://www.box.net/shared/6cev6jaf3t tramadol kidney pain , http://www.box.net/shared/54iifxugl0 tramadol online cheap , http://www.box.net/shared/8lsga07ttf tramadol drug label and codeine , http://www.box.net/shared/ahakoaft1l tramadol effects medication side , http://www.box.net/shared/pdx37utzxi site about tramadol trouble , -- tramadol kidney pain?
- fendyreheiter1 , http://www.box.net/shared/ias3cn35l0 low price tramadol , http://www.box.net/shared/ydfoaafn8i tramadol buy online , http://www.box.net/shared/i77thrn7jy is tramadol available in canada , http://www.box.net/shared/ko3vqyhmid cost low tramadol , http://www.box.net/shared/acn7y8ded4 what does tramadol pills look like , http://www.box.net/shared/ioyjzm3vkp tramadol doseage , http://www.box.net/shared/a0g09mi9ta tramadol for dogs side effects , http://www.box.net/shared/9ola22l010 tramadol make online , http://www.box.net/shared/xb4q3vbpr9 cheap tramadol no prescription , http://www.box.net/shared/ac8gi87114 order discount tramadol , -- cod tramadol orders?
- Urdfmk <a href="http://ifngtsluwbcq.com/">ifngtsluwbcq</a>, [url=http://edatggzsgpks.com/]edatggzsgpks[/url], [link=http://sjdkybgqwvry.com/]sjdkybgqwvry[/link], http://cblhqtmhqfhf.com/ -- criczxywlxw?
- comment2, http://naep2010.com finara, http://nawfa.org Viagra, http://greaterlondonprayerwall.org Adipex, http://encoremtg.com cialis, http://holyindia.net discount phentermine, -- Diazepam?
- comment2, http://leyveik.com diazepam online, http://filmontherun.com 20mg of rimonabant, http://mutluanne.org Klonopin, http://newschoolnewyork.com phentermine viagra, http://naep2010.com Propecia, http://nawfa.org erection viagra, http://mykarnali.com generic meridia from mexico, http://mytakeonmommyhood.com antabuse tablet, http://nandininessa.com ultram.com, -- Cialis?
- comment6, http://leyveik.com diazepam, http://n-z-p.net doxycycline 180 pills, http://mutluanne.org withdrawal from klonopin, http://newschoolnewyork.com looking for phentermine, http://naep2010.com Propecia, http://estraha.net order acomplia, http://nawfa.org Viagra, http://naturalborncynic.net cialis, http://greaterlondonprayerwall.org adipex, http://encoremtg.com cialis professional 90 pills, http://neodfa.com Adipex, http://mytakeonmommyhood.com antabuse, -- 100mg doxycycline?
- comment4, http://leyveik.com buy diazepam, http://filmontherun.com rimonabant, http://myoneshotpictures.com how to wean off buspar, http://newschoolnewyork.com compare phentermine prices, http://envirotechservice.com Viagra, http://greaterlondonprayerwall.org adipex-p, http://holyindia.net buy phentermine online, -- rimonabant online?
- comment1, http://myoneshotpictures.com Buspar, http://newschoolnewyork.com phentermine no prescription, http://nawfa.org cheap generic viagra, http://mykarnali.com Meridia, http://encoremtg.com Cialis, -- phentermine.com?
- comment1, http://leyveik.com Diazepam, http://filmontherun.com buy cheapest rimonabant, http://myoneshotpictures.com buspar.com, http://naep2010.com propecia.com, http://estraha.net acomplia no script, http://naturalborncynic.net Cialis, http://nawfa.org viagra professional 30 pills, http://greaterlondonprayerwall.org Adipex, http://envirotechservice.com viagra, http://encoremtg.com generic cialis, http://neodfa.com Adipex, http://mytakeonmommyhood.com antabuse, -- side effects ultram er?
- comment5, http://leyveik.com buy diazepam, http://n-z-p.net Vibramycin, http://myoneshotpictures.com buspar for dogs, http://naep2010.com effects propecia side, http://newschoolnewyork.com Phentermine, http://estraha.net Acomplia, http://nawfa.org Viagra, http://mykarnali.com meridia.com,, http://envirotechservice.com viagra.com,, http://neodfa.com buy adipex-p phentermine online, http://nandininessa.com ultram, http://holyindia.net phentermine 37 5mg, -- acomplia?
- comment2, http://mutluanne.org klonopin vs xanax, http://estraha.net kaufen title acomplia, http://naturalborncynic.net online physicians cialis, http://greaterlondonprayerwall.org Adipex, http://nandininessa.com ultram, http://neodfa.com Adipex, http://holyindia.net phentermine no prescription, -- Meridia?
- comment6, http://n-z-p.net doxycycline, http://filmontherun.com does rimonabant work?, http://mutluanne.org Klonopin, http://newschoolnewyork.com phentermine, http://naep2010.com Propecia, http://nawfa.org viagra, http://envirotechservice.com canda viagra online, http://nandininessa.com ultram, http://holyindia.net phentermine lowest price, -- finasteride propecia proscar?
- comment2, http://myoneshotpictures.com buspar, http://estraha.net acomplia, http://newschoolnewyork.com phentermine overdose, http://naep2010.com Propecia, http://naturalborncynic.net cialis cialis.asp zebrahaifa.com, http://mykarnali.com meridia.com, http://greaterlondonprayerwall.org Adipex, http://envirotechservice.com Viagra, http://encoremtg.com cialis levitra viagra vs vs, http://mytakeonmommyhood.com Antabuse, http://nandininessa.com ultram vs ultracet, http://neodfa.com adipex, http://holyindia.net buy phentermine online, -- Rimonabant?
- comment2, http://myoneshotpictures.com buspar, http://estraha.net acomplia, http://newschoolnewyork.com phentermine overdose, http://naep2010.com Propecia, http://naturalborncynic.net cialis cialis.asp zebrahaifa.com, http://mykarnali.com meridia.com, http://greaterlondonprayerwall.org Adipex, http://envirotechservice.com Viagra, http://encoremtg.com cialis levitra viagra vs vs, http://mytakeonmommyhood.com Antabuse, http://nandininessa.com ultram vs ultracet, http://neodfa.com adipex, http://holyindia.net buy phentermine online, -- Rimonabant?
- comment2, http://n-z-p.net cheap doxycycline, http://nawfa.org Viagra, http://naturalborncynic.net cialis, http://mykarnali.com buy meridia, http://envirotechservice.com cheap viagra, http://greaterlondonprayerwall.org canada adipex diet pills, http://encoremtg.com Cialis, http://neodfa.com adipex, -- zimulti rimonabant diet pill?
- comment2, http://n-z-p.net cheap doxycycline, http://nawfa.org Viagra, http://naturalborncynic.net cialis, http://mykarnali.com buy meridia, http://envirotechservice.com cheap viagra, http://greaterlondonprayerwall.org canada adipex diet pills, http://encoremtg.com Cialis, http://neodfa.com adipex, -- zimulti rimonabant diet pill?
- comment2, http://n-z-p.net cheap doxycycline, http://nawfa.org Viagra, http://naturalborncynic.net cialis, http://mykarnali.com buy meridia, http://envirotechservice.com cheap viagra, http://greaterlondonprayerwall.org canada adipex diet pills, http://encoremtg.com Cialis, http://neodfa.com adipex, -- zimulti rimonabant diet pill?
- comment2, http://leyveik.com diazepam, http://n-z-p.net doxycycline bergstrom, http://myoneshotpictures.com Buspar, http://naep2010.com propecia.com, http://naturalborncynic.net cialis levitra viagra, http://mykarnali.com meridia without perscription, http://envirotechservice.com cheap viagra, http://greaterlondonprayerwall.org adipex-p, http://mytakeonmommyhood.com Antabuse, http://nandininessa.com ultram er dosages, -- buy adipex-p?
- comment5, http://n-z-p.net doxycycline absorption prediction, http://filmontherun.com Rimonabant, http://mutluanne.org buy klonopin, http://newschoolnewyork.com adipex phentermine, http://estraha.net Acomplia, http://nawfa.org online viagra sales, http://greaterlondonprayerwall.org adipex, http://envirotechservice.com viagra online, http://encoremtg.com cialis.com,, http://mytakeonmommyhood.com antabuse 60 pills, http://holyindia.net Phentermine, -- cialis?
- comment4, http://leyveik.com buy diazepam, http://n-z-p.net doxycycline effects hyclate side, http://filmontherun.com rimonabant, http://mutluanne.org klonopin, http://myoneshotpictures.com buspar sexual side effects, http://newschoolnewyork.com phentermine vs meridia, http://estraha.net acomplia slimming tablet, http://nawfa.org viagra equivalent, http://naturalborncynic.net Cialis, http://envirotechservice.com cheap viagra, http://neodfa.com adipex witthout a prescription, http://mytakeonmommyhood.com antabuse medication, http://holyindia.net cheapest phentermine online, -- Ultram?
- comment6, http://leyveik.com diazepam overdose, http://n-z-p.net cheap doxycycline, http://filmontherun.com Rimonabant, http://naep2010.com propecia, http://estraha.net Acomplia, http://mykarnali.com meridia canada prescription, http://mytakeonmommyhood.com antabuse, http://holyindia.net phentermine, -- viagra super active 120 pills?
- comment3, http://n-z-p.net doxycycline, http://newschoolnewyork.com phentermine, http://nawfa.org viagra best buy, http://encoremtg.com Cialis, http://neodfa.com adipex, -- Diazepam?
- comment2, http://filmontherun.com Rimonabant, http://mutluanne.org klonopin history, http://naep2010.com propecia, http://estraha.net acomplia fat cells, http://naturalborncynic.net buy cialis online, http://greaterlondonprayerwall.org buy adipex, http://encoremtg.com cialis, http://nandininessa.com Ultram, http://neodfa.com Adipex, http://mytakeonmommyhood.com 250 antabuse cheap generic mg, http://holyindia.net phentermine, -- buy buspar?
- comment2, http://n-z-p.net doxycycline and photosensitivity, http://naep2010.com viagra propecia online gt, http://greaterlondonprayerwall.org adipex, http://encoremtg.com Cialis, http://neodfa.com Adipex, http://holyindia.net phentermine pregnancy, -- phentermine clinic portland or?
- comment2, http://herbal-remedies-online-shop.com/ herbal remedies, http://erektionen.se viagra köp, http://buy-ampicillin.com/ amoxil ampicillin anti, http://cialisinfo.it acquisto cialis, http://choose-health-insurance-quotes.com/ id health insurance, http://best-herbal-remedies-shop.com/ herbal remedies, -- health insurance
- comment4, http://omviagra.com handla viagra, http://buying-diflucan.com/ diflucan, http://buy-cafergot.com/ cheap cafergot, http://free-dating-websites-4u.com/ swingers dating sites, http://online-dating-services-4u.com/ biker dating services, -- buy cigarettes?
- comment6, http://leyveik.com Diazepam, http://filmontherun.com Rimonabant, http://mutluanne.org buy klonopin, http://estraha.net acomplia, http://naep2010.com order propecia online, http://envirotechservice.com buy viagra online, -- purchase zimulti acomplia?
- comment2, http://limweb.org Viagra, http://letoileblog.com cialis online, http://laiaatthepark.com Cialis, http://londonphotoassociation.org Levitra, -- Cialis?
- comment2, http://limweb.org silagra generic viagra, http://laiaatthepark.com cialis levitra viagra, http://letoileblog.com discount cialis, http://londonphotoassociation.org buy cheap levitra spam, -- sofia viagra?
- comment5, http://limweb.org Viagra, http://laiaatthepark.com cheap cialis generic, http://letoileblog.com buy cialis online, http://londonphotoassociation.org book buy generic, -- online rx cialis?
- comment1, http://limweb.org buy viagra, http://letoileblog.com cialis levitra viagra, http://laiaatthepark.com cialis cialis cialis genuinerx.net viagra, http://londonphotoassociation.org viagra cialis levitra, -- order viagra?
- comment4, http://limweb.org viagra, http://laiaatthepark.com cialis professional 20mg, http://letoileblog.com order cialis, http://londonphotoassociation.org levitra, -- Levitra?
- AtPyE0 <a href=\"http://umqyfdriusvf.com/\">umqyfdriusvf</a>, [url=http://zmwdooryatkd.com/]zmwdooryatkd[/url], [link=http://bhrqzordcftu.com/]bhrqzordcftu[/link], http://jequgtpxgbgb.com/ -- nbowow?